batgrbproduct analysis for trigger=1299967

batgrbproduct Analysis for Trigger=1299967

Analysis Summary

Notes:

======================================================================
                  BAT GRB EVENT DATA PROCESSING REPORT
    Process Script Ver: batgrbproduct v2.48
    Process Start Time (local time): Thu Jun 19 20:58:21 EDT 2025
             Host Name: batproc1
   Current Working Dir: /local/data/bat1/alien/Swift_3rdBATcatalog/event/batevent_reproc/trigger1299967
======================================================================

  Trigger: 01299967      Segment: 000

  BAT Trigger Time: 765088696   [s; MET]
      Trigger Stop: 765088760   [s; MET]
               UTC: 2025-03-31T04:37:40.659100    [includes UTCF correction] 
       Where From?: TDRSS position message

  BAT 
    RA: 80.9933813960858   Dec: 33.0285181956948  [deg; J2000]

     Catalogged Source?: NO
     Point Source?:      YES
     GRB Indicated?:     YES    [ by BAT flight software ]
     Image S/N Ratio:    7.76
     Image Trigger?:     YES
     Rate S/N Ratio:     0  [ if not an image trigger ]
     Image S/N Ratio:    7.76

  Flight Position:   [ source = BAT ]
    RA: 80.9933813960858   Dec: 33.0285181956948  [deg; J2000]

  Ground Position:   [ source = BAT pre-slew burst ]
    RA: 80.9625554085654   Dec: 33.067618777963  [deg; J2000]  
        { 05h 23m 51.0s , +33d 04' 03.4" }
         +/- 2.0215451193458 [arcmin] (estimated 90% radius based on SNR)
         +/- 0.818398764266459 [arcmin] (formal 1-sigma fit error)
    SNR: 11.1282725314239
 
  Angular difference between Flight and Ground position is 2.812008 arcmin
 
  Partial Coding Fraction: 1    [ including projection effects ]

  Duration
     T90: 70.0999999046326 +/- 11.7037917883658
        Measured from: -8.94799995422363
                   to: 61.1519999504089     [s; relative to TRIGTIME]
     T50: 28.567999958992 +/- 8.61611735633901
        Measured from: 6.01199996471405
                   to: 34.5799999237061     [s; relative to TRIGTIME]



  Fluence
     Peak Flux  (peak 1 second)
        Measured from: -3.19200003147125     
                   to: -2.19200003147125     [s; relative to TRIGTIME]
     Total Fluence        
        Measured from: -12.5880000591278     
                   to: 66.6679999828339     [s; relative to TRIGTIME]
     
             Band 1     Band 2     Band 3     Band 4
              15-25      25-50     50-100    100-350     keV
 Total     0.480670   0.496151   0.230079   0.076546
           0.054605   0.056321   0.046933   0.039371 [error]
 Peak      0.016196   0.015308   0.009755   0.013470
           0.006404   0.006578   0.005337   0.004493 [error]

     [ fluence units of on-axis counts / fully illuminated detector ] 

======================================================================
 
=== Fluence/Peak Flux Summary ===
 
              Model    Band1    Band2    Band3    Band4    Band5    Total      
                       15-25    25-50   50-100  100-350   15-150   15-350   keV
Fluence   Power-law 1.32e-07 1.91e-07 2.08e-07 4.21e-07 6.59e-07 9.51e-07   erg/cm2
              Error 2.28e-08 2.41e-08 4.37e-08 1.74e-07 1.02e-07 2.22e-07   erg/cm2
Peak flux Power-law 9.23e-02 1.02e-01 8.11e-02 1.06e-01 3.15e-01 3.82e-01   ph/cm2/s
              Error 8.08e-02 7.65e-02 6.20e-02 1.63e-01 2.29e-01 1.76e-01   ph/cm2/s
 
Fluence   Cutoff-PL 1.25e-07 2.13e-07 1.92e-07 9.35e-08 5.94e-07 6.24e-07   erg/cm2
              Error 2.50e-08 3.71e-08 5.82e-08 2.29e-07 1.22e-07 2.57e-07   erg/cm2
Peak flux Cutoff-PL 9.28e-02 1.03e-01 8.09e-02 1.05e-01 3.18e-01 3.87e-01   ph/cm2/s
              Error -------- 7.60e-02 3.92e-02 1.32e-01 1.44e-01 1.82e-01   ph/cm2/s
 
Fluence        Band -------- -------- -------- -------- -------- --------   erg/cm2
              Error -------- -------- -------- -------- -------- --------   erg/cm2
Peak flux      Band -------- -------- -------- -------- -------- --------   ph/cm2/s
              Error -------- -------- -------- -------- -------- --------   ph/cm2/s
 
=== Time-averaged spectral analysis ===
 
Model Ph_index Ph_90err Epeak  Epeak_90err Norm     Nomr_90err chi2   dof
PL    1.883    0.226    -      -           9.05e-04 1.40e-04   52.730 57
CPL   1.005    1.267      44.8   -5.2      3.05e-03 1.25e-02   50.810 56
 
 
=== 1-s peak spectral analysis ===
 
Model Ph_index Ph_90err Epeak  Epeak_90err Norm     Nomr_90err chi2   dof
PL    1.337    1.027    -      -           2.62e-03 1.18e-03   59.020 57
CPL   3.235    1.117     334.6    0.0      3.39e-04 5.54e-03   58.250 56
 
Model      : spectral model: simple power-law (PL) and cutoff power-law (CPL)
Ph_index   : photon index: E^-{Ph_index} (minus sign is not included in the index)
Ph_90err   : 90% error of the photon index
Epeak      : Epeak in keV
Epeak_90err: 90% error of Epeak
Norm       : normalization at 50 keV in PL model and at 1 keV in CPL model
Nomr_90err : 90% error of the normalization
chi2       : Chi-Squared
dof        : degree of freedom
 
=== T90/T50 calculation in the 50-300 keV band (BATSE band) using 64 ms lc ===
 
T90 in the 50-300 keV band: 57.472000 sec.
T50 in the 50-300 keV band: 25.088000 sec.
 
=== Table of the duration information ==
 
        Value   tstart    tstop
T100   79.256  -12.588   66.668
T90    70.100   -8.948   61.152
T50    28.568    6.012   34.580
Peak    1.000   -3.192   -2.192
  • Click here for the BAT GCN circular template
  • Estimated redshift from machine learning (Ukwatta et al. 2016) - may take a few minute to calcaulte

    Image

    Pre-slew 15.0-350.0 keV image (Event data)

    #   RAcent    DECcent   POSerr    Theta     Phi              Peak Cts       SNR   Name
       80.9626    33.0676   0.0172    13.0893   159.6101         1.3543795     11.128 TRIG_01299967                 
     
    Foreground time interval of the image:
    -12.588  66.668 (delta_t =  79.256 [sec])
    Background time interval of the image:
    -239.000 -12.588 (delta_t = 226.412 [sec])
    

    Lightcurves

    Notes:

    1 s binning

    From T0-310 s to T0+310 s
    From T100_start - 20 s to T100_end + 30 s
    Full time interval

    64 ms binning

    Full time interval
    From T100_start to T100_end
    From T0-5 sec to T0+5 sec

    16 ms binning

    From T100_start-5 s to T100_start+5 s

    8 ms binning

    From T100_start-3 s to T100_start+3 s

    2 ms binning

    From T100_start-1 s to T100_start+1 s

    SN=5 or 10 sec. binning (whichever binning is satisfied first)

    SN=5 or 10 sec. binning (T < 200 sec)

    Quad-rate summed light curves (from T0-300s to T0+1000s)

    Spectral Evolution

    Spectra

    Notes:

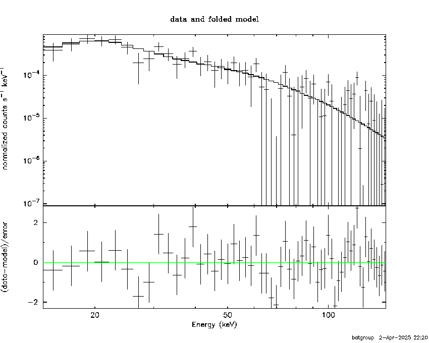
    Time averaged spectrum fit using the average DRM

    Power-law model
    Time interval is from  -12.588 sec. to   66.668 sec.
     
    Spectral model in power-law:
    ------------------------------------------------------------
    Parameters  : value       lower 90%   higher 90%
    Photon index: 1.88284     ( -0.220071   0.232184 )
    Norm@50keV  : 9.04940E-04    ( -0.000141931   0.000138617 )
    ------------------------------------------------------------
    #Fit statistic  : Chi-Squared                   52.73     using 59 bins.
     Reduced chi-squared = 0.925088
    # Null hypothesis probability of 6.36e-01 with 57 degrees of freedom
     
    Photon flux (15-150 keV)    in 79.26 sec: 0.128941 ( -0.01613  0.01613 ) ph/cm2/s
    Energy fluence (15-150 keV)             : 6.59484e-07 ( -1.00622e-07  1.03269e-07 ) ergs/cm2
     
    
    Cutoff power-law model
    Time interval is from  -12.588 sec. to   66.668 sec.
    Spectral model in the cutoff power-law:
    ------------------------------------------------------------
    Parameters  : value       lower 90%   higher 90%
    Photon index: 1.00506     ( -1.48801   1.04628 )
    Epeak [keV] : 44.7916      ( -34.4263 -44.7862 )
    Norm@50keV  : 3.04793E-03    ( -0.00305051   0.0219488 )
    ------------------------------------------------------------
    #Fit statistic  : Chi-Squared                   50.81     using 59 bins.
     Reduced chi-squared = 0.907321
    # Null hypothesis probability of 6.71e-01 with 56 degrees of freedom
     
    Photon flux (15-150 keV)    in 79.26 sec: 0.125337 ( -0.016712  0.016736 ) ph/cm2/s
    Energy fluence (15-150 keV)             : 5.93532e-07 ( -1.14853e-07  1.29394e-07 ) ergs/cm2
     
    
    Band function
    Time interval is from  -12.588 sec. to   66.668 sec.
     
     
    Spectral model in the Band function:
    ------------------------------------------------------------
    Parameters  : value       lower 90%   higher 90%
    alpha       :    (     )
    beta        :     (     )
    Epeak [keV] :       (   )
    Norm@50keV   :     (     )
    ------------------------------------------------------------
     
    Photon flux (15-150 keV)    in  sec:  (    ) ph/cm2/s
    Energy fluence (15-150 keV)             : 0 ( 0  0 ) ergs/cm2
     
    
    Single BB
     
    Spectral model blackbody:
    ------------------------------------------------------------
    Parameters  : value    Lower 90%  Upper 90%
    kT [keV]    : 9.84750  (-1.26837  1.47637)
    R^2/D10^2   : 6.59792E-02  (-0.0273094   0.0454986)
    (R is the radius in km and D10 is the distance to the source in units of 10 kpc)
    ------------------------------------------------------------
    #Fit statistic  : Chi-Squared                   57.47     using 59 bins.
     Reduced chi-squared = 
    # Null hypothesis probability of 4.58e-01 with 57 degrees of freedom
     
    Energy  Fluence     90% Error
    [keV]   [erg/cm2]   [erg/cm2]
    15- 25  1.027e-07   2.131e-08
    25- 50  2.499e-07   3.911e-08
    50-150  1.247e-07   4.376e-08
    15-150  4.773e-07   7.169e-08
    
    Thermal bremsstrahlung (OTTB)
     
     
    Spectral model: thermal bremsstrahlung
    ------------------------------------------------------------
    Parameters  : value         Lower 90%    Upper 90%
    kT [keV]    : 74.6017       (-24.9968      49.7091)
    Norm        : 0.624984       (-0.110439     0.136151)
    ------------------------------------------------------------
    #Fit statistic  : Chi-Squared                   50.94     using 59 bins.
     Reduced chi-squared = 
    # Null hypothesis probability of 7.01e-01 with 57 degrees of freedom
     
    Energy  Fluence     90% Error
    [keV]   [erg/cm2]   [erg/cm2]
    15- 25  1.279e-07   2.291e-08
    25- 50  2.069e-07   2.952e-08
    50-150  2.783e-07   1.289e-07
    15-150  6.130e-07   1.364e-07
    
    Double BB
     
     
    Spectral model: bbodyrad<1> + bbodyrad<2>
    ------------------------------------------------------------
    Parameters  : value         Lower 90%    Upper 90%
    kT1 [keV]   : 8.20606        (-3.88154      1.6566)
    R1^2/D10^2  : 0.115708        (-0.0558766      0.0818694)
    kT2 [keV]   : 44.4089        (-35.7731      -48.3357)
    R2^2/D10^2  : 1.71087E-04    (-0.000131143   0.0209082)
    ------------------------------------------------------------
    #Fit statistic  : Chi-Squared                   49.55     using 59 bins.
     Reduced chi-squared = 
    # Null hypothesis probability of 6.82e-01 with 55 degrees of freedom
     
    Energy  Fluence     90% Error
    [keV]   [erg/cm2]   [erg/cm2]
    15- 25  1.169e-07   4.585e-08
    25- 50  2.304e-07   8.065e-08
    50-150  3.017e-07   1.569e-07
    15-150  6.490e-07   2.298e-07
    

    Peak spectrum fit

    Power-law model
    Time interval is from   -3.192 sec. to   -2.192 sec.
     
    Spectral model in power-law:
    ------------------------------------------------------------
    Parameters  : value       lower 90%   higher 90%
    Photon index: 1.33702     ( -1.06244   0.990949 )
    Norm@50keV  : 2.62305E-03    ( -0.00121554   0.00114955 )
    ------------------------------------------------------------
    #Fit statistic  : Chi-Squared                   59.02     using 59 bins.
     Reduced chi-squared = 1.03544
    # Null hypothesis probability of 4.02e-01 with 57 degrees of freedom
     
    Photon flux (15-150 keV)    in 1 sec: 0.315141 ( -0.315141  0.143784 ) ph/cm2/s
    Energy fluence (15-150 keV)             : 2.57022e-08 ( -1.27062e-08  1.29648e-08 ) ergs/cm2
     
    
    Cutoff power-law model
    Time interval is from   -3.192 sec. to   -2.192 sec.
    Spectral model in the cutoff power-law:
    ------------------------------------------------------------
    Parameters  : value       lower 90%   higher 90%
    Photon index: 3.23474     ( -1.27004   0.964562 )
    Epeak [keV] : 334.556      ( -9999.36 -9999.36 )
    Norm@50keV  : 3.39468E-04    ( -0.000339367   0.0107487 )
    ------------------------------------------------------------
    #Fit statistic  : Chi-Squared                   58.25     using 59 bins.
     Reduced chi-squared = 1.04018
    # Null hypothesis probability of 3.92e-01 with 56 degrees of freedom
     
    Photon flux (15-150 keV)    in 1 sec: 0.317909 ( -0.145771  0.143134 ) ph/cm2/s
    Energy fluence (15-150 keV)             : 2.54466e-08 ( -1.26106e-08  1.33604e-08 ) ergs/cm2
     
    
    Band function
    Time interval is from   -3.192 sec. to   -2.192 sec.
     
     
    Spectral model in the Band function:
    ------------------------------------------------------------
    Parameters  : value       lower 90%   higher 90%
    alpha       :    (     )
    beta        :     (     )
    Epeak [keV] :       (   )
    Norm@50keV   :     (     )
    ------------------------------------------------------------
     
    Photon flux (15-150 keV)    in  sec:  (    ) ph/cm2/s
    Energy fluence (15-150 keV)             : 0 ( 0  0 ) ergs/cm2
     
    
    Single BB
     
    Spectral model blackbody:
    ------------------------------------------------------------
    Parameters  : value    Lower 90%  Upper 90%
    kT [keV]    : 29.0112  (-29.1155  99.208)
    R^2/D10^2   : 4.10646E-03  (-0.00405324   1.03968)
    (R is the radius in km and D10 is the distance to the source in units of 10 kpc)
    ------------------------------------------------------------
    #Fit statistic  : Chi-Squared                   62.02     using 59 bins.
     Reduced chi-squared = 
    # Null hypothesis probability of 3.02e-01 with 57 degrees of freedom
     
    Energy  Fluence     90% Error
    [keV]   [erg/cm2]   [erg/cm2]
    15- 25  3.267e-09   2.277e-09
    25- 50  6.338e-09   4.361e-09
    50-150  2.026e-09   1.713e-09
    15-150  1.163e-08   8.620e-09
    
    Thermal bremsstrahlung (OTTB)
     
     
    Spectral model: thermal bremsstrahlung
    ------------------------------------------------------------
    Parameters  : value         Lower 90%    Upper 90%
    kT [keV]    : 199.361       (-199.362      -199.362)
    Norm        : 1.29388       (-0.576632     0.576619)
    ------------------------------------------------------------
    #Fit statistic  : Chi-Squared                   59.56     using 59 bins.
     Reduced chi-squared = 
    # Null hypothesis probability of 3.82e-01 with 57 degrees of freedom
     
    Energy  Fluence     90% Error
    [keV]   [erg/cm2]   [erg/cm2]
    15- 25  3.222e-09   2.156e-09
    25- 50  6.198e-09   3.997e-09
    50-150  1.359e-08   8.535e-09
    15-150  2.301e-08   1.475e-08
    
    Double BB
     
     
    Spectral model: bbodyrad<1> + bbodyrad<2>
    ------------------------------------------------------------
    Parameters  : value         Lower 90%    Upper 90%
    kT1 [keV]   : 5.59469        (-3.48537      5.49193)
    R1^2/D10^2  : 0.986943        (-0.925507      126.597)
    kT2 [keV]   : 46.8052        (-46.9862      -46.9864)
    R2^2/D10^2  : 9.82294E-04    (-0.000941269   0.00276273)
    ------------------------------------------------------------
    #Fit statistic  : Chi-Squared                   57.21     using 59 bins.
     Reduced chi-squared = 
    # Null hypothesis probability of 3.93e-01 with 55 degrees of freedom
     
    Energy  Fluence     90% Error
    [keV]   [erg/cm2]   [erg/cm2]
    15- 25  3.933e-09   2.491e-09
    25- 50  4.903e-09   2.971e-09
    50-150  2.032e-08   1.265e-08
    15-150  2.915e-08   1.495e-08
    

    Pre-slew spectrum (Pre-slew PHA with pre-slew DRM)

    Power-law model
     
    Spectral model in power-law:
    ------------------------------------------------------------
    Parameters  : value       lower 90%   higher 90%
    Photon index: 1.88284     ( -0.220071   0.232184 )
    Norm@50keV  : 9.04940E-04    ( -0.000141931   0.000138617 )
    ------------------------------------------------------------
    #Fit statistic  : Chi-Squared                   52.73     using 59 bins.
     Reduced chi-squared = 
    # Null hypothesis probability of 6.36e-01 with 57 degrees of freedom
     
    Photon flux (15-150 keV)    in 79.26 sec: 0.128933 ( -0.016129  0.0161292 ) ph/cm2/s
    Energy fluence (15-150 keV)             : 6.5937e-07 ( -1.00549e-07  1.03304e-07 ) ergs/cm2
     
    
    Cutoff power-law model
    Spectral model in the cutoff power-law:
    ------------------------------------------------------------
    Parameters  : value       lower 90%   higher 90%
    Photon index: 1.00849     ( -1.48955   1.04479 )
    Epeak [keV] : 44.8279      ( -17.0173 -44.7934 )
    Norm@50keV  : 3.03280E-03    ( -0.00304917   0.0219515 )
    ------------------------------------------------------------
    #Fit statistic  : Chi-Squared                   50.81     using 59 bins.
     Reduced chi-squared = 
    # Null hypothesis probability of 6.71e-01 with 56 degrees of freedom
     
    Photon flux (15-150 keV)    in 79.26 sec: 0.125313 ( -0.016706  0.016731 ) ph/cm2/s
    Energy fluence (15-150 keV)             : 5.93657e-07 ( -1.14903e-07  1.29497e-07 ) ergs/cm2
     
    
    Band function
     
     
    Spectral model in the Band function:
    ------------------------------------------------------------
    Parameters  : value       lower 90%   higher 90%
    alpha       :    (     )
    beta        :     (     )
    Epeak [keV] :       (   )
    Norm@50keV   :     (     )
    ------------------------------------------------------------
     
    Photon flux (15-150 keV)    in  sec:  (    ) ph/cm2/s
    Energy fluence (15-150 keV)             : 0 ( 0  0 ) ergs/cm2
     
    

    S(25-50 keV) vs. S(50-100 keV) plot

    S(25-50 keV)  = 1.91e-07
    S(50-100 keV) = 2.08e-07
    

    T90 vs. Hardness ratio plot

    T90                                   = 70.0999999046326 sec.
    Hardness ratio (energy fluence ratio) = 1.08901
    

    Color vs. Color plot

    Count Ratio  (25-50 keV) / (15-25 keV) = 1.03221
    Count Ratio (50-100 keV) / (15-25 keV) = 0.478663
    

    Mask shadow pattern

    IMX = -2.179413595156088E-01, IMY = -8.100799413055473E-02
    

    TIME vs. PHA plot around the trigger time

    TIME vs. DetID plot around the trigger time

    100 us light curve (15-350 keV)

    Spacecraft aspect plot

    Bright source in the pre-burst/pre-slew/post-slew images

    Pre-burst image of 15-350 keV band

    Time interval of the image:
    -239.000000 -12.588000
     
    # RAcent  DECcent POSerr Theta    Phi  PeakCts   SNR AngSep     Name
    #  [deg]    [deg]    ['] [deg]  [deg]                   [']
     83.6417  22.0190    0.5  24.0  168.7   9.1390  24.5    0.5	Crab                          
    332.2933  59.2657    2.9  57.5  -19.1   5.3423   3.9 ------	UNKNOWN                       
     47.1085   2.3827    2.4  46.7 -128.0   7.5763   4.9 ------	UNKNOWN                       
    

    Pre-slew background subtracted image of 15-350 keV band

    Time interval of the image:
    -12.588000 66.668000
     
    # RAcent  DECcent POSerr Theta    Phi  PeakCts   SNR AngSep     Name
    #  [deg]    [deg]    ['] [deg]  [deg]                   [']
     83.7659  22.0697    5.8  24.0  168.4  -0.2638  -2.0    8.1	Crab                          
     80.9625  33.0676    1.0  13.1  159.6   1.3544  11.1 ------	UNKNOWN                       
     80.2457  14.5385    2.0  30.2 -179.6   0.7666   5.7 ------	UNKNOWN                       
    

    Post-slew image of 15-350 keV band

    Time interval of the image:
    118.900600 963.071500
     
    # RAcent  DECcent POSerr Theta    Phi  PeakCts   SNR AngSep     Name
    #  [deg]    [deg]    ['] [deg]  [deg]                   [']
     83.6335  22.0215    0.4  11.3  174.4  33.3754  28.8    0.4	Crab                          
    131.1265  56.1845    2.6  41.2   47.5  13.0586   4.4 ------	UNKNOWN                       
    118.9458  82.1085    2.4  50.9   13.3  10.8931   4.7 ------	UNKNOWN                       
    
    Plot creation:
    Fri Jun 20 01:43:28 EDT 2025