batgrbproduct analysis for trigger=1306404

batgrbproduct Analysis for Trigger=1306404

Analysis Summary

Notes:

======================================================================
                  BAT GRB EVENT DATA PROCESSING REPORT
    Process Script Ver: batgrbproduct v2.48
    Process Start Time (local time): Fri Jun 20 15:51:11 EDT 2025
             Host Name: batproc1
   Current Working Dir: /local/data/bat1/alien/Swift_3rdBATcatalog/event/batevent_reproc/trigger1306404
======================================================================

  Trigger: 01306404      Segment: 000

  BAT Trigger Time: 767170384   [s; MET]
      Trigger Stop: 767170448   [s; MET]
               UTC: 2025-04-24T06:52:28.516940    [includes UTCF correction] 
       Where From?: TDRSS position message

  BAT 
    RA: 217.513592266472   Dec: -35.0222873990142  [deg; J2000]

     Catalogged Source?: NO
     Point Source?:      YES
     GRB Indicated?:     YES    [ by BAT flight software ]
     Image S/N Ratio:    14.17
     Image Trigger?:     YES
     Rate S/N Ratio:     0  [ if not an image trigger ]
     Image S/N Ratio:    14.17

  Flight Position:   [ source = BAT ]
    RA: 217.513592266472   Dec: -35.0222873990142  [deg; J2000]

  Ground Position:   [ source = BAT pre-slew burst ]
    RA: 217.531552974274   Dec: -35.0245010895264  [deg; J2000]  
        { 14h 30m 07.6s , -35d 01' 28.2" }
         +/- 0.667990937412273 [arcmin] (estimated 90% radius based on SNR)
         +/- 0.220899800437151 [arcmin] (formal 1-sigma fit error)
    SNR: 54.131010751964
 
  Angular difference between Flight and Ground position is 0.892440 arcmin
 
  Partial Coding Fraction: 0.390625    [ including projection effects ]

  Duration
     T90: 18.6319999694824 +/- 0.701313021787571
        Measured from: -20.7480000257492
                   to: -2.11600005626678     [s; relative to TRIGTIME]
     T50: 5.69999992847443 +/- 0.100239706524167
        Measured from: -16.3559999465942
                   to: -10.6560000181198     [s; relative to TRIGTIME]



  Fluence
     Peak Flux  (peak 1 second)
        Measured from: -14.8480000495911     
                   to: -13.8480000495911     [s; relative to TRIGTIME]
     Total Fluence        
        Measured from: -38.7480000257492     
                   to: 17.1799999475479     [s; relative to TRIGTIME]
     
             Band 1     Band 2     Band 3     Band 4
              15-25      25-50     50-100    100-350     keV
 Total    15.292534  20.314875  13.331309   3.014382
           0.123744   0.137067   0.115034   0.075013 [error]
 Peak      1.414490   2.038607   1.505365   0.375172
           0.031636   0.037274   0.033180   0.019275 [error]

     [ fluence units of on-axis counts / fully illuminated detector ] 

======================================================================
 
=== Fluence/Peak Flux Summary ===
 
              Model    Band1    Band2    Band3    Band4    Band5    Total      
                       15-25    25-50   50-100  100-350   15-150   15-350   keV
Fluence   Power-law 5.87e-06 9.06e-06 1.05e-05 2.32e-05 3.23e-05 4.87e-05   erg/cm2
              Error 1.84e-07 1.67e-07 1.57e-07 8.06e-07 4.51e-07 8.52e-07   erg/cm2
Peak flux Power-law 1.66e+01 1.58e+01 1.05e+01 1.08e+01 4.72e+01 5.36e+01   ph/cm2/s
              Error 7.89e-01 4.51e-01 2.92e-01 6.38e-01 1.28e+00 1.30e+00   ph/cm2/s
 
Fluence   Cutoff-PL 5.52e-06 9.12e-06 1.07e-05 1.88e-05 3.19e-05 4.41e-05   erg/cm2
              Error 2.53e-07 1.70e-07 1.96e-07 1.98e-06 4.86e-07 2.06e-06   erg/cm2
Peak flux Cutoff-PL 1.55e+01 1.60e+01 1.08e+01 8.53e+00 4.63e+01 5.07e+01   ph/cm2/s
              Error 1.03e+00 4.76e-01 3.56e-01 1.35e+00 1.39e+00 2.06e+00   ph/cm2/s
 
Fluence        Band -------- -------- -------- -------- -------- --------   erg/cm2
              Error -------- -------- -------- -------- -------- --------   erg/cm2
Peak flux      Band -------- -------- -------- -------- -------- --------   ph/cm2/s
              Error -------- -------- -------- -------- -------- --------   ph/cm2/s
 
=== Time-averaged spectral analysis ===
 
Model Ph_index Ph_90err Epeak  Epeak_90err Norm     Nomr_90err chi2   dof
PL    1.792    0.026    -      -           6.27e-02 8.88e-04   46.920 57
CPL   1.582    0.107     120.4   39.6      7.66e-02 7.62e-03   35.200 56
 
 
=== 1-s peak spectral analysis ===
 
Model Ph_index Ph_90err Epeak  Epeak_90err Norm     Nomr_90err chi2   dof
PL    1.593    0.043    -      -           3.68e-01 8.80e-03   53.860 57
CPL   1.336    0.175     145.3  101.5      4.81e-01 8.63e-02   47.260 56
 
Model      : spectral model: simple power-law (PL) and cutoff power-law (CPL)
Ph_index   : photon index: E^-{Ph_index} (minus sign is not included in the index)
Ph_90err   : 90% error of the photon index
Epeak      : Epeak in keV
Epeak_90err: 90% error of Epeak
Norm       : normalization at 50 keV in PL model and at 1 keV in CPL model
Nomr_90err : 90% error of the normalization
chi2       : Chi-Squared
dof        : degree of freedom
 
=== T90/T50 calculation in the 50-300 keV band (BATSE band) using 64 ms lc ===
 
T90 in the 50-300 keV band: 15.680000 sec.
T50 in the 50-300 keV band: 4.864000 sec.
 
=== Table of the duration information ==
 
        Value   tstart    tstop
T100   55.928  -38.748   17.180
T90    18.632  -20.748   -2.116
T50     5.700  -16.356  -10.656
Peak    1.000  -14.848  -13.848
  • Click here for the BAT GCN circular template
  • Estimated redshift from machine learning (Ukwatta et al. 2016) - may take a few minute to calcaulte
  • Special notes of this burst

    Image

    Pre-slew 15.0-350.0 keV image (Event data)

    #   RAcent    DECcent   POSerr    Theta     Phi              Peak Cts       SNR   Name
      217.5316   -35.0245   0.0036    35.1958   149.8799        46.4252733     54.131 TRIG_01306404                 
     
    Foreground time interval of the image:
    -18.299  17.180 (delta_t =  35.479 [sec])
    Background time interval of the image:
    

    Lightcurves

    Notes:

    1 s binning

    From T0-310 s to T0+310 s
    From T100_start - 20 s to T100_end + 30 s
    Full time interval

    64 ms binning

    Full time interval
    From T100_start to T100_end
    From T0-5 sec to T0+5 sec

    16 ms binning

    From T100_start-5 s to T100_start+5 s

    8 ms binning

    From T100_start-3 s to T100_start+3 s

    2 ms binning

    From T100_start-1 s to T100_start+1 s

    SN=5 or 10 sec. binning (whichever binning is satisfied first)

    SN=5 or 10 sec. binning (T < 200 sec)

    Quad-rate summed light curves (from T0-300s to T0+1000s)

    Spectral Evolution

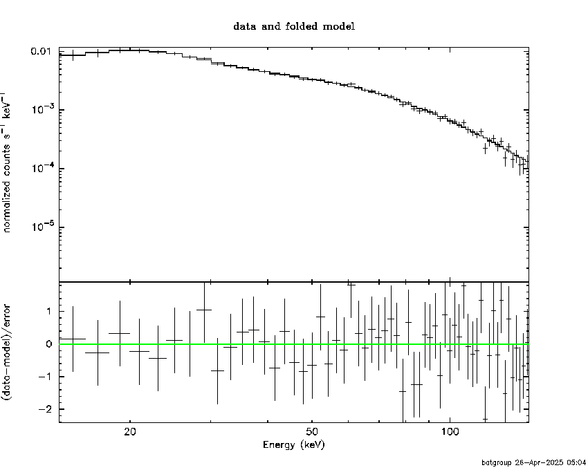
    Spectra

    Notes:

    Time averaged spectrum fit using the average DRM

    Power-law model
    Time interval is from  -38.748 sec. to   17.180 sec.
     
    Spectral model in power-law:
    ------------------------------------------------------------
    Parameters  : value       lower 90%   higher 90%
    Photon index: 1.79196     ( -0.0261281   0.026077 )
    Norm@50keV  : 6.27219E-02    ( -0.000888702   0.000888027 )
    ------------------------------------------------------------
    #Fit statistic  : Chi-Squared                   46.92     using 59 bins.
     Reduced chi-squared = 0.823158
    # Null hypothesis probability of 8.27e-01 with 57 degrees of freedom
     
    Photon flux (15-150 keV)    in 55.93 sec: 8.61658 ( -0.16487  0.1658 ) ph/cm2/s
    Energy fluence (15-150 keV)             : 3.23099e-05 ( -4.51403e-07  4.50958e-07 ) ergs/cm2
     
    
    Cutoff power-law model
    Time interval is from  -38.748 sec. to   17.180 sec.
    Spectral model in the cutoff power-law:
    ------------------------------------------------------------
    Parameters  : value       lower 90%   higher 90%
    Photon index: 1.58195     ( -0.107817   0.105482 )
    Epeak [keV] : 120.423      ( -21.1721 58.0853 )
    Norm@50keV  : 7.66407E-02    ( -0.0071748   0.00807418 )
    ------------------------------------------------------------
    #Fit statistic  : Chi-Squared                   35.20     using 59 bins.
     Reduced chi-squared = 0.628571
    # Null hypothesis probability of 9.87e-01 with 56 degrees of freedom
     
    Photon flux (15-150 keV)    in 55.93 sec: 8.40543 ( -0.19111  0.19283 ) ph/cm2/s
    Energy fluence (15-150 keV)             : 3.19312e-05 ( -4.85931e-07  4.85985e-07 ) ergs/cm2
     
    
    Band function
    Time interval is from  -38.748 sec. to   17.180 sec.
     
     
    Spectral model in the Band function:
    ------------------------------------------------------------
    Parameters  : value       lower 90%   higher 90%
    alpha       :    (     )
    beta        :     (     )
    Epeak [keV] :       (   )
    Norm@50keV   :     (     )
    ------------------------------------------------------------
     
    Photon flux (15-150 keV)    in  sec:  (    ) ph/cm2/s
    Energy fluence (15-150 keV)             : 0 ( 0  0 ) ergs/cm2
     
    
    Single BB
     
    Spectral model blackbody:
    ------------------------------------------------------------
    Parameters  : value    Lower 90%  Upper 90%
    kT [keV]    : 17.2809  (  )
    R^2/D10^2   : 0.496313  (   )
    (R is the radius in km and D10 is the distance to the source in units of 10 kpc)
    ------------------------------------------------------------
    #Fit statistic  : Chi-Squared                 1285.64     using 59 bins.
     Reduced chi-squared = 
    # Null hypothesis probability of 2.04e-231 with 57 degrees of freedom
     
    Energy  Fluence     90% Error
    [keV]   [erg/cm2]   [erg/cm2]
    15- 25  1.680e-06   5.174e-08
    25- 50  7.533e-06   1.566e-07
    50-150  1.614e-05   3.328e-07
    15-150  2.536e-05   3.580e-07
    
    Thermal bremsstrahlung (OTTB)
     
     
    Spectral model: thermal bremsstrahlung
    ------------------------------------------------------------
    Parameters  : value         Lower 90%    Upper 90%
    kT [keV]    : 139.624       (-7.76834      8.68669)
    Norm        : 34.1719       (-0.768051     0.785939)
    ------------------------------------------------------------
    #Fit statistic  : Chi-Squared                   54.11     using 59 bins.
     Reduced chi-squared = 
    # Null hypothesis probability of 5.84e-01 with 57 degrees of freedom
     
    Energy  Fluence     90% Error
    [keV]   [erg/cm2]   [erg/cm2]
    15- 25  4.808e-06   2.044e-07
    25- 50  8.896e-06   3.132e-07
    50-150  1.747e-05   3.132e-06
    15-150  3.117e-05   3.255e-06
    
    Double BB
     
     
    Spectral model: bbodyrad<1> + bbodyrad<2>
    ------------------------------------------------------------
    Parameters  : value         Lower 90%    Upper 90%
    kT1 [keV]   : 7.85979        (-0.358529      0.369845)
    R1^2/D10^2  : 6.43487        (-1.00155      1.23145)
    kT2 [keV]   : 28.0665        (-1.23754      1.4043)
    R2^2/D10^2  : 6.39106E-02    (-0.0110388   0.0124231)
    ------------------------------------------------------------
    #Fit statistic  : Chi-Squared                   40.77     using 59 bins.
     Reduced chi-squared = 
    # Null hypothesis probability of 9.24e-01 with 55 degrees of freedom
     
    Energy  Fluence     90% Error
    [keV]   [erg/cm2]   [erg/cm2]
    15- 25  4.425e-06   2.332e-07
    25- 50  9.480e-06   2.377e-07
    50-150  1.732e-05   3.859e-07
    15-150  3.122e-05   5.677e-07
    

    Peak spectrum fit

    Power-law model
    Time interval is from  -14.848 sec. to  -13.848 sec.
     
    Spectral model in power-law:
    ------------------------------------------------------------
    Parameters  : value       lower 90%   higher 90%
    Photon index: 1.59326     ( -0.0432128   0.0432992 )
    Norm@50keV  : 0.368045    ( -0.00880303   0.00880298 )
    ------------------------------------------------------------
    #Fit statistic  : Chi-Squared                   53.86     using 59 bins.
     Reduced chi-squared = 0.944912
    # Null hypothesis probability of 5.94e-01 with 57 degrees of freedom
     
    Photon flux (15-150 keV)    in 1 sec: 47.1989 ( -1.2809  1.2848 ) ph/cm2/s
    Energy fluence (15-150 keV)             : 3.44532e-06 ( -8.46954e-08  8.48043e-08 ) ergs/cm2
     
    
    Cutoff power-law model
    Time interval is from  -14.848 sec. to  -13.848 sec.
    Spectral model in the cutoff power-law:
    ------------------------------------------------------------
    Parameters  : value       lower 90%   higher 90%
    Photon index: 1.33641     ( -0.178367   0.171891 )
    Epeak [keV] : 145.293      ( -37.3812 165.704 )
    Norm@50keV  : 0.480995    ( -0.0770832   0.0956127 )
    ------------------------------------------------------------
    #Fit statistic  : Chi-Squared                   47.26     using 59 bins.
     Reduced chi-squared = 0.843929
    # Null hypothesis probability of 7.91e-01 with 56 degrees of freedom
     
    Photon flux (15-150 keV)    in 1 sec: 46.3475 ( -1.3835  1.3906 ) ph/cm2/s
    Energy fluence (15-150 keV)             : 3.4033e-06 ( -8.97006e-08  8.95505e-08 ) ergs/cm2
     
    
    Band function
    Time interval is from  -14.848 sec. to  -13.848 sec.
     
     
    Spectral model in the Band function:
    ------------------------------------------------------------
    Parameters  : value       lower 90%   higher 90%
    alpha       :    (     )
    beta        :     (     )
    Epeak [keV] :       (   )
    Norm@50keV   :     (     )
    ------------------------------------------------------------
     
    Photon flux (15-150 keV)    in  sec:  (    ) ph/cm2/s
    Energy fluence (15-150 keV)             : 0 ( 0  0 ) ergs/cm2
     
    
    Single BB
     
    Spectral model blackbody:
    ------------------------------------------------------------
    Parameters  : value    Lower 90%  Upper 90%
    kT [keV]    : 16.2424  (  )
    R^2/D10^2   : 3.86681  (   )
    (R is the radius in km and D10 is the distance to the source in units of 10 kpc)
    ------------------------------------------------------------
    #Fit statistic  : Chi-Squared                  436.83     using 59 bins.
     Reduced chi-squared = 
    # Null hypothesis probability of 5.94e-60 with 57 degrees of freedom
     
    Energy  Fluence     90% Error
    [keV]   [erg/cm2]   [erg/cm2]
    15- 25  2.102e-07   1.055e-08
    25- 50  8.959e-07   3.100e-08
    50-150  1.661e-06   7.600e-08
    15-150  2.767e-06   7.350e-08
    
    Thermal bremsstrahlung (OTTB)
     
     
    Spectral model: thermal bremsstrahlung
    ------------------------------------------------------------
    Parameters  : value         Lower 90%    Upper 90%
    kT [keV]    : 200.000       (-20.1945      -200)
    Norm        : 190.183       (-4.54548     4.54548)
    ------------------------------------------------------------
    #Fit statistic  : Chi-Squared                   47.52     using 59 bins.
     Reduced chi-squared = 
    # Null hypothesis probability of 8.10e-01 with 57 degrees of freedom
     
    Energy  Fluence     90% Error
    [keV]   [erg/cm2]   [erg/cm2]
    15- 25  4.737e-07   1.285e-08
    25- 50  9.113e-07   2.650e-08
    50-150  1.999e-06   5.550e-08
    15-150  3.384e-06   8.750e-08
    
    Double BB
     
     
    Spectral model: bbodyrad<1> + bbodyrad<2>
    ------------------------------------------------------------
    Parameters  : value         Lower 90%    Upper 90%
    kT1 [keV]   : 8.37215        (-0.689599      0.715508)
    R1^2/D10^2  : 27.2591        (-6.29782      8.93882)
    kT2 [keV]   : 30.5935        (-2.8853      3.80274)
    R2^2/D10^2  : 0.307629    (-0.105438   0.13762)
    ------------------------------------------------------------
    #Fit statistic  : Chi-Squared                   53.11     using 59 bins.
     Reduced chi-squared = 
    # Null hypothesis probability of 5.47e-01 with 55 degrees of freedom
     
    Energy  Fluence     90% Error
    [keV]   [erg/cm2]   [erg/cm2]
    15- 25  4.011e-07   3.115e-08
    25- 50  9.511e-07   4.460e-08
    50-150  2.020e-06   1.305e-07
    15-150  3.373e-06   1.655e-07
    

    Pre-slew spectrum (Pre-slew PHA with pre-slew DRM)

    Power-law model
     
    Spectral model in power-law:
    ------------------------------------------------------------
    Parameters  : value       lower 90%   higher 90%
    Photon index: 1.78560     ( -0.0259699   0.0259189 )
    Norm@50keV  : 8.73449E-02    ( -0.00123877   0.00123781 )
    ------------------------------------------------------------
    #Fit statistic  : Chi-Squared                   44.00     using 59 bins.
     Reduced chi-squared = 
    # Null hypothesis probability of 8.96e-01 with 57 degrees of freedom
     
    Photon flux (15-150 keV)    in 35.48 sec: 11.9694 ( -0.228668  0.229873 ) ph/cm2/s
    Energy fluence (15-150 keV)             : 2.85454e-05 ( -3.98348e-07  3.98437e-07 ) ergs/cm2
     
    
    Cutoff power-law model
    Spectral model in the cutoff power-law:
    ------------------------------------------------------------
    Parameters  : value       lower 90%   higher 90%
    Photon index: 1.58118     ( -0.10758   0.105313 )
    Epeak [keV] : 124.137      ( -22.6946 64.5833 )
    Norm@50keV  : 0.106162    ( -0.00992592   0.0111662 )
    ------------------------------------------------------------
    #Fit statistic  : Chi-Squared                   32.88     using 59 bins.
     Reduced chi-squared = 
    # Null hypothesis probability of 9.94e-01 with 56 degrees of freedom
     
    Photon flux (15-150 keV)    in 35.48 sec: 11.6861 ( -0.2641  0.2664 ) ph/cm2/s
    Energy fluence (15-150 keV)             : 2.82439e-05 ( -4.27286e-07  4.27569e-07 ) ergs/cm2
     
    
    Band function
     
     
    Spectral model in the Band function:
    ------------------------------------------------------------
    Parameters  : value       lower 90%   higher 90%
    alpha       :    (     )
    beta        :     (     )
    Epeak [keV] :       (   )
    Norm@50keV   :     (     )
    ------------------------------------------------------------
     
    Photon flux (15-150 keV)    in  sec:  (    ) ph/cm2/s
    Energy fluence (15-150 keV)             : 0 ( 0  0 ) ergs/cm2
     
    

    S(25-50 keV) vs. S(50-100 keV) plot

    S(25-50 keV)  = 9.06e-06
    S(50-100 keV) = 1.05e-05
    

    T90 vs. Hardness ratio plot

    T90                                   = 18.6319999694824 sec.
    Hardness ratio (energy fluence ratio) = 1.15894
    

    Color vs. Color plot

    Count Ratio  (25-50 keV) / (15-25 keV) = 1.32842
    Count Ratio (50-100 keV) / (15-25 keV) = 0.871753
    

    Mask shadow pattern

    IMX = -6.100782391142655E-01, IMY = -3.539359563803673E-01
    

    TIME vs. PHA plot around the trigger time

    TIME vs. DetID plot around the trigger time

    100 us light curve (15-350 keV)

    Spacecraft aspect plot

    Bright source in the pre-burst/pre-slew/post-slew images

    Pre-burst image of 15-350 keV band

    Time interval of the image:
     
    

    Pre-slew background subtracted image of 15-350 keV band

    Time interval of the image:
    -18.299400 17.180000
     
    # RAcent  DECcent POSerr Theta    Phi  PeakCts   SNR AngSep     Name
    #  [deg]    [deg]    ['] [deg]  [deg]                   [']
    170.0569 -60.6573   11.5  40.4 -143.7  -0.7270  -1.0    7.9	Cen X-3                       
    186.6331 -62.7777   17.1  42.1 -155.8   0.4391   0.7    0.8	GX 301-2                      
    217.5316 -35.0245    0.2  35.2  149.9  46.4275  54.1 ------	UNKNOWN                       
    145.3244  26.0950    3.2  58.2   -9.5   4.8309   3.6 ------	UNKNOWN                       
    177.3003 -70.2987    3.0  49.4 -150.2   3.4509   3.9 ------	UNKNOWN                       
    142.1052 -45.6738    3.5  40.1 -109.1   2.5801   3.3 ------	UNKNOWN                       
    135.4839 -22.9027    2.8  41.8  -73.1   4.7999   4.1 ------	UNKNOWN                       
    143.8765 -61.7441    4.3  48.1 -129.3   3.5864   2.7 ------	UNKNOWN                       
    146.7748 -67.0657    3.2  50.9 -135.5   5.8090   3.6 ------	UNKNOWN                       
    

    Post-slew image of 15-350 keV band

    Time interval of the image:
    232.100600 963.007500
     
    # RAcent  DECcent POSerr Theta    Phi  PeakCts   SNR AngSep     Name
    #  [deg]    [deg]    ['] [deg]  [deg]                   [']
    170.2167 -60.5020   13.6  39.4  -41.2  -0.7351  -0.8    7.8	Cen X-3                       
    186.7384 -62.7981    2.2  33.7  -51.0   4.1808   5.3    2.8	GX 301-2                      
    244.9625 -15.6305    0.7  31.3  162.8  12.2433  16.4    1.1	Sco X-1                       
    256.0636 -37.8785    3.2  30.9 -149.1   2.6082   3.6    4.2	4U 1700-377                   
    256.3952 -36.3989    3.6  31.4 -151.9   2.2617   3.2    2.4	GX 349+2                      
    262.9982 -24.5998   21.8  40.5 -168.1   0.4620   0.5    8.8	GX 1+4                        
    264.6312 -44.3333   11.5  36.9 -136.7   0.7641   1.0    8.5	4U 1735-44                    
    270.1370 -25.0667    3.8  46.1 -163.4   3.1967   3.0    8.0	GX 5-1                        
    270.3967 -25.6126    5.9  46.1 -162.6  -2.1216  -2.0    9.3	GRS 1758-258                  
    273.9936 -14.0301   42.0  54.7 -173.6   0.5363   0.3    0.8	GX 17+2                       
    275.7944 -30.4333    5.4  48.6 -154.0   2.6844   2.2    7.8	H1820-303                     
    284.9389 -24.8859    7.2  58.2 -156.1  -5.0906  -1.6    5.7	HT1900.1-2455                 
    262.9240 -33.7683    4.4  37.2 -154.4   2.0277   2.6    5.1	GX 354-0                      
    182.9910 -10.1343    2.6  40.1   44.0   5.7472   4.4 ------	UNKNOWN                       
    155.7201 -22.6287    3.1  54.7    9.5   6.4254   3.7 ------	UNKNOWN                       
    169.3457 -28.8220    3.2  41.0    8.9   2.9857   3.6 ------	UNKNOWN                       
    279.7210 -34.6707    2.4  50.2 -147.3   6.7978   4.8 ------	UNKNOWN                       
    219.1169 -69.4537    2.2  34.4  -76.9   5.2780   5.2 ------	UNKNOWN                       
    
    Plot creation:
    Fri Jun 20 16:17:02 EDT 2025