batgrbproduct analysis for trigger=1285812

batgrbproduct Analysis for Trigger=1285812

Analysis Summary

Notes:

======================================================================
                  BAT GRB EVENT DATA PROCESSING REPORT
    Process Script Ver: batgrbproduct v2.48
    Process Start Time (local time): Thu Jun 19 21:39:51 EDT 2025
             Host Name: batproc1
   Current Working Dir: /local/data/bat1/alien/Swift_3rdBATcatalog/event/batevent_reproc/trigger1285812
======================================================================

  Trigger: 01285812      Segment: 000

  BAT Trigger Time: 759818744   [s; MET]
      Trigger Stop: 759818808   [s; MET]
               UTC: 2025-01-29T04:45:09.019520    [includes UTCF correction] 
       Where From?: TDRSS position message

  BAT 
    RA: 198.689488755722   Dec: 5.03870168426934  [deg; J2000]

     Catalogged Source?: NO
     Point Source?:      YES
     GRB Indicated?:     YES    [ by BAT flight software ]
     Image S/N Ratio:    10.13
     Image Trigger?:     YES
     Rate S/N Ratio:     0  [ if not an image trigger ]
     Image S/N Ratio:    10.13

  Flight Position:   [ source = BAT ]
    RA: 198.689488755722   Dec: 5.03870168426934  [deg; J2000]

  Ground Position:   [ source = BAT pre-slew burst ]
    RA: 198.700286273275   Dec: 5.02617248282543  [deg; J2000]  
        { 13h 14m 48.1s , +05d 01' 34.2" }
         +/- 1.71624213547337 [arcmin] (estimated 90% radius based on SNR)
         +/- 0.759308388291551 [arcmin] (formal 1-sigma fit error)
    SNR: 14.0606743913087
 
  Angular difference between Flight and Ground position is 0.990764 arcmin
 
  Partial Coding Fraction: 0.84375    [ including projection effects ]

  Duration
     T90: 272.183999896049 +/- 22.6735377924198
        Measured from: -32.0319999456406
                   to: 240.151999950409     [s; relative to TRIGTIME]
     T50: 132.707999944687 +/- 8.69233704460982
        Measured from: 63.555999994278
                   to: 196.263999938965     [s; relative to TRIGTIME]



  Fluence
     Peak Flux  (peak 1 second)
        Measured from: 184.120000004768     
                   to: 185.120000004768     [s; relative to TRIGTIME]
     Total Fluence        
        Measured from: -62.5440000295639     
                   to: 302.62399995327     [s; relative to TRIGTIME]
     
             Band 1     Band 2     Band 3     Band 4
              15-25      25-50     50-100    100-350     keV
 Total     3.837545   3.802232   1.726056   0.243849
           0.119062   0.122201   0.102220   0.086068 [error]
 Peak      0.052118   0.075098   0.036885   0.002093
           0.006766   0.007004   0.005905   0.004608 [error]

     [ fluence units of on-axis counts / fully illuminated detector ] 

======================================================================
 
=== Fluence/Peak Flux Summary ===
 
              Model    Band1    Band2    Band3    Band4    Band5    Total      
                       15-25    25-50   50-100  100-350   15-150   15-350   keV
Fluence   Power-law 1.21e-06 1.51e-06 1.37e-06 2.17e-06 4.86e-06 6.28e-06   erg/cm2
              Error 8.28e-08 6.35e-08 1.00e-07 3.26e-07 2.25e-07 4.21e-07   erg/cm2
Peak flux Power-law 5.26e-01 4.49e-01 2.62e-01 2.28e-01 1.34e+00 1.47e+00   ph/cm2/s
              Error 8.72e-02 5.26e-02 4.52e-02 7.38e-02 1.57e-01 1.75e-01   ph/cm2/s
 
Fluence   Cutoff-PL 1.19e-06 1.53e-06 1.37e-06 1.58e-06 4.75e-06 5.62e-06   erg/cm2
              Error 6.97e-08 7.41e-08 1.05e-07 6.60e-07 2.66e-07 7.58e-07   erg/cm2
Peak flux Cutoff-PL 4.64e-01 5.29e-01 2.60e-01 4.90e-02 1.29e+00 1.30e+00   ph/cm2/s
              Error 9.91e-02 7.70e-02 5.83e-02 6.66e-02 1.59e-01 1.67e-01   ph/cm2/s
 
Fluence        Band -------- -------- -------- -------- -------- --------   erg/cm2
              Error -------- -------- -------- -------- -------- --------   erg/cm2
Peak flux      Band -------- -------- -------- -------- -------- --------   ph/cm2/s
              Error -------- -------- -------- -------- -------- --------   ph/cm2/s
 
=== Time-averaged spectral analysis ===
 
Model Ph_index Ph_90err Epeak  Epeak_90err Norm     Nomr_90err chi2   dof
PL    2.138    0.088    -      -           1.42e-03 7.31e-05   55.990 57
CPL   1.986    0.195       4.0   16.7      1.73e-03 5.93e-04   55.250 56
 
 
=== 1-s peak spectral analysis ===
 
Model Ph_index Ph_90err Epeak  Epeak_90err Norm     Nomr_90err chi2   dof
PL    1.778    0.193    -      -           9.78e-03 1.32e-03   48.420 57
CPL   0.415    1.083      48.9   14.9      5.97e-02 1.61e-01   41.380 56
 
Model      : spectral model: simple power-law (PL) and cutoff power-law (CPL)
Ph_index   : photon index: E^-{Ph_index} (minus sign is not included in the index)
Ph_90err   : 90% error of the photon index
Epeak      : Epeak in keV
Epeak_90err: 90% error of Epeak
Norm       : normalization at 50 keV in PL model and at 1 keV in CPL model
Nomr_90err : 90% error of the normalization
chi2       : Chi-Squared
dof        : degree of freedom
 
=== T90/T50 calculation in the 50-300 keV band (BATSE band) using 64 ms lc ===
 
T90 in the 50-300 keV band: 257.024000 sec.
T50 in the 50-300 keV band: 173.376000 sec.
 
=== Table of the duration information ==
 
        Value   tstart    tstop
T100  365.168  -62.544  302.624
T90   272.184  -32.032  240.152
T50   132.708   63.556  196.264
Peak    1.000  184.120  185.120
  • Click here for the BAT GCN circular template
  • Estimated redshift from machine learning (Ukwatta et al. 2016) - may take a few minute to calcaulte

    Image

    Pre-slew 15.0-350.0 keV image (Event data)

    #   RAcent    DECcent   POSerr    Theta     Phi              Peak Cts       SNR   Name
      198.7003     5.0262   0.0137    27.3282     1.1866         2.6138861     14.061 TRIG_01285812                 
     
    Foreground time interval of the image:
    -62.544  74.301 (delta_t = 136.845 [sec])
    Background time interval of the image:
    -239.000 -62.544 (delta_t = 176.456 [sec])
    

    Lightcurves

    Notes:

    1 s binning

    From T0-310 s to T0+310 s
    From T100_start - 20 s to T100_end + 30 s
    Full time interval

    64 ms binning

    Full time interval
    From T100_start to T100_end
    From T0-5 sec to T0+5 sec

    16 ms binning

    From T100_start-5 s to T100_start+5 s

    8 ms binning

    From T100_start-3 s to T100_start+3 s

    2 ms binning

    From T100_start-1 s to T100_start+1 s

    SN=5 or 10 sec. binning (whichever binning is satisfied first)

    SN=5 or 10 sec. binning (T < 200 sec)

    Quad-rate summed light curves (from T0-300s to T0+1000s)

    Spectral Evolution

    Spectra

    Notes:

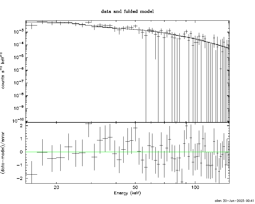
    Time averaged spectrum fit using the average DRM

    Power-law model
    Time interval is from  -62.544 sec. to  302.624 sec.
     
    Spectral model in power-law:
    ------------------------------------------------------------
    Parameters  : value       lower 90%   higher 90%
    Photon index: 2.13848     ( -0.0870656   0.0887688 )
    Norm@50keV  : 1.42137E-03    ( -7.34603e-05   7.27364e-05 )
    ------------------------------------------------------------
    #Fit statistic  : Chi-Squared                   55.99     using 59 bins.
     Reduced chi-squared = 0.982281
    # Null hypothesis probability of 5.13e-01 with 57 degrees of freedom
     
    Photon flux (15-150 keV)    in 365.2 sec: 0.227981 ( -0.010137  0.010167 ) ph/cm2/s
    Energy fluence (15-150 keV)             : 4.84328e-06 ( -2.23721e-07  2.2535e-07 ) ergs/cm2
     
    
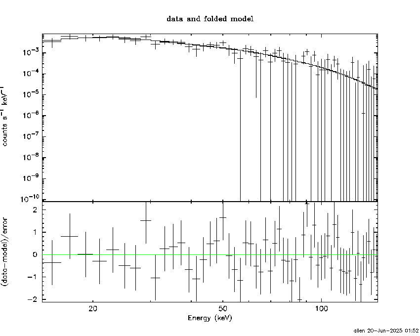
    Cutoff power-law model
    Time interval is from  -62.544 sec. to  302.624 sec.
    Spectral model in the cutoff power-law:
    ------------------------------------------------------------
    Parameters  : value       lower 90%   higher 90%
    Photon index: 1.98570     ( -0.375234   0.014793 )
    Epeak [keV] : 4.03456      ( -1.75172 31.6958 )
    Norm@50keV  : 1.72848E-03    ( -0.000148797   0.00103778 )
    ------------------------------------------------------------
    #Fit statistic  : Chi-Squared                   55.25     using 59 bins.
     Reduced chi-squared = 0.986607
    # Null hypothesis probability of 5.03e-01 with 56 degrees of freedom
     
    Photon flux (15-150 keV)    in 365.2 sec: 0.227787 ( -0.010019  0.010428 ) ph/cm2/s
    Energy fluence (15-150 keV)             : 4.7572e-06 ( -2.85009e-07  2.47988e-07 ) ergs/cm2
     
    
    Band function
    Time interval is from  -62.544 sec. to  302.624 sec.
     
     
    Spectral model in the Band function:
    ------------------------------------------------------------
    Parameters  : value       lower 90%   higher 90%
    alpha       :    (     )
    beta        :     (     )
    Epeak [keV] :       (   )
    Norm@50keV   :     (     )
    ------------------------------------------------------------
     
    Photon flux (15-150 keV)    in  sec:  (    ) ph/cm2/s
    Energy fluence (15-150 keV)             : 0 ( 0  0 ) ergs/cm2
     
    
    Single BB
     
    Spectral model blackbody:
    ------------------------------------------------------------
    Parameters  : value    Lower 90%  Upper 90%
    kT [keV]    : 9.61500  (  )
    R^2/D10^2   : 0.113172  (   )
    (R is the radius in km and D10 is the distance to the source in units of 10 kpc)
    ------------------------------------------------------------
    #Fit statistic  : Chi-Squared                  176.60     using 59 bins.
     Reduced chi-squared = 
    # Null hypothesis probability of 3.68e-14 with 57 degrees of freedom
     
    Energy  Fluence     90% Error
    [keV]   [erg/cm2]   [erg/cm2]
    15- 25  7.669e-07   5.934e-08
    25- 50  1.802e-06   8.619e-08
    50-150  8.384e-07   1.024e-07
    15-150  3.407e-06   1.534e-07
    
    Thermal bremsstrahlung (OTTB)
     
     
    Spectral model: thermal bremsstrahlung
    ------------------------------------------------------------
    Parameters  : value         Lower 90%    Upper 90%
    kT [keV]    : 57.6360       (-7.23873      8.68922)
    Norm        : 1.17680       (-0.0968148     0.0955108)
    ------------------------------------------------------------
    #Fit statistic  : Chi-Squared                   63.18     using 59 bins.
     Reduced chi-squared = 
    # Null hypothesis probability of 2.67e-01 with 57 degrees of freedom
     
    Energy  Fluence     90% Error
    [keV]   [erg/cm2]   [erg/cm2]
    15- 25  1.073e-06   7.359e-08
    25- 50  1.612e-06   7.176e-08
    50-150  1.774e-06   1.751e-07
    15-150  4.459e-06   2.100e-07
    
    Double BB
     
     
    Spectral model: bbodyrad<1> + bbodyrad<2>
    ------------------------------------------------------------
    Parameters  : value         Lower 90%    Upper 90%
    kT1 [keV]   : 6.35679        (-0.655476      0.661803)
    R1^2/D10^2  : 0.465425        (-0.143462      0.237691)
    kT2 [keV]   : 23.5717        (-3.98073      5.84609)
    R2^2/D10^2  : 2.32817E-03    (-0.00128495   0.00247013)
    ------------------------------------------------------------
    #Fit statistic  : Chi-Squared                   52.90     using 59 bins.
     Reduced chi-squared = 
    # Null hypothesis probability of 5.55e-01 with 55 degrees of freedom
     
    Energy  Fluence     90% Error
    [keV]   [erg/cm2]   [erg/cm2]
    15- 25  1.072e-06   1.150e-07
    25- 50  1.579e-06   1.691e-07
    50-150  2.057e-06   5.602e-07
    15-150  4.707e-06   8.033e-07
    

    Peak spectrum fit

    Power-law model
    Time interval is from  184.120 sec. to  185.120 sec.
     
    Spectral model in power-law:
    ------------------------------------------------------------
    Parameters  : value       lower 90%   higher 90%
    Photon index: 1.77816     ( -0.188559   0.196723 )
    Norm@50keV  : 9.78167E-03    ( -0.00132999   0.00130887 )
    ------------------------------------------------------------
    #Fit statistic  : Chi-Squared                   48.42     using 59 bins.
     Reduced chi-squared = 0.849474
    # Null hypothesis probability of 7.84e-01 with 57 degrees of freedom
     
    Photon flux (15-150 keV)    in 1 sec: 1.33672 ( -0.15652  0.15653 ) ph/cm2/s
    Energy fluence (15-150 keV)             : 9.01467e-08 ( -1.24326e-08  1.26502e-08 ) ergs/cm2
     
    
    Cutoff power-law model
    Time interval is from  184.120 sec. to  185.120 sec.
    Spectral model in the cutoff power-law:
    ------------------------------------------------------------
    Parameters  : value       lower 90%   higher 90%
    Photon index: 0.414605     ( -1.24024   0.925078 )
    Epeak [keV] : 48.9428      ( -8.82353 21.0138 )
    Norm@50keV  : 5.97234E-02    ( -0.0599955   0.262276 )
    ------------------------------------------------------------
    #Fit statistic  : Chi-Squared                   41.38     using 59 bins.
     Reduced chi-squared = 0.738929
    # Null hypothesis probability of 9.28e-01 with 56 degrees of freedom
     
    Photon flux (15-150 keV)    in 1 sec: 1.29350 ( -0.15868  0.15905 ) ph/cm2/s
    Energy fluence (15-150 keV)             : 8.01512e-08 ( -1.30052e-08  1.39467e-08 ) ergs/cm2
     
    
    Band function
    Time interval is from  184.120 sec. to  185.120 sec.
     
     
    Spectral model in the Band function:
    ------------------------------------------------------------
    Parameters  : value       lower 90%   higher 90%
    alpha       :    (     )
    beta        :     (     )
    Epeak [keV] :       (   )
    Norm@50keV   :     (     )
    ------------------------------------------------------------
     
    Photon flux (15-150 keV)    in  sec:  (    ) ph/cm2/s
    Energy fluence (15-150 keV)             : 0 ( 0  0 ) ergs/cm2
     
    
    Single BB
     
    Spectral model blackbody:
    ------------------------------------------------------------
    Parameters  : value    Lower 90%  Upper 90%
    kT [keV]    : 10.9492  (-1.28657  1.48961)
    R^2/D10^2   : 0.477489  (-0.181324   0.281608)
    (R is the radius in km and D10 is the distance to the source in units of 10 kpc)
    ------------------------------------------------------------
    #Fit statistic  : Chi-Squared                   47.33     using 59 bins.
     Reduced chi-squared = 
    # Null hypothesis probability of 8.16e-01 with 57 degrees of freedom
     
    Energy  Fluence     90% Error
    [keV]   [erg/cm2]   [erg/cm2]
    15- 25  1.195e-08   2.360e-09
    25- 50  3.359e-08   4.970e-09
    50-150  2.266e-08   6.045e-09
    15-150  6.820e-08   9.590e-09
    
    Thermal bremsstrahlung (OTTB)
     
     
    Spectral model: thermal bremsstrahlung
    ------------------------------------------------------------
    Parameters  : value         Lower 90%    Upper 90%
    kT [keV]    : 92.9279       (-29.3704      57.2869)
    Norm        : 6.12614       (-0.910551     1.08894)
    ------------------------------------------------------------
    #Fit statistic  : Chi-Squared                   43.76     using 59 bins.
     Reduced chi-squared = 
    # Null hypothesis probability of 9.01e-01 with 57 degrees of freedom
     
    Energy  Fluence     90% Error
    [keV]   [erg/cm2]   [erg/cm2]
    15- 25  1.600e-08   2.870e-09
    25- 50  2.725e-08   4.030e-09
    50-150  4.230e-08   2.102e-08
    15-150  8.555e-08   2.089e-08
    
    Double BB
     
     
    Spectral model: bbodyrad<1> + bbodyrad<2>
    ------------------------------------------------------------
    Parameters  : value         Lower 90%    Upper 90%
    kT1 [keV]   : 8.10692        (-3.26789      2.38923)
    R1^2/D10^2  : 1.05757        (-0.558092      1.83828)
    kT2 [keV]   : 23.0101        (-9.88115      92.9464)
    R2^2/D10^2  : 1.55977E-02    (-0.0154167   0.106203)
    ------------------------------------------------------------
    #Fit statistic  : Chi-Squared                   40.24     using 59 bins.
     Reduced chi-squared = 
    # Null hypothesis probability of 9.32e-01 with 55 degrees of freedom
     
    Energy  Fluence     90% Error
    [keV]   [erg/cm2]   [erg/cm2]
    15- 25  1.419e-08   6.796e-09
    25- 50  3.085e-08   1.516e-08
    50-150  3.835e-08   2.124e-08
    15-150  8.338e-08   4.246e-08
    

    Pre-slew spectrum (Pre-slew PHA with pre-slew DRM)

    Power-law model
     
    Spectral model in power-law:
    ------------------------------------------------------------
    Parameters  : value       lower 90%   higher 90%
    Photon index: 1.56911     ( -0.157855   0.159187 )
    Norm@50keV  : 1.20945E-03    ( -0.000111782   0.000111039 )
    ------------------------------------------------------------
    #Fit statistic  : Chi-Squared                   59.05     using 59 bins.
     Reduced chi-squared = 
    # Null hypothesis probability of 4.01e-01 with 57 degrees of freedom
     
    Photon flux (15-150 keV)    in 136.8 sec: 0.153969 ( -0.0140337  0.0140623 ) ph/cm2/s
    Energy fluence (15-150 keV)             : 1.55346e-06 ( -1.54658e-07  1.55908e-07 ) ergs/cm2
     
    
    Cutoff power-law model
    Spectral model in the cutoff power-law:
    ------------------------------------------------------------
    Parameters  : value       lower 90%   higher 90%
    Photon index: 1.56699     ( -0.616435   0.902297 )
    Epeak [keV] : 10000.00      ( -10000 -10000 )
    Norm@50keV  : 1.21260E-03    ( -0.00011242   0.000107405 )
    ------------------------------------------------------------
    #Fit statistic  : Chi-Squared                   59.04     using 59 bins.
     Reduced chi-squared = 
    # Null hypothesis probability of 3.65e-01 with 56 degrees of freedom
     
    Photon flux (15-150 keV)    in 136.8 sec: 0.153751 ( -0.014378  0.014194 ) ph/cm2/s
    Energy fluence (15-150 keV)             : 1.55714e-06 ( -1.75131e-07  1.51752e-07 ) ergs/cm2
     
    
    Band function
     
     
    Spectral model in the Band function:
    ------------------------------------------------------------
    Parameters  : value       lower 90%   higher 90%
    alpha       :    (     )
    beta        :     (     )
    Epeak [keV] :       (   )
    Norm@50keV   :     (     )
    ------------------------------------------------------------
     
    Photon flux (15-150 keV)    in  sec:  (    ) ph/cm2/s
    Energy fluence (15-150 keV)             : 0 ( 0  0 ) ergs/cm2
     
    

    S(25-50 keV) vs. S(50-100 keV) plot

    S(25-50 keV)  = 1.51e-06
    S(50-100 keV) = 1.37e-06
    

    T90 vs. Hardness ratio plot

    T90                                   = 272.183999896049 sec.
    Hardness ratio (energy fluence ratio) = 0.907285
    

    Color vs. Color plot

    Count Ratio  (25-50 keV) / (15-25 keV) = 0.990798
    Count Ratio (50-100 keV) / (15-25 keV) = 0.449781
    

    Mask shadow pattern

    IMX = 5.166513247353672E-01, IMY = -1.070140368864476E-02
    

    TIME vs. PHA plot around the trigger time

    TIME vs. DetID plot around the trigger time

    100 us light curve (15-350 keV)

    Spacecraft aspect plot

    Bright source in the pre-burst/pre-slew/post-slew images

    Pre-burst image of 15-350 keV band

    Time interval of the image:
    -239.000000 -62.544000
     
    # RAcent  DECcent POSerr Theta    Phi  PeakCts   SNR AngSep     Name
    #  [deg]    [deg]    ['] [deg]  [deg]                   [']
    145.3641  38.9356    2.4  42.4  117.7   6.8603   4.7 ------	UNKNOWN                       
    247.4973  33.4358    2.5  41.5 -102.1   5.3904   4.6 ------	UNKNOWN                       
    

    Pre-slew background subtracted image of 15-350 keV band

    Time interval of the image:
    -62.544000 74.300590
     
    # RAcent  DECcent POSerr Theta    Phi  PeakCts   SNR AngSep     Name
    #  [deg]    [deg]    ['] [deg]  [deg]                   [']
    198.7003   5.0262    0.8  27.3    1.2   2.6131  14.1 ------	UNKNOWN                       
    249.2819  67.4893    2.1  46.0 -151.8   1.7769   5.4 ------	UNKNOWN                       
    

    Post-slew image of 15-350 keV band

    Time interval of the image:
    146.500600 530.188100
    531.000000 963.055100
     
    # RAcent  DECcent POSerr Theta    Phi  PeakCts   SNR AngSep     Name
    #  [deg]    [deg]    ['] [deg]  [deg]                   [']
    164.1195  32.5298    3.2  42.4  117.7  22.4674   3.7 ------	UNKNOWN                       
    186.5460 -44.2251    3.8  50.4   -5.9   5.4272   3.0 ------	UNKNOWN                       
    228.6390 -12.2125    2.7  34.4  -76.9   7.9010   4.2 ------	UNKNOWN                       
    242.8632  12.9359    3.0  44.3 -120.5  17.2613   3.9 ------	UNKNOWN                       
    
    Plot creation:
    Fri Jun 20 01:52:58 EDT 2025