batgrbproduct analysis for trigger=1285677

batgrbproduct Analysis for Trigger=1285677

Analysis Summary

Notes:

======================================================================
                  BAT GRB EVENT DATA PROCESSING REPORT
    Process Script Ver: batgrbproduct v2.48
    Process Start Time (local time): Thu Jun 19 21:43:19 EDT 2025
             Host Name: batproc1
   Current Working Dir: /local/data/bat1/alien/Swift_3rdBATcatalog/event/batevent_reproc/trigger1285677
======================================================================

  Trigger: 01285677      Segment: 000

  BAT Trigger Time: 759774208.696   [s; MET]
      Trigger Stop: 759774208.76   [s; MET]
               UTC: 2025-01-28T16:22:53.718560    [includes UTCF correction] 
       Where From?: (*SHORT BURST*) TDRSS scaled map message

  BAT 
    RA: 231.419897727353   Dec: -0.517133136897832  [deg; J2000]

     Catalogged Source?: NO
     Point Source?:      YES
     GRB Indicated?:     YES    [ by BAT flight software ]
     Image S/N Ratio:    7.64
     Image Trigger?:     NO
     Rate S/N Ratio:     24.7588368062799  [ if not an image trigger ]
     Image S/N Ratio:    7.64

  Flight Position:   [ source = BAT ]
    RA: 231.419897727353   Dec: -0.517133136897832  [deg; J2000]

  Ground Position:   [ source = BAT pre-slew burst ]
    RA: 231.422941890195   Dec: -0.546452473321537  [deg; J2000]  
        { 15h 25m 41.5s , -00d 32' 47.2" }
         +/- 2.03249281623113 [arcmin] (estimated 90% radius based on SNR)
         +/- 1.02758498431348 [arcmin] (formal 1-sigma fit error)
    SNR: 11.0427419581179
 
  Angular difference between Flight and Ground position is 1.768616 arcmin
 
  Partial Coding Fraction: 1.015625    [ including projection effects ]

  Duration
     T90: 0.483999967575073 +/- 0.109836277653587
        Measured from: -0.0119999647140503
                   to: 0.472000002861023     [s; relative to TRIGTIME]
     T50: 0.192000031471252 +/- 0.137462638301169
        Measured from: 0.0199999809265137
                   to: 0.212000012397766     [s; relative to TRIGTIME]



  Fluence
     Peak Flux  (peak 1 second)
        Measured from: -0.22599995136261     
                   to: 0.77400004863739     [s; relative to TRIGTIME]
     Total Fluence        
        Measured from: -0.0199999809265137     
                   to: 0.564000010490417     [s; relative to TRIGTIME]
     
             Band 1     Band 2     Band 3     Band 4
              15-25      25-50     50-100    100-350     keV
 Total     0.023608   0.035595   0.030546   0.018368
           0.005253   0.005305   0.004775   0.003654 [error]
 Peak      0.019050   0.030501   0.029422   0.011901
           0.006533   0.006612   0.005682   0.004625 [error]

     [ fluence units of on-axis counts / fully illuminated detector ] 

======================================================================
 
=== Fluence/Peak Flux Summary ===
 
              Model    Band1    Band2    Band3    Band4    Band5    Total      
                       15-25    25-50   50-100  100-350   15-150   15-350   keV
Fluence   Power-law 7.07e-09 1.47e-08 2.37e-08 8.64e-08 6.54e-08 1.32e-07   erg/cm2
              Error 1.98e-09 2.45e-09 4.50e-09 3.69e-08 1.12e-08 3.98e-08   erg/cm2
Peak flux Power-law 1.90e-01 2.22e-01 1.87e-01 2.67e-01 6.95e-01 8.66e-01   ph/cm2/s
              Error 7.75e-02 5.50e-02 4.54e-02 1.40e-01 1.51e-01 1.88e-01   ph/cm2/s
 
Fluence   Cutoff-PL 7.18e-09 1.46e-08 2.37e-08 8.82e-08 6.60e-08 1.24e-07   erg/cm2
              Error 1.64e-09 2.61e-09 4.84e-09 5.33e-08 1.06e-08 5.22e-08   erg/cm2
Peak flux Cutoff-PL 1.83e-01 2.24e-01 1.91e-01 2.30e-01 6.90e-01 8.28e-01   ph/cm2/s
              Error 1.36e-01 5.87e-02 5.34e-02 2.02e-01 1.56e-01 2.42e-01   ph/cm2/s
 
Fluence        Band -------- -------- -------- -------- -------- --------   erg/cm2
              Error -------- -------- -------- -------- -------- --------   erg/cm2
Peak flux      Band -------- -------- -------- -------- -------- --------   ph/cm2/s
              Error -------- -------- -------- -------- -------- --------   ph/cm2/s
 
=== Time-averaged spectral analysis ===
 
Model Ph_index Ph_90err Epeak  Epeak_90err Norm     Nomr_90err chi2   dof
PL    1.303    0.274    -      -           1.14e-02 1.72e-03   54.130 57
CPL   1.301    0.352    9999.3    0.0      1.14e-02 1.15e-02   54.130 56
 
 
=== 1-s peak spectral analysis ===
 
Model Ph_index Ph_90err Epeak  Epeak_90err Norm     Nomr_90err chi2   dof
PL    1.248    0.378    -      -           5.88e-03 1.22e-03   65.640 57
CPL   2.490    1.667     159.3    0.0      1.27e-03 0.00e+00   65.580 56
 
Model      : spectral model: simple power-law (PL) and cutoff power-law (CPL)
Ph_index   : photon index: E^-{Ph_index} (minus sign is not included in the index)
Ph_90err   : 90% error of the photon index
Epeak      : Epeak in keV
Epeak_90err: 90% error of Epeak
Norm       : normalization at 50 keV in PL model and at 1 keV in CPL model
Nomr_90err : 90% error of the normalization
chi2       : Chi-Squared
dof        : degree of freedom
 
=== T90/T50 calculation in the 50-300 keV band (BATSE band) using 64 ms lc ===
 
T90 in the 50-300 keV band: 0.448000 sec.
T50 in the 50-300 keV band: 0.192000 sec.
 
=== Table of the duration information ==
 
        Value   tstart    tstop
T100    0.584   -0.020    0.564
T90     0.484   -0.012    0.472
T50     0.192    0.020    0.212
Peak    1.000   -0.226    0.774
  • Click here for the BAT GCN circular template
  • Estimated redshift from machine learning (Ukwatta et al. 2016) - may take a few minute to calcaulte

    Image

    Pre-slew 15.0-350.0 keV image (Event data)

    #   RAcent    DECcent   POSerr    Theta     Phi              Peak Cts       SNR   Name
      231.4229    -0.5465   0.0175    18.2395   -15.6573         0.1071848     11.043 TRIG_01285677                 
     
    Foreground time interval of the image:
     -0.020   0.564 (delta_t =   0.584 [sec])
    Background time interval of the image:
    -239.696  -0.020 (delta_t = 239.676 [sec])
    

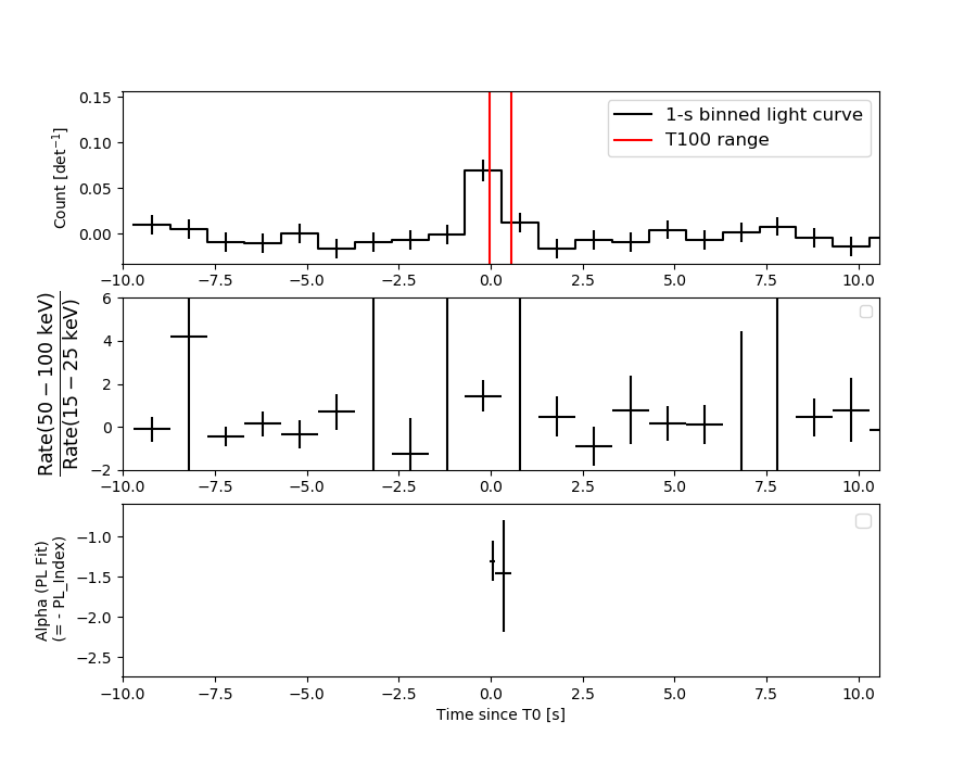
    Lightcurves

    Notes:

    1 s binning

    From T0-310 s to T0+310 s
    From T100_start - 20 s to T100_end + 30 s
    Full time interval

    64 ms binning

    Full time interval
    From T100_start to T100_end
    From T0-5 sec to T0+5 sec

    16 ms binning

    From T100_start-5 s to T100_start+5 s
    Blue+Cyan dotted lines: Time interval of the scaled map
    From 0.000000 to 0.064000
    

    8 ms binning

    From T100_start-3 s to T100_start+3 s
    Blue+Cyan dotted lines: Time interval of the scaled map
    From 0.000000 to 0.064000
    

    2 ms binning

    From T100_start-1 s to T100_start+1 s
    Blue+Cyan dotted lines: Time interval of the scaled map
    From 0.000000 to 0.064000
    

    SN=5 or 10 sec. binning (whichever binning is satisfied first)

    SN=5 or 10 sec. binning (T < 200 sec)

    Quad-rate summed light curves (from T0-300s to T0+1000s)

    Spectral Evolution

    Spectra

    Notes:

    Time averaged spectrum fit using the average DRM

    Power-law model
    Time interval is from   -0.020 sec. to    0.564 sec.
     
    Spectral model in power-law:
    ------------------------------------------------------------
    Parameters  : value       lower 90%   higher 90%
    Photon index: 1.30271     ( -0.272629   0.274668 )
    Norm@50keV  : 1.13863E-02    ( -0.0017251   0.00172233 )
    ------------------------------------------------------------
    #Fit statistic  : Chi-Squared                   54.13     using 59 bins.
     Reduced chi-squared = 0.949649
    # Null hypothesis probability of 5.83e-01 with 57 degrees of freedom
     
    Photon flux (15-150 keV)    in 0.584 sec: 1.35912 ( -0.21049  0.21108 ) ph/cm2/s
    Energy fluence (15-150 keV)             : 6.56737e-08 ( -1.11265e-08  1.12275e-08 ) ergs/cm2
     
    
    Cutoff power-law model
    Time interval is from   -0.020 sec. to    0.564 sec.
    Spectral model in the cutoff power-law:
    ------------------------------------------------------------
    Parameters  : value       lower 90%   higher 90%
    Photon index: 1.30143     ( -0.429267   0.274201 )
    Epeak [keV] : 9999.28      ( -9999.36 -9999.36 )
    Norm@50keV  : 1.14248E-02    ( -0.00173417   0.0212233 )
    ------------------------------------------------------------
    #Fit statistic  : Chi-Squared                   54.13     using 59 bins.
     Reduced chi-squared = 0.966607
    # Null hypothesis probability of 5.46e-01 with 56 degrees of freedom
     
    Photon flux (15-150 keV)    in 0.584 sec: 1.35890 ( -0.21048  0.21092 ) ph/cm2/s
    Energy fluence (15-150 keV)             : 6.57584e-08 ( -1.15454e-08  9.59845e-09 ) ergs/cm2
     
    
    Band function
    Time interval is from   -0.020 sec. to    0.564 sec.
     
     
    Spectral model in the Band function:
    ------------------------------------------------------------
    Parameters  : value       lower 90%   higher 90%
    alpha       :    (     )
    beta        :     (     )
    Epeak [keV] :       (   )
    Norm@50keV   :     (     )
    ------------------------------------------------------------
     
    Photon flux (15-150 keV)    in  sec:  (    ) ph/cm2/s
    Energy fluence (15-150 keV)             : 0 ( 0  0 ) ergs/cm2
     
    
    Single BB
     
    Spectral model blackbody:
    ------------------------------------------------------------
    Parameters  : value    Lower 90%  Upper 90%
    kT [keV]    : 18.7110  (-3.64528  4.78153)
    R^2/D10^2   : 7.55299E-02  (-0.0397788   0.0799717)
    (R is the radius in km and D10 is the distance to the source in units of 10 kpc)
    ------------------------------------------------------------
    #Fit statistic  : Chi-Squared                   65.83     using 59 bins.
     Reduced chi-squared = 
    # Null hypothesis probability of 1.98e-01 with 57 degrees of freedom
     
    Energy  Fluence     90% Error
    [keV]   [erg/cm2]   [erg/cm2]
    15- 25  3.052e-09   9.969e-10
    25- 50  1.452e-08   3.895e-09
    50-150  3.724e-08   1.121e-08
    15-150  5.482e-08   1.430e-08
    
    Thermal bremsstrahlung (OTTB)
     
     
    Spectral model: thermal bremsstrahlung
    ------------------------------------------------------------
    Parameters  : value         Lower 90%    Upper 90%
    kT [keV]    : 200.000       (-59.697      -200)
    Norm        : 5.60833       (-0.85637     0.85637)
    ------------------------------------------------------------
    #Fit statistic  : Chi-Squared                   57.11     using 59 bins.
     Reduced chi-squared = 
    # Null hypothesis probability of 4.71e-01 with 57 degrees of freedom
     
    Energy  Fluence     90% Error
    [keV]   [erg/cm2]   [erg/cm2]
    15- 25  8.158e-09   4.637e-09
    25- 50  1.569e-08   8.938e-09
    50-150  3.442e-08   1.946e-08
    15-150  5.827e-08   3.238e-08
    
    Double BB
     
     
    Spectral model: bbodyrad<1> + bbodyrad<2>
    ------------------------------------------------------------
    Parameters  : value         Lower 90%    Upper 90%
    kT1 [keV]   : 3.96313        (-2.4132      3.97314)
    R1^2/D10^2  : 11.9346        (-11.1354      5425.94)
    kT2 [keV]   : 24.2205        (-6.11927      22.1678)
    R2^2/D10^2  : 2.97721E-02    (-0.0258743   0.0509678)
    ------------------------------------------------------------
    #Fit statistic  : Chi-Squared                   54.42     using 59 bins.
     Reduced chi-squared = 
    # Null hypothesis probability of 4.97e-01 with 55 degrees of freedom
     
    Energy  Fluence     90% Error
    [keV]   [erg/cm2]   [erg/cm2]
    15- 25  7.861e-09   4.150e-09
    25- 50  1.218e-08   5.587e-09
    50-150  4.392e-08   2.109e-08
    15-150  6.397e-08   2.752e-08
    

    Peak spectrum fit

    Power-law model
    Time interval is from   -0.226 sec. to    0.774 sec.
     
    Spectral model in power-law:
    ------------------------------------------------------------
    Parameters  : value       lower 90%   higher 90%
    Photon index: 1.24759     ( -0.381345   0.375283 )
    Norm@50keV  : 5.87643E-03    ( -0.00122446   0.00122444 )
    ------------------------------------------------------------
    #Fit statistic  : Chi-Squared                   65.64     using 59 bins.
     Reduced chi-squared = 1.15158
    # Null hypothesis probability of 2.02e-01 with 57 degrees of freedom
     
    Photon flux (15-150 keV)    in 1 sec: 0.694757 ( -0.150371  0.151285 ) ph/cm2/s
    Energy fluence (15-150 keV)             : 5.88545e-08 ( -1.34342e-08  1.35607e-08 ) ergs/cm2
     
    
    Cutoff power-law model
    Time interval is from   -0.226 sec. to    0.774 sec.
    Spectral model in the cutoff power-law:
    ------------------------------------------------------------
    Parameters  : value       lower 90%   higher 90%
    Photon index: 2.48973     ( -3.22277   0.111546 )
    Epeak [keV] : 159.304      (   )
    Norm@50keV  : 1.27274E-03    (     )
    ------------------------------------------------------------
    #Fit statistic  : Chi-Squared                   65.58     using 59 bins.
     Reduced chi-squared = 1.17107
    # Null hypothesis probability of 1.79e-01 with 56 degrees of freedom
     
    Photon flux (15-150 keV)    in 1 sec: 0.690232 ( -0.158075  0.154661 ) ph/cm2/s
    Energy fluence (15-150 keV)             : 5.85113e-08 ( -1.4041e-08  1.37956e-08 ) ergs/cm2
     
    
    Band function
    Time interval is from   -0.226 sec. to    0.774 sec.
     
     
    Spectral model in the Band function:
    ------------------------------------------------------------
    Parameters  : value       lower 90%   higher 90%
    alpha       :    (     )
    beta        :     (     )
    Epeak [keV] :       (   )
    Norm@50keV   :     (     )
    ------------------------------------------------------------
     
    Photon flux (15-150 keV)    in  sec:  (    ) ph/cm2/s
    Energy fluence (15-150 keV)             : 0 ( 0  0 ) ergs/cm2
     
    
    Single BB
     
    Spectral model blackbody:
    ------------------------------------------------------------
    Parameters  : value    Lower 90%  Upper 90%
    kT [keV]    : 19.5689  (-4.68437  6.89944)
    R^2/D10^2   : 3.40688E-02  (-0.0214033   0.0508804)
    (R is the radius in km and D10 is the distance to the source in units of 10 kpc)
    ------------------------------------------------------------
    #Fit statistic  : Chi-Squared                   69.86     using 59 bins.
     Reduced chi-squared = 
    # Null hypothesis probability of 1.18e-01 with 57 degrees of freedom
     
    Energy  Fluence     90% Error
    [keV]   [erg/cm2]   [erg/cm2]
    15- 25  2.536e-09   1.107e-09
    25- 50  1.245e-08   4.426e-09
    50-150  3.523e-08   1.711e-08
    15-150  5.022e-08   2.158e-08
    
    Thermal bremsstrahlung (OTTB)
     
     
    Spectral model: thermal bremsstrahlung
    ------------------------------------------------------------
    Parameters  : value         Lower 90%    Upper 90%
    kT [keV]    : 200.000       (-79.7122      -200)
    Norm        : 2.89058       (-0.612979     0.612979)
    ------------------------------------------------------------
    #Fit statistic  : Chi-Squared                   67.74     using 59 bins.
     Reduced chi-squared = 
    # Null hypothesis probability of 1.56e-01 with 57 degrees of freedom
     
    Energy  Fluence     90% Error
    [keV]   [erg/cm2]   [erg/cm2]
    15- 25  7.198e-09   4.229e-09
    25- 50  1.385e-08   8.045e-09
    50-150  3.037e-08   1.733e-08
    15-150  5.141e-08   3.005e-08
    
    Double BB
     
     
    Spectral model: bbodyrad<1> + bbodyrad<2>
    ------------------------------------------------------------
    Parameters  : value         Lower 90%    Upper 90%
    kT1 [keV]   : 1.69839        (-1.1613      4.16815)
    R1^2/D10^2  : 1635.33        (-1633      -1633.92)
    kT2 [keV]   : 21.5291        (-5.29984      8.42275)
    R2^2/D10^2  : 2.40918E-02    (-0.0157841   0.0354536)
    ------------------------------------------------------------
    #Fit statistic  : Chi-Squared                   63.31     using 59 bins.
     Reduced chi-squared = 
    # Null hypothesis probability of 2.07e-01 with 55 degrees of freedom
     
    Energy  Fluence     90% Error
    [keV]   [erg/cm2]   [erg/cm2]
    15- 25  5.296e-09   2.383e-09
    25- 50  1.093e-08   6.388e-09
    50-150  3.769e-08   1.947e-08
    15-150  5.392e-08   2.341e-08
    

    Pre-slew spectrum (Pre-slew PHA with pre-slew DRM)

    Power-law model
     
    Spectral model in power-law:
    ------------------------------------------------------------
    Parameters  : value       lower 90%   higher 90%
    Photon index: 1.30271     ( -0.272629   0.274668 )
    Norm@50keV  : 1.13863E-02    ( -0.0017251   0.00172233 )
    ------------------------------------------------------------
    #Fit statistic  : Chi-Squared                   54.13     using 59 bins.
     Reduced chi-squared = 
    # Null hypothesis probability of 5.83e-01 with 57 degrees of freedom
     
    Photon flux (15-150 keV)    in 0.584 sec: 1.35910 ( -0.210484  0.211072 ) ph/cm2/s
    Energy fluence (15-150 keV)             : 6.56679e-08 ( -1.11266e-08  1.123e-08 ) ergs/cm2
     
    
    Cutoff power-law model
    Spectral model in the cutoff power-law:
    ------------------------------------------------------------
    Parameters  : value       lower 90%   higher 90%
    Photon index: 1.30029     ( -0.426514   0.274673 )
    Epeak [keV] : 9999.28      ( -9999.36 -9999.36 )
    Norm@50keV  : 1.14269E-02    ( -0.00173394   0.0212228 )
    ------------------------------------------------------------
    #Fit statistic  : Chi-Squared                   54.13     using 59 bins.
     Reduced chi-squared = 
    # Null hypothesis probability of 5.46e-01 with 56 degrees of freedom
     
    Photon flux (15-150 keV)    in 0.584 sec: 1.35984 ( -0.21257  0.20941 ) ph/cm2/s
    Energy fluence (15-150 keV)             : 6.55844e-08 ( -1.1238e-08  1.12753e-08 ) ergs/cm2
     
    
    Band function
     
     
    Spectral model in the Band function:
    ------------------------------------------------------------
    Parameters  : value       lower 90%   higher 90%
    alpha       :    (     )
    beta        :     (     )
    Epeak [keV] :       (   )
    Norm@50keV   :     (     )
    ------------------------------------------------------------
     
    Photon flux (15-150 keV)    in  sec:  (    ) ph/cm2/s
    Energy fluence (15-150 keV)             : 0 ( 0  0 ) ergs/cm2
     
    

    S(25-50 keV) vs. S(50-100 keV) plot

    S(25-50 keV)  = 1.47e-08
    S(50-100 keV) = 2.37e-08
    

    T90 vs. Hardness ratio plot

    T90                                   = 0.483999967575073 sec.
    Hardness ratio (energy fluence ratio) = 1.61224
    

    Color vs. Color plot

    Count Ratio  (25-50 keV) / (15-25 keV) = 1.50775
    Count Ratio (50-100 keV) / (15-25 keV) = 1.29388
    

    Mask shadow pattern

    IMX = 3.173179519661429E-01, IMY = 8.893923559529868E-02
    

    TIME vs. PHA plot around the trigger time

    Blue+Cyan dotted lines: Time interval of the scaled map
    From 0.000000 to 0.064000
    

    TIME vs. DetID plot around the trigger time

    Blue+Cyan dotted lines: Time interval of the scaled map
    From 0.000000 to 0.064000
    

    100 us light curve (15-350 keV)

    Blue+Cyan dotted lines: Time interval of the scaled map
    From 0.000000 to 0.064000
    

    Spacecraft aspect plot

    Bright source in the pre-burst/pre-slew/post-slew images

    Pre-burst image of 15-350 keV band

    Time interval of the image:
    -239.696000 -0.020000
     
    # RAcent  DECcent POSerr Theta    Phi  PeakCts   SNR AngSep     Name
    #  [deg]    [deg]    ['] [deg]  [deg]                   [']
    244.9653 -15.6139    0.7  35.9  -38.3   7.4206  16.1    1.8	Sco X-1                       
    254.4526  35.3770    2.0  27.0 -151.1   2.1396   5.9    2.1	Her X-1                       
    190.4125  41.7204    2.8  42.4  117.7   8.1128   4.1 ------	UNKNOWN                       
    208.6265  13.2670    2.6  22.4   66.1   1.6731   4.5 ------	UNKNOWN                       
    211.2108  10.6144    2.8  20.8   57.1   1.4870   4.1 ------	UNKNOWN                       
    211.1897 -18.6552    2.7  41.4   14.0   2.4152   4.3 ------	UNKNOWN                       
    266.0223   0.7583    2.6  38.0  -83.0   4.1684   4.5 ------	UNKNOWN                       
    

    Pre-slew background subtracted image of 15-350 keV band

    Time interval of the image:
    -0.020000 0.564000
     
    # RAcent  DECcent POSerr Theta    Phi  PeakCts   SNR AngSep     Name
    #  [deg]    [deg]    ['] [deg]  [deg]                   [']
    244.9728 -15.5537    5.0  35.8  -38.4  -0.0308  -2.3    5.2	Sco X-1                       
    254.5484  35.1666    4.1  27.0 -150.7  -0.0286  -2.8   11.5	Her X-1                       
    231.4230  -0.5465    1.0  18.2  -15.7   0.1072  11.0 ------	UNKNOWN                       
    224.3981 -39.6229    2.3  57.7   -9.3   0.2446   5.1 ------	UNKNOWN                       
    

    Post-slew image of 15-350 keV band

    Time interval of the image:
    61.804600 962.343900
     
    # RAcent  DECcent POSerr Theta    Phi  PeakCts   SNR AngSep     Name
    #  [deg]    [deg]    ['] [deg]  [deg]                   [']
    244.9698 -15.6420    0.6  20.2  -58.9  28.3538  20.2    0.6	Sco X-1                       
    254.4155  35.3876    5.7  41.8 -169.5   3.8080   2.0    3.4	Her X-1                       
    255.7991 -37.9715    7.3  43.6  -46.1   4.8879   1.6   11.7	4U 1700-377                   
    256.3950 -36.5521    9.9  42.8  -47.9   3.2943   1.2    8.0	GX 349+2                      
    263.1782 -24.7344   87.8  39.1  -67.3  -0.3900  -0.1    9.2	GX 1+4                        
    268.4963  -1.5489   15.0  37.1 -106.1   2.4761   0.8    9.6	SW J1753.5-0127               
    262.9341 -33.8593   64.9  44.5  -56.3  -0.8567  -0.2    3.1	GX 354-0                      
    199.0337  28.3517    2.6  42.4  117.6  32.8256   4.5 ------	UNKNOWN                       
    201.6871  -1.8943    3.0  29.7   69.1   8.4220   3.8 ------	UNKNOWN                       
    223.3815 -51.9339    2.5  51.8  -11.7  11.5457   4.6 ------	UNKNOWN                       
    227.8000 -56.1899    2.1  55.7  -15.6  16.6849   5.5 ------	UNKNOWN                       
    
    Plot creation:
    Fri Jun 20 01:53:55 EDT 2025