batgrbproduct Analysis for Trigger=131185

Analysis Summary

Notes:

======================================================================
                  BAT GRB EVENT DATA PROCESSING REPORT
    Process Script Ver: batgrbproduct v2.45
    Process Start Time (local time): Thu Jul 23 23:04:12 EDT 2009
             Host Name: gcn14
   Current Working Dir: /net/raid16/BAT_GRB_process_2009/131185
======================================================================

  Trigger: 00131185      Segment: 000

  BAT Trigger Time: 139321470.08   [s; MET]
      Trigger Stop: 139321471.488   [s; MET]
               UTC: 2005-06-01T12:24:30.529040    [includes UTCF correction] 
       Where From?: TDRSS position message

  BAT 
    RA: 291.812860688764   Dec: 32.2341754971176  [deg; J2000]

     Catalogged Source?: NO
     Point Source?:      YES
     GRB Indicated?:     YES    [ by BAT flight software ]
     Image S/N Ratio:    11
     Image Trigger?:     NO
     Rate S/N Ratio:     22.8254244210267  [ if not an image trigger ]
     Image S/N Ratio:    11

  Flight Position:   [ source = BAT ]
    RA: 291.812860688764   Dec: 32.2341754971176  [deg; J2000]

  Ground Position:   [ source = BAT pre-slew burst ]
    RA: 291.800675248121   Dec: 32.2513775146082  [deg; J2000]  
        { 19h 27m 12.2s , +32d 15' 05.0" }
         +/- 1.51188507621114 [arcmin] (estimated 90% radius based on SNR)
         +/- 0.605375496703601 [arcmin] (formal 1-sigma fit error)
    SNR: 16.8524473802784
 
  Angular difference between Flight and Ground position is 1.203192 arcmin
 
  Partial Coding Fraction: 0.2402344    [ including projection effects ]

  Duration
     T90: 1.80799999833107 +/- 0.273642084145151
        Measured from: 0.0959999859333038
                   to: 1.90399998426437     [s; relative to TRIGTIME]
     T50: 0.876000016927719 +/- 0.271911741582904
        Measured from: 0.407999992370605
                   to: 1.28400000929832     [s; relative to TRIGTIME]



  Fluence
     Peak Flux  (peak 1 second)
        Measured from: 0.15599998831749     
                   to: 1.15599998831749     [s; relative to TRIGTIME]
     Total Fluence        
        Measured from: -0.116000026464462     
                   to: 2.05199998617172     [s; relative to TRIGTIME]
     
             Band 1     Band 2     Band 3     Band 4
              15-25      25-50     50-100    100-350     keV
 Total     0.094231   0.184023   0.172009   0.067407
           0.015910   0.017627   0.016903   0.013213 [error]
 Peak      0.048655   0.097626   0.128276   0.033013
           0.010902   0.012375   0.012393   0.009606 [error]

     [ fluence units of on-axis counts / fully illuminated detector ] 

======================================================================
 
=== Fluence/Peak Flux Summary (tot_pha/preslew_drm) ===
 
              Model    Band1    Band2    Band3    Band4    Band5    Total      
                       15-25    25-50   50-100  100-350   15-150   15-350   keV
Fluence   Power-law 3.25e-08 7.77e-08 1.48e-07 6.87e-07 4.01e-07 9.44e-07   erg/cm2
              Error 6.55e-09 9.42e-09 1.56e-08 1.65e-07 4.09e-08 1.73e-07   erg/cm2
Peak flux Power-law 5.28e-01 7.56e-01 8.04e-01 1.59e+00 2.58e+00 3.67e+00   ph/cm2/s
              Error 1.33e-01 1.18e-01 9.31e-02 3.94e-01 3.11e-01 4.47e-01   ph/cm2/s
 
Fluence   Cutoff-PL 3.21e-08 7.80e-08 1.49e-07 6.36e-07 4.01e-07 8.32e-07   erg/cm2
              Error 7.32e-09 9.48e-09 1.77e-08 2.91e-07 4.09e-08 0.00e+00   erg/cm2
Peak flux Cutoff-PL 4.65e-01 7.66e-01 8.51e-01 1.10e+00 2.55e+00 3.18e+00   ph/cm2/s
              Error 1.72e-01 1.26e-01 1.29e-01 5.79e-01 3.19e-01 7.52e-01   ph/cm2/s
 
Fluence        Band 3.20e-08 7.74e-08 1.48e-07 6.84e-07 4.01e-07 6.16e-07   erg/cm2
              Error 6.49e-09 9.51e-09 1.56e-08 1.66e-07 4.09e-08 0.00e+00   erg/cm2
Peak flux      Band 4.25e-01 7.83e-01 8.55e-01 1.29e+00 2.51e+00 3.24e+00   ph/cm2/s
              Error 2.24e-01 1.31e-01 6.10e-02 9.56e-01 3.30e-01 7.21e-01   ph/cm2/s
 
=== Time-averaged spectral analysis ===
 
Model Ph_index Ph_90err Epeak  Epeak_90err Norm     Nomr_90err chi2   dof
PL    1.068    0.169    -      -           1.75e-02 1.73e-03   71.884 57
CPL   1.063    0.171    9999.1 5000.0      1.76e-02 1.73e-03   71.885 56
 
 
=== 1-s peak spectral analysis ===
 
Model Ph_index Ph_90err Epeak  Epeak_90err Norm     Nomr_90err chi2   dof
PL    0.911    0.197    -      -           2.25e-02 2.70e-03   65.088 57
CPL   0.488    0.779     220.0 5000.0      3.38e-02 3.11e-02   64.317 56
 
Model      : spectral model: simple power-law (PL) and cutoff power-law (CPL)
Ph_index   : photon index: E^-{Ph_index} (minus sign is not included in the index)
Ph_90err   : 90% error of the photon index
Epeak      : Epeak in keV
Epeak_90err: 90% error of Epeak
Norm       : normalization at 50 keV in PL model and at 1 keV in CPL model
Nomr_90err : 90% error of the normalization
chi2       : Chi-Squared
dof        : degree of freedom
 
=== T90/T50 calculation in the 50-300 keV band (BATSE band) using 64 ms lc ===
 
T90 in the 50-300 keV band: 1.216000 sec.
T50 in the 50-300 keV band: 0.640000 sec.
 
=== Table of the duration information ==
 
        Value   tstart    tstop
T100    2.168   -0.116    2.052
T90     1.808    0.096    1.904
T50     0.876    0.408    1.284
Peak    1.000    0.156    1.156

Image

Pre-slew 15-350 keV image (Event data; bgd subtracted)

#   RAcent  DECcent POSerr  Theta    Phi     Peak Cts     SNR  Name
  291.8007 +32.2514 0.0114   40.4   36.0       0.5539    16.9  TRIG_00131185       
------------------------------------------
 
Foreground time interval of the image:
139321469.964000 139321472.132000
Background time interval of the image:
139321171.000000 139321469.964000

Lightcurves

Notes:

1 s binning

From T0-310 s to T0+310 s
From T100_start - 20 s to T100_end + 30 s
Full time interval

64 ms binning

Full time interval
From T100_start to T100_end
From T0-5 sec to T0+5 sec

16 ms binning

From T100_start-5 s to T100_start+5 s

8 ms binning

From T100_start-3 s to T100_start+3 s

2 ms binning

From T100_start-1 s to T100_start+1 s

SN=5 or 10 sec. binning (whichever binning is satisfied first)

SN=5 or 10 sec. binning (T < 200 sec)

Flight mask-tagged light curves

Quad-rate summed light curves (from T0-300 to T0+1000)

Spectral Evolution

Spectra

Notes:

Time averaged spectrum fit using the pre-slew DRM

Power-law model
Time interval is from   -0.116 sec. to    2.052 sec.
 
Spectral model in power-law:
------------------------------------------------------------
Parameters  : value       lower 90%   higher 90%
Photon index: 1.06800     ( -0.172093   0.166792 )
Norm@50keV  : 1.751203E-02    ( -1.730721E-03   1.721740E-03) )
------------------------------------------------------------
 Chi-Squared =      71.88434     using    59 PHA bins.
 Reduced chi-squared =      1.261129     for     57 degrees of freedom
 Null hypothesis probability = 8.857E-02
 
Photon flux (15-150 keV)    in 2.168 sec: 2.02548 ( -0.20774  0.20791 ) ph/cm2/s
Energy fluence (15-150 keV)             : 4.01008e-07 ( -4.07411e-08  4.10186e-08 ) ergs/cm2
 
Cutoff power-law model
Time interval is from   -0.116 sec. to    2.052 sec.
Spectral model in the cutoff power-law:
------------------------------------------------------------
Parameters  : value       lower 90%   higher 90%
Photon index: 1.06265     ( -0.173392   0.167942 )
Epeak [keV] : 9999.11      ( -9999.10 0.891602 )
Norm@50keV  : 1.761141E-02    ( -1.736265E-03   1.727965E-03) )
------------------------------------------------------------
 Chi-Squared =      71.88469     using    59 PHA bins.
 Reduced chi-squared =      1.283655     for     56 degrees of freedom
 Null hypothesis probability = 7.488E-02
 
Photon flux (15-150 keV)    in 2.168 sec: 2.02495 ( -0.20721  0.20815 ) ph/cm2/s
Energy fluence (15-150 keV)             : 4.01327e-07 ( -4.09318e-08  4.08733e-08 ) ergs/cm2
 
Band function
Time interval is from   -0.116 sec. to    2.052 sec.
 
Spectral model in the Band function:
------------------------------------------------------------
Parameters  : value       lower 90%   higher 90%
alpha       : -0.146021   ( -9.85398   3.16018 )
beta        : -1.25900    ( -0.449059   0.311375 )
Epeak [keV] : 91.1523      ( -91.0523 547.491 )
Norm@50keV   : 5.312570E-02    ( -2.880695E-02   429.519 )
------------------------------------------------------------
 Chi-Squared =      70.51884     using    59 PHA bins.
 Reduced chi-squared =      1.282161     for     55 degrees of freedom
 Null hypothesis probability = 7.752E-02
 
Photon flux (15-150 keV)    in 2.168 sec: 1.97884 ( -0.21935  0.21786 ) ph/cm2/s
Energy fluence (15-150 keV)             : 4.00939e-07 ( -4.07627e-08  4.09709e-08 ) ergs/cm2
 

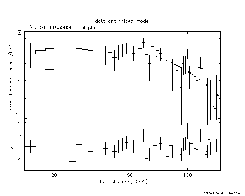
Peak spectrum fit

Power-law model
Time interval is from    0.156 sec. to    1.156 sec.
 
Spectral model in power-law:
------------------------------------------------------------
Parameters  : value       lower 90%   higher 90%
Photon index: 0.910522     ( -0.201905   0.192828 )
Norm@50keV  : 2.249581E-02    ( -2.713488E-03   2.677856E-03) )
------------------------------------------------------------
 Chi-Squared =      65.08798     using    59 PHA bins.
 Reduced chi-squared =      1.141894     for     57 degrees of freedom
 Null hypothesis probability = 0.216
 
Photon flux (15-150 keV)    in 1.000 sec: 2.58225 ( -0.31058  0.31213 ) ph/cm2/s
Energy fluence (15-150 keV)             : 2.51397e-07 ( -2.9453e-08  2.9602e-08 ) ergs/cm2
 
Cutoff power-law model
Time interval is from    0.156 sec. to    1.156 sec.
Spectral model in the cutoff power-law:
------------------------------------------------------------
Parameters  : value       lower 90%   higher 90%
Photon index: 0.487812     ( -0.976162   0.581589 )
Epeak [keV] : 219.987      ( -219.977 9780.01 )
Norm@50keV  : 3.378007E-02    ( -1.345000E-02   4.876259E-02) )
------------------------------------------------------------
 Chi-Squared =      64.31715     using    59 PHA bins.
 Reduced chi-squared =      1.148521     for     56 degrees of freedom
 Null hypothesis probability = 0.208
 
Photon flux (15-150 keV)    in 1.000 sec: 2.54681 ( -0.31858  0.31845 ) ph/cm2/s
Energy fluence (15-150 keV)             : 2.49346e-07 ( -3.0568e-08  3.0202e-08 ) ergs/cm2
 
Band function
Time interval is from    0.156 sec. to    1.156 sec.
 
Spectral model in the Band function:
------------------------------------------------------------
Parameters  : value       lower 90%   higher 90%
alpha       : -0.797564   ( -9.20244   5.79756 )
beta        : -0.910535    ( -0.192777   0.202075 )
Epeak [keV] : 30.8943      ( -679.900 9320.00 )
Norm@50keV   : 3.473933E-02    ( -4.898604E-03   543.420 )
------------------------------------------------------------
 Chi-Squared =      65.08797     using    59 PHA bins.
 Reduced chi-squared =      1.183418     for     55 degrees of freedom
 Null hypothesis probability = 0.166
 
Photon flux (15-150 keV)    in 1.000 sec: 2.51053 ( -0.33224  0.3279 ) ph/cm2/s
Energy fluence (15-150 keV)             : 2.49201e-07 ( -3.0555e-08  3.018e-08 ) ergs/cm2
 

Pre-slew spectrum (Pre-slew PHA with pre-slew DRM)

Power-law model
 
Spectral model in power-law:
------------------------------------------------------------
Parameters  : value       lower 90%   higher 90%
Photon index: 1.06800     ( -0.172093   0.166792 )
Norm@50keV  : 1.751203E-02    ( -1.730721E-03   1.721740E-03) )
------------------------------------------------------------
 Chi-Squared =      71.88434     using    59 PHA bins.
 Reduced chi-squared =      1.261129     for     57 degrees of freedom
 Null hypothesis probability = 8.857E-02
 
Photon flux (15-150 keV)    in 2.168 sec: 2.02548 ( -0.20774  0.20791 ) ph/cm2/s
Energy fluence (15-150 keV)             : 4.01008e-07 ( -4.07411e-08  4.10186e-08 ) ergs/cm2
 
Cutoff power-law model
Spectral model in the cutoff power-law:
------------------------------------------------------------
Parameters  : value       lower 90%   higher 90%
Photon index: 1.06265     ( -0.173392   0.167942 )
Epeak [keV] : 9999.11      ( -9999.10 0.891602 )
Norm@50keV  : 1.761141E-02    ( -1.736265E-03   1.727965E-03) )
------------------------------------------------------------
 Chi-Squared =      71.88469     using    59 PHA bins.
 Reduced chi-squared =      1.283655     for     56 degrees of freedom
 Null hypothesis probability = 7.488E-02
 
Photon flux (15-150 keV)    in 2.168 sec: 2.02495 ( -0.20721  0.20815 ) ph/cm2/s
Energy fluence (15-150 keV)             : 4.01327e-07 ( -4.09318e-08  4.08733e-08 ) ergs/cm2
 
Band function
 
Spectral model in the Band function:
------------------------------------------------------------
Parameters  : value       lower 90%   higher 90%
alpha       : -0.146021   ( -9.85398   3.16018 )
beta        : -1.25900    ( -0.449059   0.311375 )
Epeak [keV] : 91.1523      ( -91.0523 547.491 )
Norm@50keV   : 5.312570E-02    ( -2.880695E-02   429.519 )
------------------------------------------------------------
 Chi-Squared =      70.51884     using    59 PHA bins.
 Reduced chi-squared =      1.282161     for     55 degrees of freedom
 Null hypothesis probability = 7.752E-02
 
Photon flux (15-150 keV)    in 2.168 sec: 1.97884 ( -0.21935  0.21786 ) ph/cm2/s
Energy fluence (15-150 keV)             : 4.00939e-07 ( -4.07627e-08  4.09709e-08 ) ergs/cm2
 

S(25-50 keV) vs. S(50-100 keV) plot

S(25-50 keV)  = 7.7723e-08
S(50-100 keV) = 1.48034e-07

T90 vs. Hardness ratio plot

T90            = 1.80799999833107 sec.
Hardness ratio = 1.90464

Color vs. Color plot

Count ratio  (25-50 keV) / (15-25 keV) = 1.95289
Count ratio (100-50 keV) / (15-25 keV) = 1.8254

DPI of the refined source position

IMX = 6.893222455400874E-01, IMY = -5.008113474197105E-01

TIME vs. PHA plot around the trigger time

TIME vs. DetID plot around the trigger time

100 us light curve (15-350 keV)

Bright source in the pre-burst/pre-slew/post-slew images

Pre-burst image of 15-350 keV band

Time interval of the image is from -299.080 sec. to   -0.116 sec.
 
#   RAcent  DECcent POSerr  Theta    Phi     Peak Cts     SNR  Name
  254.4576 +35.3425 0.0000   32.5   87.5      -0.5095    -1.1  Her X-1        
  299.5903 +35.2016 0.0000   40.4   25.1       0.3862     1.0  Cyg X-1        
  308.1103 +40.9526 0.0000   38.1   11.6      -0.0967    -0.3  Cyg X-3        
  326.1717 +38.3217 0.0000   47.1   -4.6      -0.2591    -0.6  Cyg X-2        
  142.3692 +47.1374 0.0813   55.2 -145.3       3.7398     2.4  UNKNOWN
  175.8836 +32.4520 0.0630   57.0  179.2       4.3871     3.1  UNKNOWN
  298.3134 +34.9770 0.0313   40.2   26.7       2.3910     6.2  UNKNOWN
------------------------------------------

Pre-slew background subtracted image of 15-350 keV band

Time interval of the image is from   -0.116 sec. to    2.052 sec.
 
#   RAcent  DECcent POSerr  Theta    Phi     Peak Cts     SNR  Name
  254.4576 +35.3425 0.0000   32.4   87.9       0.0043     0.2  Her X-1        
  299.5903 +35.2016 0.0000   40.0   25.0      -0.0212    -0.8  Cyg X-1        
  308.1103 +40.9526 0.0000   37.7   11.4      -0.0030    -0.1  Cyg X-3        
  326.1717 +38.3217 0.0000   46.7   -4.9       0.0130     0.4  Cyg X-2        
  141.4226 +71.6672 0.0319   34.5 -127.5       0.1147     6.0  UNKNOWN
  291.8007 +32.2514 0.0114   40.4   36.0       0.5539    16.9  UNKNOWN
  337.2675 +36.5440 0.0318   52.5  -14.0       0.2081     6.0  UNKNOWN
------------------------------------------

Post-slew image of 15-350 keV band

Time interval of the image is from -299.080 sec. to   33.020 sec.
 
#   RAcent  DECcent POSerr  Theta    Phi     Peak Cts     SNR  Name
  254.4576 +35.3425 0.0000   32.4   87.6      -0.4185    -0.8  Her X-1        
  299.5903 +35.2016 0.0000   40.3   25.1      -0.2156    -0.5  Cyg X-1        
  308.1103 +40.9526 0.0000   38.0   11.5      -0.1130    -0.4  Cyg X-3        
  326.1717 +38.3217 0.0000   47.1   -4.6      -0.7207    -1.6  Cyg X-2        
  161.3811 +36.2186 0.0761   59.0 -166.2       5.3811     2.5  UNKNOWN
  175.9024 +32.5416 0.0647   57.0  179.2       4.7366     3.0  UNKNOWN
  246.8120 +37.7397 0.0468   30.6   99.7       1.5564     4.1  UNKNOWN
  298.3952 +34.9144 0.0290   40.2   26.6       2.6860     6.6  UNKNOWN
------------------------------------------