batgrbproduct Analysis for Trigger=100815

Analysis Summary

Notes:

======================================================================
                  BAT GRB EVENT DATA PROCESSING REPORT
    Process Script Ver: batgrbproduct v2.46
    Process Start Time (local time): Thu Jun 25 15:40:34 EDT 2015
             Host Name: bat1
   Current Working Dir: /local/data/bat1/alien/Swift_3rdBATcatalog/event/batevent_reproc/trigger100815
======================================================================

  Trigger: 00100815      Segment: 000

  BAT Trigger Time: 125786058.304   [s; MET]
      Trigger Stop: 125786062.4   [s; MET]
               UTC: 2004-12-26T20:34:18.976400    [includes UTCF correction] 
       Where From?: TDRSS position message

  BAT 
    RA: 79.7656401246817   Dec: 73.3212972392719  [deg; J2000]

     Catalogged Source?: NO
     Point Source?:      YES
     GRB Indicated?:     YES    [ by BAT flight software ]
     Image S/N Ratio:    6
     Image Trigger?:     NO
     Rate S/N Ratio:     13.5646599662505  [ if not an image trigger ]
     Image S/N Ratio:    6

  Flight Position:   [ source = BAT ]
    RA: 79.7656401246817   Dec: 73.3212972392719  [deg; J2000]

  Ground Position:   [ source = BAT pre-slew burst ]
    RA: 79.550620384331   Dec: 73.3342688781834  [deg; J2000]  
        { 05h 18m 12.1s , +73d 20' 03.4" }
         +/- 2.14109328635309 [arcmin] (estimated 90% radius based on SNR)
         +/- 0.944008895075323 [arcmin] (formal 1-sigma fit error)
    SNR: 10.2513679841067
 
  Angular difference between Flight and Ground position is 3.782240 arcmin
 
  Partial Coding Fraction: 0.9765625    [ including projection effects ]

  Duration
     T90: 8.2960000038147 +/- 1.87637204199079
        Measured from: -0.972000002861023
                   to: 7.32400000095367     [s; relative to TRIGTIME]
     T50: 3.97599999606609 +/- 1.6471223420031
        Measured from: 1.59600000083447
                   to: 5.57199999690056     [s; relative to TRIGTIME]



  Fluence
     Peak Flux  (peak 1 second)
        Measured from: 3.29999999701977     
                   to: 4.29999999701977     [s; relative to TRIGTIME]
     Total Fluence        
        Measured from: -1.59200000762939     
                   to: 7.60799999535084     [s; relative to TRIGTIME]
     
             Band 1     Band 2     Band 3     Band 4
              15-25      25-50     50-100    100-350     keV
 Total     0.055887   0.102171   0.044500   0.041941
           0.013040   0.013119   0.011309   0.009446 [error]
 Peak      0.008452   0.016511   0.015540   0.005471
           0.004322   0.004431   0.003938   0.003297 [error]

     [ fluence units of on-axis counts / fully illuminated detector ] 

======================================================================
 
=== Fluence/Peak Flux Summary ===
 
              Model    Band1    Band2    Band3    Band4    Band5    Total      
                       15-25    25-50   50-100  100-350   15-150   15-350   keV
Fluence   Power-law 1.50e-08 3.18e-08 5.27e-08 1.98e-07 1.45e-07 2.97e-07   erg/cm2
              Error 4.54e-09 5.78e-09 1.07e-08 9.10e-08 2.68e-08 9.80e-08   erg/cm2
Peak flux Power-law 9.31e-02 1.10e-01 9.39e-02 1.36e-01 3.45e-01 4.33e-01   ph/cm2/s
              Error 4.58e-02 3.43e-02 3.05e-02 9.29e-02 9.70e-02 1.28e-01   ph/cm2/s
 
Fluence   Cutoff-PL 1.51e-08 3.19e-08 5.25e-08 1.94e-07 1.45e-07 2.93e-07   erg/cm2
              Error 4.53e-09 6.36e-09 1.07e-08 1.32e-07 2.86e-08 1.08e-07   erg/cm2
Peak flux Cutoff-PL 7.63e-02 1.22e-01 1.01e-01 4.27e-02 3.30e-01 3.42e-01   ph/cm2/s
              Error 5.25e-02 4.36e-02 3.73e-02 8.49e-02 7.59e-02 1.50e-01   ph/cm2/s
 
Fluence        Band -------- -------- -------- -------- -------- --------   erg/cm2
              Error -------- -------- -------- -------- -------- --------   erg/cm2
Peak flux      Band -------- -------- -------- -------- -------- --------   ph/cm2/s
              Error -------- -------- -------- -------- -------- --------   ph/cm2/s
 
=== Time-averaged spectral analysis ===
 
Model Ph_index Ph_90err Epeak  Epeak_90err Norm     Nomr_90err chi2   dof
PL    1.272    0.292    -      -           1.58e-03 2.60e-04   84.830 57
CPL   1.236    0.000     935.3    0.0      1.66e-03 0.00e+00   84.880 56
 
 
=== 1-s peak spectral analysis ===
 
Model Ph_index Ph_90err Epeak  Epeak_90err Norm     Nomr_90err chi2   dof
PL    1.230    0.469    -      -           2.93e-03 8.11e-04   74.470 57
CPL   0.073    2.437      82.0    0.0      1.14e-02 0.00e+00   73.410 56
 
Model      : spectral model: simple power-law (PL) and cutoff power-law (CPL)
Ph_index   : photon index: E^-{Ph_index} (minus sign is not included in the index)
Ph_90err   : 90% error of the photon index
Epeak      : Epeak in keV
Epeak_90err: 90% error of Epeak
Norm       : normalization at 50 keV in PL model and at 1 keV in CPL model
Nomr_90err : 90% error of the normalization
chi2       : Chi-Squared
dof        : degree of freedom
 
=== T90/T50 calculation in the 50-300 keV band (BATSE band) using 64 ms lc ===
 
T90 in the 50-300 keV band: 4.928000 sec.
T50 in the 50-300 keV band: 2.688000 sec.
 
=== Table of the duration information ==
 
        Value   tstart    tstop
T100    9.200   -1.592    7.608
T90     8.296   -0.972    7.324
T50     3.976    1.596    5.572
Peak    1.000    3.300    4.300
  • Click here for the BAT GCN circular template
  • Special notes of this burst

    Image

    Pre-slew 15.0-350.0 keV image (Event data)

    #   RAcent    DECcent   POSerr    Theta     Phi              Peak Cts       SNR   Name
       79.5506    73.3343   0.0186    11.9447   144.2393         0.2446122     10.251 TRIG_00100815                 
     
    Foreground time interval of the image:
     -1.592   7.608 (delta_t =   9.200 [sec])
    Background time interval of the image:
    -299.304  -1.592 (delta_t = 297.712 [sec])
    

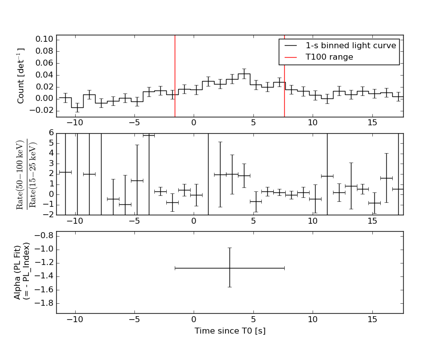
    Lightcurves

    Notes:

    1 s binning

    From T0-310 s to T0+310 s
    From T100_start - 20 s to T100_end + 30 s
    Full time interval

    64 ms binning

    Full time interval
    From T100_start to T100_end
    From T0-5 sec to T0+5 sec

    16 ms binning

    From T100_start-5 s to T100_start+5 s

    8 ms binning

    From T100_start-3 s to T100_start+3 s

    2 ms binning

    From T100_start-1 s to T100_start+1 s

    SN=5 or 10 sec. binning (whichever binning is satisfied first)

    SN=5 or 10 sec. binning (T < 200 sec)

    Quad-rate summed light curves (from T0-300s to T0+1000s)

    Spectral Evolution

    Spectra

    Notes:

    Time averaged spectrum fit using the average DRM

    Power-law model
    Time interval is from   -1.592 sec. to    7.608 sec.
     
    Spectral model in power-law:
    ------------------------------------------------------------
    Parameters  : value       lower 90%   higher 90%
    Photon index: 1.27154     ( -0.297753   0.285916 )
    Norm@50keV  : 1.58473E-03    ( -0.00026055   0.000260241 )
    ------------------------------------------------------------
    #Fit statistic : Chi-Squared =          84.83 using 59 PHA bins.
    # Reduced chi-squared =          1.488 for     57 degrees of freedom 
    # Null hypothesis probability =   9.819137e-03
     
    Photon flux (15-150 keV)    in 9.2 sec: 0.188108 ( -0.0315124  0.0315811 ) ph/cm2/s
    Energy fluence (15-150 keV)             : 1.45099e-07 ( -2.66096e-08  2.70821e-08 ) ergs/cm2
     
    
    Cutoff power-law model
    Time interval is from   -1.592 sec. to    7.608 sec.
    Spectral model in the cutoff power-law:
    ------------------------------------------------------------
    Parameters  : value       lower 90%   higher 90%
    Photon index: 1.23611     (     )
    Epeak [keV] : 935.324      (   )
    Norm@50keV  : 1.66139E-03    (     )
    ------------------------------------------------------------
    #Fit statistic : Chi-Squared =          84.88 using 59 PHA bins.
    # Reduced chi-squared =          1.516 for     56 degrees of freedom 
    # Null hypothesis probability =   7.655574e-03
     
    Photon flux (15-150 keV)    in 9.2 sec: 0.188142 ( -0.031522  0.031488 ) ph/cm2/s
    Energy fluence (15-150 keV)             : 1.44758e-07 ( -3.00978e-08  2.70627e-08 ) ergs/cm2
     
    
    Band function
    Time interval is from   -1.592 sec. to    7.608 sec.
     
    Spectral model in the Band function:
    ------------------------------------------------------------
    Parameters  : value       lower 90%   higher 90%
    alpha       : 5.00000   ( -5.27359   -5 )
    beta        : -1.61679    ( -0.562896   0.408454 )
    Epeak [keV] : 31.5355      ( -9.43863 7.14068 )
    Norm@50keV   : 39.2197    ( -6.25611   274.539 )
    ------------------------------------------------------------
    #Fit statistic : Chi-Squared =          80.39 using 59 PHA bins.
    # Reduced chi-squared =          1.462 for     55 degrees of freedom 
    # Null hypothesis probability =   1.441271e-02
     
    Photon flux (15-150 keV)    in 9.2 sec:  (    ) ph/cm2/s
    Energy fluence (15-150 keV)             : 0 ( 0  0 ) ergs/cm2
     
    
    Single BB
     
    Spectral model blackbody:
    ------------------------------------------------------------
    Parameters  : value    Lower 90%  Upper 90%
    kT [keV]    : 13.0844  (-2.3908  3.49857)
    R^2/D10^2   : 3.51129E-02  (-0.0198778   0.0371468)
    (R is the radius in km and D10 is the distance to the source in units of 10 kpc)
    ------------------------------------------------------------
    #Fit statistic : Chi-Squared =          92.44 using 59 PHA bins.
    # Reduced chi-squared =          1.622 for     57 degrees of freedom 
    # Null hypothesis probability =   2.073166e-03
     
    Energy  Fluence     90% Error
    [keV]   [erg/cm2]   [erg/cm2]
    15- 25  1.173e-08   3.843e-09
    25- 50  4.068e-08   1.153e-08
    50-150  4.419e-08   1.810e-08
    15-150  9.660e-08   2.641e-08
    
    Thermal bremsstrahlung (OTTB)
     
     
    Spectral model: thermal bremsstrahlung
    ------------------------------------------------------------
    Parameters  : value         Lower 90%    Upper 90%
    kT [keV]    : 200.000       (      )
    Norm        : 0.776845       (-0.128762     0.128755)
    ------------------------------------------------------------
    #Fit statistic : Chi-Squared =          87.17 using 59 PHA bins.
    # Reduced chi-squared =          1.529 for     57 degrees of freedom 
    # Null hypothesis probability =   6.197190e-03
     
    Energy  Fluence     90% Error
    [keV]   [erg/cm2]   [erg/cm2]
    15- 25  1.780e-08   1.032e-08
    25- 50  3.424e-08   1.931e-08
    50-150  7.508e-08   4.253e-08
    15-150  1.271e-07   7.199e-08
    
    Double BB
     
     
    Spectral model: bbodyrad<1> + bbodyrad<2>
    ------------------------------------------------------------
    Parameters  : value         Lower 90%    Upper 90%
    kT1 [keV]   : 9.76910        (-1.70566      1.75427)
    R1^2/D10^2  : 8.23857E-02        (-0.0398982      0.0843185)
    kT2 [keV]   : 198.888        (-142.977      -198.957)
    R2^2/D10^2  : 3.37032E-05    (-1.17807e-05   0.000264844)
    ------------------------------------------------------------
    #Fit statistic : Chi-Squared =          74.58 using 59 PHA bins.
    # Reduced chi-squared =          1.356 for     55 degrees of freedom 
    # Null hypothesis probability =   4.057583e-02
     
    Energy  Fluence     90% Error
    [keV]   [erg/cm2]   [erg/cm2]
    15- 25  1.500e-08   7.887e-09
    25- 50  3.849e-08   2.049e-08
    50-150  9.897e-08   4.026e-08
    15-150  1.525e-07   4.661e-08
    

    Peak spectrum fit

    Power-law model
    Time interval is from    3.300 sec. to    4.300 sec.
     
    Spectral model in power-law:
    ------------------------------------------------------------
    Parameters  : value       lower 90%   higher 90%
    Photon index: 1.22973     ( -0.477737   0.460646 )
    Norm@50keV  : 2.93011E-03    ( -0.000811603   0.000810468 )
    ------------------------------------------------------------
    #Fit statistic : Chi-Squared =          74.47 using 59 PHA bins.
    # Reduced chi-squared =          1.306 for     57 degrees of freedom 
    # Null hypothesis probability =   6.001742e-02
     
    Photon flux (15-150 keV)    in 1 sec: 0.345444 ( -0.0967994  0.097199 ) ph/cm2/s
    Energy fluence (15-150 keV)             : 2.94824e-08 ( -8.97426e-09  9.26265e-09 ) ergs/cm2
     
    
    Cutoff power-law model
    Time interval is from    3.300 sec. to    4.300 sec.
    Spectral model in the cutoff power-law:
    ------------------------------------------------------------
    Parameters  : value       lower 90%   higher 90%
    Photon index: 7.34194E-02     ( -3.36366   1.51065 )
    Epeak [keV] : 81.9517      (   )
    Norm@50keV  : 1.13727E-02    (     )
    ------------------------------------------------------------
    #Fit statistic : Chi-Squared =          73.41 using 59 PHA bins.
    # Reduced chi-squared =          1.311 for     56 degrees of freedom 
    # Null hypothesis probability =   5.918275e-02
     
    Photon flux (15-150 keV)    in 1 sec: 0.329500 ( -0.100594  0.051202 ) ph/cm2/s
    Energy fluence (15-150 keV)             : 2.65904e-08 ( -9.8219e-09  1.04763e-08 ) ergs/cm2
     
    
    Band function
    Time interval is from    3.300 sec. to    4.300 sec.
     
    Spectral model in the Band function:
    ------------------------------------------------------------
    Parameters  : value       lower 90%   higher 90%
    alpha       : 4.91618   ( -6.32551   -4.91618 )
    beta        : -1.54797    ( -0.95225   0.609878 )
    Epeak [keV] : 32.5657      ( -32.5657 14.7903 )
    Norm@50keV   : 50.6134    ( -13.616   1.04747e+06 )
    ------------------------------------------------------------
    #Fit statistic : Chi-Squared =          72.56 using 59 PHA bins.
    # Reduced chi-squared =          1.319 for     55 degrees of freedom 
    # Null hypothesis probability =   5.645864e-02
     
    Photon flux (15-150 keV)    in 1 sec:  (    ) ph/cm2/s
    Energy fluence (15-150 keV)             : 2.81768e-08 ( 0  0 ) ergs/cm2
     
    
    Single BB
     
    Spectral model blackbody:
    ------------------------------------------------------------
    Parameters  : value    Lower 90%  Upper 90%
    kT [keV]    : 16.2098  (-4.56105  7.41843)
    R^2/D10^2   : 3.23248E-02  (-0.0323248   0.0678401)
    (R is the radius in km and D10 is the distance to the source in units of 10 kpc)
    ------------------------------------------------------------
    #Fit statistic : Chi-Squared =          74.32 using 59 PHA bins.
    # Reduced chi-squared =          1.304 for     57 degrees of freedom 
    # Null hypothesis probability =   6.139259e-02
     
    Energy  Fluence     90% Error
    [keV]   [erg/cm2]   [erg/cm2]
    15- 25  1.751e-09   1.096e-09
    25- 50  7.450e-09   4.465e-09
    50-150  1.375e-08   8.608e-09
    15-150  2.295e-08   1.287e-08
    
    Thermal bremsstrahlung (OTTB)
     
     
    Spectral model: thermal bremsstrahlung
    ------------------------------------------------------------
    Parameters  : value         Lower 90%    Upper 90%
    kT [keV]    : 199.361       (-108.044      -199.362)
    Norm        : 1.42568       (-0.39767     0.398561)
    ------------------------------------------------------------
    #Fit statistic : Chi-Squared =          75.22 using 59 PHA bins.
    # Reduced chi-squared =          1.320 for     57 degrees of freedom 
    # Null hypothesis probability =   5.329636e-02
     
    Energy  Fluence     90% Error
    [keV]   [erg/cm2]   [erg/cm2]
    15- 25  3.550e-09   2.170e-09
    25- 50  6.829e-09   4.120e-09
    50-150  1.498e-08   9.070e-09
    15-150  2.536e-08   1.541e-08
    
    Double BB
     
     
    Spectral model: bbodyrad<1> + bbodyrad<2>
    ------------------------------------------------------------
    Parameters  : value         Lower 90%    Upper 90%
    kT1 [keV]   : 11.1452        (-11.1457      5.0925)
    R1^2/D10^2  : 8.03088E-02        (-0.0803049      -0.0803049)
    kT2 [keV]   : 38.0279        (-38.0405      -38.0405)
    R2^2/D10^2  : 1.17317E-03    (-0.00117226   0.0730743)
    ------------------------------------------------------------
    #Fit statistic : Chi-Squared =          73.07 using 59 PHA bins.
    # Reduced chi-squared =          1.329 for     55 degrees of freedom 
    # Null hypothesis probability =   5.198244e-02
     
    Energy  Fluence     90% Error
    [keV]   [erg/cm2]   [erg/cm2]
    15- 25  2.316e-09   1.565e-09
    25- 50  7.533e-09   5.760e-09
    50-150  1.793e-08   1.031e-08
    15-150  2.778e-08   1.612e-08
    

    Pre-slew spectrum (Pre-slew PHA with pre-slew DRM)

    Power-law model
     
    Spectral model in power-law:
    ------------------------------------------------------------
    Parameters  : value       lower 90%   higher 90%
    Photon index: 1.27154     ( -0.297753   0.285916 )
    Norm@50keV  : 1.58473E-03    ( -0.00026055   0.000260241 )
    ------------------------------------------------------------
    #Fit statistic : Chi-Squared =          84.83 using 59 PHA bins.
    # Reduced chi-squared =          1.488 for     57 degrees of freedom 
    # Null hypothesis probability =   9.819137e-03
     
    Photon flux (15-150 keV)    in 9.2 sec: 0.188108 ( -0.0315124  0.0315811 ) ph/cm2/s
    Energy fluence (15-150 keV)             : 1.45099e-07 ( -2.66096e-08  2.70821e-08 ) ergs/cm2
     
    
    Cutoff power-law model
    Spectral model in the cutoff power-law:
    ------------------------------------------------------------
    Parameters  : value       lower 90%   higher 90%
    Photon index: 1.23611     (     )
    Epeak [keV] : 935.324      (   )
    Norm@50keV  : 1.66139E-03    (     )
    ------------------------------------------------------------
    #Fit statistic : Chi-Squared =          84.88 using 59 PHA bins.
    # Reduced chi-squared =          1.516 for     56 degrees of freedom 
    # Null hypothesis probability =   7.655574e-03
     
    Photon flux (15-150 keV)    in 9.2 sec: 0.188142 ( -0.031522  0.031488 ) ph/cm2/s
    Energy fluence (15-150 keV)             : 1.44758e-07 ( -3.00978e-08  2.70627e-08 ) ergs/cm2
     
    
    Band function
     
    Spectral model in the Band function:
    ------------------------------------------------------------
    Parameters  : value       lower 90%   higher 90%
    alpha       : 5.00000   ( -5.27824   -5 )
    beta        : -1.61679    ( -0.562896   0.408454 )
    Epeak [keV] : 31.5355      ( -9.43863 7.14068 )
    Norm@50keV   : 39.2197    ( -6.25611   274.539 )
    ------------------------------------------------------------
    #Fit statistic : Chi-Squared =          80.39 using 59 PHA bins.
    # Reduced chi-squared =          1.462 for     55 degrees of freedom 
    # Null hypothesis probability =   1.441271e-02
     
    Photon flux (15-150 keV)    in 9.2 sec:  (    ) ph/cm2/s
    Energy fluence (15-150 keV)             : 0 ( 0  0 ) ergs/cm2
     
    

    S(25-50 keV) vs. S(50-100 keV) plot

    S(25-50 keV)  = 3.18e-08
    S(50-100 keV) = 5.27e-08
    

    T90 vs. Hardness ratio plot

    T90                                   = 8.2960000038147 sec.
    Hardness ratio (energy fluence ratio) = 1.65723
    

    Color vs. Color plot

    Count Ratio  (25-50 keV) / (15-25 keV) = 1.82817
    Count Ratio (50-100 keV) / (15-25 keV) = 0.79625
    

    Mask shadow pattern

    IMX = -1.716635139722556E-01, IMY = -1.236286553707032E-01
    

    TIME vs. PHA plot around the trigger time

    TIME vs. DetID plot around the trigger time

    100 us light curve (15-350 keV)

    Spacecraft aspect plot

    Bright source in the pre-burst/pre-slew/post-slew images

    Pre-burst image of 15-350 keV band

    Time interval of the image:
    -299.304000 -1.592000
     
    # RAcent  DECcent POSerr Theta    Phi  PeakCts   SNR AngSep     Name
    #  [deg]    [deg]    ['] [deg]  [deg]                   [']
     93.9767  41.0617    2.7  39.8   95.5   3.2081   4.3 ------	UNKNOWN                       
     53.7211  53.1709    0.3  34.8  144.5  13.5811  41.3 ------	UNKNOWN                       
    323.1935  56.2820    2.9  44.4 -136.5   1.5351   4.0 ------	UNKNOWN                       
    236.3190  55.2253    3.6  39.9  -66.3   1.8225   3.2 ------	UNKNOWN                       
    

    Pre-slew background subtracted image of 15-350 keV band

    Time interval of the image:
    -1.592000 7.608000
     
    # RAcent  DECcent POSerr Theta    Phi  PeakCts   SNR AngSep     Name
    #  [deg]    [deg]    ['] [deg]  [deg]                   [']
     79.5505  73.3343    1.1  11.9  144.2   0.2445  10.2 ------	UNKNOWN                       
    

    Post-slew image of 15-350 keV band

    Time interval of the image:
     
    
    Plot creation:
    Thu Jun 25 15:58:59 EDT 2015