batgrbproduct Analysis for Trigger=118248

Analysis Summary

Notes:

======================================================================
                  BAT GRB EVENT DATA PROCESSING REPORT
    Process Script Ver: batgrbproduct v2.46
    Process Start Time (local time): Wed Jan 22 22:06:39 EST 2014
             Host Name: batevent1
   Current Working Dir: /local/data/batevent/batevent_reproc/trigger118248
======================================================================

  Trigger: 00118248      Segment: 000

  BAT Trigger Time: 137198597.824   [s; MET]
      Trigger Stop: 137198606.016   [s; MET]
               UTC: 2005-05-07T22:43:18.311680    [includes UTCF correction] 
       Where From?: TDRSS position message

  BAT 
    RA: 48.0554888617114   Dec: -11.0734801541787  [deg; J2000]

     Catalogged Source?: NO
     Point Source?:      YES
     GRB Indicated?:     YES    [ by BAT flight software ]
     Image S/N Ratio:    9
     Image Trigger?:     NO
     Rate S/N Ratio:     8.06225774829855  [ if not an image trigger ]
     Image S/N Ratio:    9

  Flight Position:   [ source = BAT ]
    RA: 48.0554888617114   Dec: -11.0734801541787  [deg; J2000]

  Ground Position:   [ source = BAT pre-slew burst ]
    RA: 48.0641495324214   Dec: -11.0498494067537  [deg; J2000]  
        { 03h 12m 15.4s , -11d 02' 59.5" }
         +/- 1.87148122090519 [arcmin] (estimated 90% radius based on SNR)
         +/- 0.852396496074431 [arcmin] (formal 1-sigma fit error)
    SNR: 12.4245877911305
 
  Angular difference between Flight and Ground position is 1.506775 arcmin
 
  Partial Coding Fraction: 0.6484375    [ including projection effects ]

  Duration
     T90: 15 +/- 5.8309518948453
        Measured from: -2.82400000095367
                   to: 12.1759999990463     [s; relative to TRIGTIME]
     T50: 6 +/- 5
        Measured from: 2.17599999904633
                   to: 8.17599999904633     [s; relative to TRIGTIME]



  Fluence
     Peak Flux  (peak 1 second)
        Measured from: 2.17599999904633     
                   to: 3.17599999904633     [s; relative to TRIGTIME]
     Total Fluence        
        Measured from: -4.82400000095367     
                   to: 13.1759999990463     [s; relative to TRIGTIME]
     
             Band 1     Band 2     Band 3     Band 4
              15-25      25-50     50-100    100-350     keV
 Total     0.125771   0.226806   0.150513  -0.003692
           0.022666   0.023852   0.020633   0.016990 [error]
 Peak      0.016637   0.016049   0.008804   0.006127
           0.005406   0.005518   0.004943   0.003793 [error]

     [ fluence units of on-axis counts / fully illuminated detector ] 

======================================================================
 
=== Fluence/Peak Flux Summary ===
 
              Model    Band1    Band2    Band3    Band4    Band5    Total      
                       15-25    25-50   50-100  100-350   15-150   15-350   keV
Fluence   Power-law 4.64e-08 8.02e-08 1.06e-07 2.85e-07 3.10e-07 5.18e-07   erg/cm2
              Error 9.03e-09 1.07e-08 1.91e-08 1.02e-07 4.68e-08 1.21e-07   erg/cm2
Peak flux Power-law 1.22e-01 1.25e-01 9.00e-02 1.04e-01 3.77e-01 4.41e-01   ph/cm2/s
              Error 7.19e-02 4.61e-02 4.01e-02 9.94e-02 1.31e-01 1.55e-01   ph/cm2/s
 
Fluence   Cutoff-PL 3.47e-08 1.01e-07 1.12e-07 3.23e-08 2.74e-07 2.79e-07   erg/cm2
              Error 1.07e-08 1.50e-08 2.44e-08 4.10e-08 4.56e-08 5.56e-08   erg/cm2
Peak flux Cutoff-PL 1.25e-01 1.26e-01 8.86e-02 9.90e-02 3.78e-01 4.40e-01   ph/cm2/s
              Error 7.26e-02 6.97e-02 4.14e-02 1.15e-01 1.31e-01 2.17e-01   ph/cm2/s
 
Fluence        Band 3.44e-08 1.00e-07 1.11e-07 3.22e-08 2.73e-07 2.79e-07   erg/cm2
              Error 1.03e-08 1.47e-08 2.33e-08 -------- 4.46e-08 --------   erg/cm2
Peak flux      Band -------- -------- -------- -------- -------- --------   ph/cm2/s
              Error -------- -------- -------- -------- -------- --------   ph/cm2/s
 
=== Time-averaged spectral analysis ===
 
Model Ph_index Ph_90err Epeak  Epeak_90err Norm     Nomr_90err chi2   dof
PL    1.598    0.206    -      -           1.84e-03 2.59e-04   75.620 57
CPL  -0.527    1.220      55.5   10.9      2.45e-02 6.29e-02   61.470 56
 
 
=== 1-s peak spectral analysis ===
 
Model Ph_index Ph_90err Epeak  Epeak_90err Norm     Nomr_90err chi2   dof
PL    1.472    0.652    -      -           3.04e-03 1.08e-03   70.290 57
CPL   2.141    0.000      53.0    0.0      1.30e-03 0.00e+00   70.090 56
 
Model      : spectral model: simple power-law (PL) and cutoff power-law (CPL)
Ph_index   : photon index: E^-{Ph_index} (minus sign is not included in the index)
Ph_90err   : 90% error of the photon index
Epeak      : Epeak in keV
Epeak_90err: 90% error of Epeak
Norm       : normalization at 50 keV in PL model and at 1 keV in CPL model
Nomr_90err : 90% error of the normalization
chi2       : Chi-Squared
dof        : degree of freedom
 
=== T90/T50 calculation in the 50-300 keV band (BATSE band) using 64 ms lc ===
 
T90 in the 50-300 keV band: 27.520000 sec.
T50 in the 50-300 keV band: 14.016000 sec.
 
=== Table of the duration information ==
 
        Value   tstart    tstop
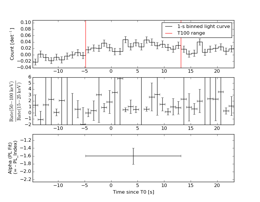
T100   18.000   -4.824   13.176
T90    15.000   -2.824   12.176
T50     6.000    2.176    8.176
Peak    1.000    2.176    3.176
  • Click here for the BAT GCN circular template
  • Special notes of this burst

    Image

    Pre-slew 15.0-350.0 keV image (Event data)

    #   RAcent    DECcent   POSerr    Theta     Phi              Peak Cts       SNR   Name
       48.0641   -11.0498   0.0154    25.9423   -60.7536         0.5340043     12.425 TRIG_00118248                 
     
    Foreground time interval of the image:
     -4.824  13.176 (delta_t =  18.000 [sec])
    Background time interval of the image:
    -299.824  -4.824 (delta_t = 295.000 [sec])
    

    Lightcurves

    Notes:

    1 s binning

    From T0-310 s to T0+310 s
    From T100_start - 20 s to T100_end + 30 s
    Full time interval

    64 ms binning

    Full time interval
    From T100_start to T100_end
    From T0-5 sec to T0+5 sec

    16 ms binning

    From T100_start-5 s to T100_start+5 s
    Blue+Cyan dotted lines: Time interval of the scaled map
    From 0.000000 to 8.192000
    

    8 ms binning

    From T100_start-3 s to T100_start+3 s
    Blue+Cyan dotted lines: Time interval of the scaled map
    From 0.000000 to 8.192000
    

    2 ms binning

    From T100_start-1 s to T100_start+1 s
    Blue+Cyan dotted lines: Time interval of the scaled map
    From 0.000000 to 8.192000
    

    SN=5 or 10 sec. binning (whichever binning is satisfied first)

    SN=5 or 10 sec. binning (T < 200 sec)

    Quad-rate summed light curves (from T0-300s to T0+1000s)

    Spectral Evolution

    Spectra

    Notes:

    Time averaged spectrum fit using the average DRM

    Power-law model
    Time interval is from   -4.824 sec. to   13.176 sec.
     
    Spectral model in power-law:
    ------------------------------------------------------------
    Parameters  : value       lower 90%   higher 90%
    Photon index: 1.59836     ( -0.202965   0.208686 )
    Norm@50keV  : 1.83989E-03    ( -0.000260008   0.000257836 )
    ------------------------------------------------------------
    #Fit statistic : Chi-Squared =          75.62 using 59 PHA bins.
    # Reduced chi-squared =          1.327 for     57 degrees of freedom 
    # Null hypothesis probability =   5.001712e-02
     
    Photon flux (15-150 keV)    in 18 sec: 0.236310 ( -0.031381  0.0314041 ) ph/cm2/s
    Energy fluence (15-150 keV)             : 3.09805e-07 ( -4.63511e-08  4.71841e-08 ) ergs/cm2
     
    
    Cutoff power-law model
    Time interval is from   -4.824 sec. to   13.176 sec.
    Spectral model in the cutoff power-law:
    ------------------------------------------------------------
    Parameters  : value       lower 90%   higher 90%
    Photon index: -0.527102     ( -1.37327   1.06677 )
    Epeak [keV] : 55.4978      ( -8.15984 13.6555 )
    Norm@50keV  : 2.45411E-02    ( -0.0245764   0.101128 )
    ------------------------------------------------------------
    #Fit statistic : Chi-Squared =          61.47 using 59 PHA bins.
    # Reduced chi-squared =          1.098 for     56 degrees of freedom 
    # Null hypothesis probability =   2.864144e-01
     
    Photon flux (15-150 keV)    in 18 sec: 0.222867 ( -0.031664  0.03182 ) ph/cm2/s
    Energy fluence (15-150 keV)             : 2.73573e-07 ( -4.39614e-08  4.7196e-08 ) ergs/cm2
     
    
    Band function
    Time interval is from   -4.824 sec. to   13.176 sec.
     
    Spectral model in the Band function:
    ------------------------------------------------------------
    Parameters  : value       lower 90%   higher 90%
    alpha       : 0.528954   ( -0.770506   1.8371 )
    beta        : -10.0000    ( 10   3.55271e-15 )
    Epeak [keV] : 55.4784      ( -8.14738 13.6248 )
    Norm@50keV   : 2.46016E-02    ( -0.0246015   0.101458 )
    ------------------------------------------------------------
    #Fit statistic : Chi-Squared =          61.47 using 59 PHA bins.
    # Reduced chi-squared =          1.118 for     55 degrees of freedom 
    # Null hypothesis probability =   2.553680e-01
     
    Photon flux (15-150 keV)    in 18 sec: 0.223012 ( 6.77699  -0.031606 ) ph/cm2/s
    Energy fluence (15-150 keV)             : 2.73314e-07 ( -2.73188e-07  -4.374e-08 ) ergs/cm2
     
    
    Single BB
     
    Spectral model blackbody:
    ------------------------------------------------------------
    Parameters  : value    Lower 90%  Upper 90%
    kT [keV]    : 13.5952  (-1.66466  1.91261)
    R^2/D10^2   : 4.07806E-02  (-0.0155459   0.0244444)
    (R is the radius in km and D10 is the distance to the source in units of 10 kpc)
    ------------------------------------------------------------
    #Fit statistic : Chi-Squared =          62.91 using 59 PHA bins.
    # Reduced chi-squared =          1.104 for     57 degrees of freedom 
    # Null hypothesis probability =   2.750839e-01
     
    Energy  Fluence     90% Error
    [keV]   [erg/cm2]   [erg/cm2]
    15- 25  2.873e-08   6.183e-09
    25- 50  1.037e-07   1.851e-08
    50-150  1.243e-07   3.340e-08
    15-150  2.567e-07   4.554e-08
    
    Thermal bremsstrahlung (OTTB)
     
     
    Spectral model: thermal bremsstrahlung
    ------------------------------------------------------------
    Parameters  : value         Lower 90%    Upper 90%
    kT [keV]    : 143.403       (-56.1643      -141.462)
    Norm        : 0.999767       (-0.141616     0.171849)
    ------------------------------------------------------------
    #Fit statistic : Chi-Squared =          70.47 using 59 PHA bins.
    # Reduced chi-squared =          1.236 for     57 degrees of freedom 
    # Null hypothesis probability =   1.084108e-01
     
    Energy  Fluence     90% Error
    [keV]   [erg/cm2]   [erg/cm2]
    15- 25  4.639e-08   2.541e-08
    25- 50  8.541e-08   4.630e-08
    50-150  1.654e-07   9.909e-08
    15-150  2.972e-07   1.643e-07
    
    Double BB
     
     
    Spectral model: bbodyrad<1> + bbodyrad<2>
    ------------------------------------------------------------
    Parameters  : value         Lower 90%    Upper 90%
    kT1 [keV]   : 5.86159        (-5.88685      -5.88685)
    R1^2/D10^2  : 0.203153        (-0.199424      -0.199424)
    kT2 [keV]   : 15.5141        (-2.83772      -15.5339)
    R2^2/D10^2  : 2.23886E-02    (-0.0222568   0.0299674)
    ------------------------------------------------------------
    #Fit statistic : Chi-Squared =          60.95 using 59 PHA bins.
    # Reduced chi-squared =          1.108 for     55 degrees of freedom 
    # Null hypothesis probability =   2.704581e-01
     
    Energy  Fluence     90% Error
    [keV]   [erg/cm2]   [erg/cm2]
    15- 25  3.632e-08   1.939e-08
    25- 50  9.797e-08   5.070e-08
    50-150  1.387e-07   8.199e-08
    15-150  2.730e-07   1.459e-07
    

    Peak spectrum fit

    Power-law model
    Time interval is from    2.176 sec. to    3.176 sec.
     
    Spectral model in power-law:
    ------------------------------------------------------------
    Parameters  : value       lower 90%   higher 90%
    Photon index: 1.47195     ( -0.641648   0.662681 )
    Norm@50keV  : 3.04409E-03    ( -0.00110617   0.00106321 )
    ------------------------------------------------------------
    #Fit statistic : Chi-Squared =          70.29 using 59 PHA bins.
    # Reduced chi-squared =          1.233 for     57 degrees of freedom 
    # Null hypothesis probability =   1.110391e-01
     
    Photon flux (15-150 keV)    in 1 sec: 0.377230 ( -0.130737  0.130947 ) ph/cm2/s
    Energy fluence (15-150 keV)             : 2.90151e-08 ( -1.11974e-08  1.14826e-08 ) ergs/cm2
     
    
    Cutoff power-law model
    Time interval is from    2.176 sec. to    3.176 sec.
    Spectral model in the cutoff power-law:
    ------------------------------------------------------------
    Parameters  : value       lower 90%   higher 90%
    Photon index: 2.14108     (     )
    Epeak [keV] : 53.0070      (   )
    Norm@50keV  : 1.29634E-03    (     )
    ------------------------------------------------------------
    #Fit statistic : Chi-Squared =          70.09 using 59 PHA bins.
    # Reduced chi-squared =          1.252 for     56 degrees of freedom 
    # Null hypothesis probability =   9.760548e-02
     
    Photon flux (15-150 keV)    in 1 sec: 0.378228 ( -0.131308  0.129923 ) ph/cm2/s
    Energy fluence (15-150 keV)             : 2.90309e-08 ( -1.1731e-08  1.12982e-08 ) ergs/cm2
     
    
    Band function
    Time interval is from    2.176 sec. to    3.176 sec.
     
    Spectral model in the Band function:
    ------------------------------------------------------------
    Parameters  : value       lower 90%   higher 90%
    alpha       : -0.867805   ( 0.953121   0.953121 )
    beta        : -1.47805    ( 1.63642   0.806306 )
    Epeak [keV] : 32.2611      ( -32.7178 -32.7178 )
    Norm@50keV   : 1.06737E-02    ( -0.0106346   408409 )
    ------------------------------------------------------------
    #Fit statistic : Chi-Squared =          70.29 using 59 PHA bins.
    # Reduced chi-squared =          1.278 for     55 degrees of freedom 
    # Null hypothesis probability =   8.027013e-02
     
    Photon flux (15-150 keV)    in 1 sec:  (    ) ph/cm2/s
    Energy fluence (15-150 keV)             : 0 ( 0  0 ) ergs/cm2
     
    
    Single BB
     
    Spectral model blackbody:
    ------------------------------------------------------------
    Parameters  : value    Lower 90%  Upper 90%
    kT [keV]    : 13.7271  (-4.08927  7.26594)
    R^2/D10^2   : 5.95774E-02  (-0.0595775   0.146839)
    (R is the radius in km and D10 is the distance to the source in units of 10 kpc)
    ------------------------------------------------------------
    #Fit statistic : Chi-Squared =          71.88 using 59 PHA bins.
    # Reduced chi-squared =          1.261 for     57 degrees of freedom 
    # Null hypothesis probability =   8.866625e-02
     
    Energy  Fluence     90% Error
    [keV]   [erg/cm2]   [erg/cm2]
    15- 25  2.375e-09   1.535e-09
    25- 50  8.661e-09   5.485e-09
    50-150  1.064e-08   7.665e-09
    15-150  2.167e-08   1.375e-08
    
    Thermal bremsstrahlung (OTTB)
     
     
    Spectral model: thermal bremsstrahlung
    ------------------------------------------------------------
    Parameters  : value         Lower 90%    Upper 90%
    kT [keV]    : 199.363       (-199.363      -199.363)
    Norm        : 1.54487       (-0.528721     0.529335)
    ------------------------------------------------------------
    #Fit statistic : Chi-Squared =          70.54 using 59 PHA bins.
    # Reduced chi-squared =          1.238 for     57 degrees of freedom 
    # Null hypothesis probability =   1.072475e-01
     
    Energy  Fluence     90% Error
    [keV]   [erg/cm2]   [erg/cm2]
    15- 25  3.847e-09   2.455e-09
    25- 50  7.400e-09   4.674e-09
    50-150  1.623e-08   1.037e-08
    15-150  2.748e-08   1.757e-08
    
    Double BB
    ------------------------------------------------------------
    #Fit statistic : Chi-Squared =          70.04 using 59 PHA bins.
    #Fit statistic : Chi-Squared =          68.93 using 59 PHA bins.
    #Fit statistic : Chi-Squared =          68.92 using 59 PHA bins.
    #Fit statistic : Chi-Squared =          68.90 using 59 PHA bins.
    # Reduced chi-squared =          1.273 for     55 degrees of freedom 
    # Reduced chi-squared =          1.253 for     55 degrees of freedom 
    # Reduced chi-squared =          1.253 for     55 degrees of freedom 
    # Reduced chi-squared =          1.253 for     55 degrees of freedom 
    # Null hypothesis probability =   8.332873e-02
    # Null hypothesis probability =   9.801559e-02
    # Null hypothesis probability =   9.820783e-02
    # Null hypothesis probability =   9.844320e-02
     
    Energy  Fluence     90% Error
    [keV]   [erg/cm2]   [erg/cm2]
    15- 25  3.953e-09   1.984e-09
    25- 50  7.399e-09   4.576e-09
    50-150  1.243e-08   8.430e-09
    15-150  2.378e-08   1.441e-08
    

    Pre-slew spectrum (Pre-slew PHA with pre-slew DRM)

    Power-law model
     
    Spectral model in power-law:
    ------------------------------------------------------------
    Parameters  : value       lower 90%   higher 90%
    Photon index: 1.59836     ( -0.202965   0.208686 )
    Norm@50keV  : 1.83989E-03    ( -0.000260008   0.000257836 )
    ------------------------------------------------------------
    #Fit statistic : Chi-Squared =          75.62 using 59 PHA bins.
    # Reduced chi-squared =          1.327 for     57 degrees of freedom 
    # Null hypothesis probability =   5.001712e-02
     
    Photon flux (15-150 keV)    in 18 sec: 0.236310 ( -0.031381  0.0314041 ) ph/cm2/s
    Energy fluence (15-150 keV)             : 3.09805e-07 ( -4.63511e-08  4.71841e-08 ) ergs/cm2
     
    
    Cutoff power-law model
    Spectral model in the cutoff power-law:
    ------------------------------------------------------------
    Parameters  : value       lower 90%   higher 90%
    Photon index: -0.527102     ( -1.37327   1.06677 )
    Epeak [keV] : 55.4978      ( -8.15984 13.6555 )
    Norm@50keV  : 2.45411E-02    ( -0.0245764   0.101128 )
    ------------------------------------------------------------
    #Fit statistic : Chi-Squared =          61.47 using 59 PHA bins.
    # Reduced chi-squared =          1.098 for     56 degrees of freedom 
    # Null hypothesis probability =   2.864144e-01
     
    Photon flux (15-150 keV)    in 18 sec: 0.222867 ( -0.031664  0.03182 ) ph/cm2/s
    Energy fluence (15-150 keV)             : 2.73573e-07 ( -4.39614e-08  4.7196e-08 ) ergs/cm2
     
    
    Band function
     
    Spectral model in the Band function:
    ------------------------------------------------------------
    Parameters  : value       lower 90%   higher 90%
    alpha       : 0.528954   ( -0.770506   1.8371 )
    beta        : -10.0000    ( 10   3.55271e-15 )
    Epeak [keV] : 55.4784      ( -8.14738 13.6248 )
    Norm@50keV   : 2.46016E-02    ( -0.0246015   0.101458 )
    ------------------------------------------------------------
    #Fit statistic : Chi-Squared =          61.47 using 59 PHA bins.
    # Reduced chi-squared =          1.118 for     55 degrees of freedom 
    # Null hypothesis probability =   2.553680e-01
     
    Photon flux (15-150 keV)    in 18 sec: 0.223012 ( 6.77699  -0.031606 ) ph/cm2/s
    Energy fluence (15-150 keV)             : 2.73314e-07 ( -2.73188e-07  -4.374e-08 ) ergs/cm2
     
    

    S(25-50 keV) vs. S(50-100 keV) plot

    S(25-50 keV)  = 8.02e-08
    S(50-100 keV) = 1.06e-07
    

    T90 vs. Hardness ratio plot

    T90                                   = 15 sec.
    Hardness ratio (energy fluence ratio) = 1.3217
    

    Color vs. Color plot

    Count Ratio  (25-50 keV) / (15-25 keV) = 1.80333
    Count Ratio (50-100 keV) / (15-25 keV) = 1.19672
    

    Mask shadow pattern

    IMX = 2.376806277646026E-01, IMY = 4.244722018507173E-01
    

    TIME vs. PHA plot around the trigger time

    Blue+Cyan dotted lines: Time interval of the scaled map
    From 0.000000 to 8.192000
    

    TIME vs. DetID plot around the trigger time

    Blue+Cyan dotted lines: Time interval of the scaled map
    From 0.000000 to 8.192000
    

    100 us light curve (15-350 keV)

    Blue+Cyan dotted lines: Time interval of the scaled map
    From 0.000000 to 8.192000
    

    Spacecraft aspect plot

    Bright source in the pre-burst/pre-slew/post-slew images

    Pre-burst image of 15-350 keV band

    Time interval of the image:
    -299.824000 -4.824000
     
    # RAcent  DECcent POSerr Theta    Phi  PeakCts   SNR AngSep     Name
    #  [deg]    [deg]    ['] [deg]  [deg]                   [']
     16.1288 -39.6754    2.1  14.8  100.8   0.8241   5.6 ------	UNKNOWN                       
      1.9698 -30.8589    3.1  22.0  142.2   0.6226   3.7 ------	UNKNOWN                       
      9.0864 -16.0790    2.3  20.4 -172.4   0.7989   4.9 ------	UNKNOWN                       
     42.6392 -29.4030    2.9  13.7  -14.5   0.6368   4.0 ------	UNKNOWN                       
     59.0251 -17.7979    2.1  31.0  -36.4   1.0376   5.4 ------	UNKNOWN                       
     59.2701   2.8607    2.9  43.7  -63.8   3.7377   4.0 ------	UNKNOWN                       
    

    Pre-slew background subtracted image of 15-350 keV band

    Time interval of the image:
    -4.824000 13.176000
     
    # RAcent  DECcent POSerr Theta    Phi  PeakCts   SNR AngSep     Name
    #  [deg]    [deg]    ['] [deg]  [deg]                   [']
     33.3237 -22.9313    2.3   7.6  -64.7   0.1694   5.1 ------	UNKNOWN                       
     48.0642 -11.0499    0.9  25.9  -60.8   0.5341  12.4 ------	UNKNOWN                       
     55.3226 -10.0975    2.1  32.0  -52.6   0.2846   5.6 ------	UNKNOWN                       
     25.8437  15.3308    2.4  43.3 -115.9   0.7335   4.8 ------	UNKNOWN                       
    

    Post-slew image of 15-350 keV band

    Time interval of the image:
    -299.824000 32.205500
     
    # RAcent  DECcent POSerr Theta    Phi  PeakCts   SNR AngSep     Name
    #  [deg]    [deg]    ['] [deg]  [deg]                   [']
      1.9735 -30.8702    2.8  22.0  142.1   0.7663   4.2 ------	UNKNOWN                       
     42.6186 -29.3754    2.9  13.7  -14.6   0.6856   4.0 ------	UNKNOWN                       
     59.0164 -17.8188    2.1  31.0  -36.4   1.1316   5.6 ------	UNKNOWN                       
    
    Plot creation:
    Sun May 31 16:50:58 EDT 2015