batgrbproduct analysis for trigger=1340514

batgrbproduct Analysis for Trigger=1340514

Analysis Summary

Notes:

======================================================================
                  BAT GRB EVENT DATA PROCESSING REPORT
    Process Script Ver: batgrbproduct v2.48
    Process Start Time (local time): Fri Aug  8 09:43:54 EDT 2025
             Host Name: batproc1
   Current Working Dir: /local/data/bat1/prebascript/trigger1340514/GCN5_download_cron
======================================================================

  Trigger: 01340514      Segment: 000

  BAT Trigger Time: 776256404.544   [s; MET]
      Trigger Stop: 776256405.568   [s; MET]
               UTC: 2025-08-07T10:46:08.440980    [includes UTCF correction] 
       Where From?: TDRSS position message

  BAT 
    RA: 51.4200250231075   Dec: -47.8774784688358  [deg; J2000]

     Catalogged Source?: NO
     Point Source?:      YES
     GRB Indicated?:     YES    [ by BAT flight software ]
     Image S/N Ratio:    19.67
     Image Trigger?:     NO
     Rate S/N Ratio:     139.046754726603  [ if not an image trigger ]
     Image S/N Ratio:    19.67

  Flight Position:   [ source = BAT ]
    RA: 51.4200250231075   Dec: -47.8774784688358  [deg; J2000]

  Ground Position:   [ source = BAT pre-slew burst ]
    RA: 51.434772770305   Dec: -47.8812123134081  [deg; J2000]  
        { 03h 25m 44.3s , -47d 52' 52.4" }
         +/- 0.563417428815792 [arcmin] (estimated 90% radius based on SNR)
         +/- 0.171123353178469 [arcmin] (formal 1-sigma fit error)
    SNR: 69.0359215570572
 
  Angular difference between Flight and Ground position is 0.634351 arcmin
 
  Partial Coding Fraction: 0.7265625    [ including projection effects ]

  Duration
     T90: 75.4439998865128 +/- 2.3070326746217
        Measured from: -0.571999907493591
                   to: 74.8719999790192     [s; relative to TRIGTIME]
     T50: 32.4800000190735 +/- 0.339246267715653
        Measured from: 6.05200004577637
                   to: 38.5320000648499     [s; relative to TRIGTIME]



  Fluence
     Peak Flux  (peak 1 second)
        Measured from: 33.8159999847412     
                   to: 34.8159999847412     [s; relative to TRIGTIME]
     Total Fluence        
        Measured from: -19.4960000514984     
                   to: 130.455999970436     [s; relative to TRIGTIME]
     
             Band 1     Band 2     Band 3     Band 4
              15-25      25-50     50-100    100-350     keV
 Total     8.561709  12.923814  11.786541   3.936027
           0.091813   0.101591   0.093595   0.072729 [error]
 Peak      0.372346   0.677270   0.774057   0.307937
           0.013147   0.016824   0.018120   0.014635 [error]

     [ fluence units of on-axis counts / fully illuminated detector ] 

======================================================================
 
=== Fluence/Peak Flux Summary ===
 
              Model    Band1    Band2    Band3    Band4    Band5    Total      
                       15-25    25-50   50-100  100-350   15-150   15-350   keV
Fluence   Power-law 2.76e-06 5.66e-06 9.07e-06 3.25e-05 2.51e-05 5.00e-05   erg/cm2
              Error 9.03e-08 1.09e-07 1.25e-07 1.08e-06 3.32e-07 1.08e-06   erg/cm2
Peak flux Power-law 3.63e+00 4.99e+00 5.07e+00 9.35e+00 1.67e+01 2.30e+01   ph/cm2/s
              Error 2.24e-01 1.82e-01 1.48e-01 6.22e-01 4.76e-01 6.95e-01   ph/cm2/s
 
Fluence   Cutoff-PL 2.75e-06 5.66e-06 9.08e-06 3.22e-05 2.52e-05 4.97e-05   erg/cm2
              Error 9.13e-08 1.10e-07 1.24e-07 1.44e-06 3.32e-07 1.25e-06   erg/cm2
Peak flux Cutoff-PL 3.62e+00 4.99e+00 5.07e+00 9.30e+00 1.67e+01 2.30e+01   ph/cm2/s
              Error 2.22e-01 1.80e-01 1.48e-01 3.99e-01 4.73e-01 7.93e-01   ph/cm2/s
 
Fluence        Band -------- -------- -------- -------- -------- --------   erg/cm2
              Error -------- -------- -------- -------- -------- --------   erg/cm2
Peak flux      Band -------- -------- -------- -------- -------- --------   ph/cm2/s
              Error -------- -------- -------- -------- -------- --------   ph/cm2/s
 
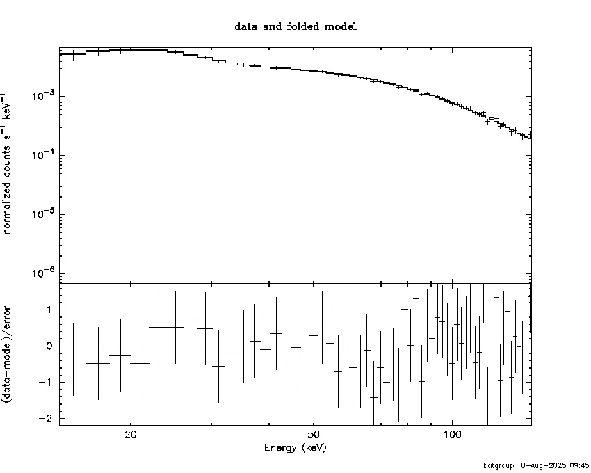
=== Time-averaged spectral analysis ===
 
Model Ph_index Ph_90err Epeak  Epeak_90err Norm     Nomr_90err chi2   dof
PL    1.319    0.026    -      -           1.77e-02 2.57e-04   34.450 57
CPL   1.315    0.039    9997.6    0.0      1.78e-02 6.11e-04   34.580 56
 
 
=== 1-s peak spectral analysis ===
 
Model Ph_index Ph_90err Epeak  Epeak_90err Norm     Nomr_90err chi2   dof
PL    0.979    0.051    -      -           1.45e-01 4.05e-03   48.400 57
CPL   0.975    0.052    9999.4    0.0      1.46e-01 4.64e-03   48.570 56
 
Model      : spectral model: simple power-law (PL) and cutoff power-law (CPL)
Ph_index   : photon index: E^-{Ph_index} (minus sign is not included in the index)
Ph_90err   : 90% error of the photon index
Epeak      : Epeak in keV
Epeak_90err: 90% error of Epeak
Norm       : normalization at 50 keV in PL model and at 1 keV in CPL model
Nomr_90err : 90% error of the normalization
chi2       : Chi-Squared
dof        : degree of freedom
 
=== T90/T50 calculation in the 50-300 keV band (BATSE band) using 64 ms lc ===
 
T90 in the 50-300 keV band: 56.128000 sec.
T50 in the 50-300 keV band: 32.576000 sec.
 
=== Table of the duration information ==
 
        Value   tstart    tstop
T100  149.952  -19.496  130.456
T90    75.444   -0.572   74.872
T50    32.480    6.052   38.532
Peak    1.000   33.816   34.816
  • Click here for the BAT GCN circular template
  • Estimated redshift from machine learning (Ukwatta et al. 2016) - may take a few minutes to calcaulte

    Image

    Pre-slew 15-350 keV image (Event data; bkg subtracted)

    #   RAcent  DECcent POSerr  Theta    Phi     Peak Cts     SNR  Name
       51.4348 -47.8812 0.0028   34.7 -174.9      11.8674    69.0  TRIG_01340514       
    ------------------------------------------
     
    Foreground time interval of the image:
    -19.496  10.357 (delta_t =  29.853 [sec])
    Background time interval of the image:
    -239.544 -100.474 (delta_t = 139.070 [sec])
    -99.544 -99.404 (delta_t =   0.140 [sec])
    -98.544 -55.304 (delta_t =  43.240 [sec])
    -54.544 -19.496 (delta_t =  35.048 [sec])
    

    Lightcurves

    Notes:

    1 s binning

    From T0-310 s to T0+310 s
    From T100_start - 20 s to T100_end + 30 s
    Full time interval

    64 ms binning

    Full time interval
    From T100_start to T100_end
    From T0-5 sec to T0+5 sec

    16 ms binning

    From T100_start-5 s to T100_start+5 s
    Blue+Cyan dotted lines: Time interval of the scaled map
    From 0.000000 to 1.024000
    

    8 ms binning

    From T100_start-3 s to T100_start+3 s
    Blue+Cyan dotted lines: Time interval of the scaled map
    From 0.000000 to 1.024000
    

    2 ms binning

    From T100_start-1 s to T100_start+1 s
    Blue+Cyan dotted lines: Time interval of the scaled map
    From 0.000000 to 1.024000
    

    SN=5 or 10 sec. binning (whichever binning is satisfied first)

    SN=5 or 10 sec. binning (T < 200 sec)

    Spectra

    Notes:

    Time averaged spectrum fit using the pre-slew DRM

    Power-law model
    Multiple GTIs in the spectrum
    tstart tstop
    -19.496000 122.577000
    128.456000 130.456000
     
    Spectral model in power-law:
    ------------------------------------------------------------
    Parameters  : value       lower 90%   higher 90%
    Photon index: 1.31898     ( -0.0258844   0.0257895 )
    Norm@50keV  : 1.77415E-02    ( -0.000256927   0.000256093 )
    ------------------------------------------------------------
    #Fit statistic : Chi-Squared =          34.45 using 59 PHA bins.
    # Reduced chi-squared =         0.6045 for     57 degrees of freedom 
    # Null hypothesis probability =   9.921287e-01
     
    Photon flux (15-150 keV)    in 144.1 sec: 2.12419 ( -0.0362192  0.036361 ) ph/cm2/s
    Energy fluence (15-150 keV)             : 2.51485e-05 ( -3.32002e-07  3.31993e-07 ) ergs/cm2
     
    
    Cutoff power-law model
    Multiple GTIs in the spectrum
    tstart tstop
    -19.496000 122.577000
    128.456000 130.456000
    Spectral model in the cutoff power-law:
    ------------------------------------------------------------
    Parameters  : value       lower 90%   higher 90%
    Photon index: 1.31466     ( -0.0516332   0.0258489 )
    Epeak [keV] : 9997.64      ( -9998.06 -9998.06 )
    Norm@50keV  : 1.78136E-02    ( -0.000240275   0.00098261 )
    ------------------------------------------------------------
    #Fit statistic : Chi-Squared =          34.58 using 59 PHA bins.
    # Reduced chi-squared =         0.6175 for     56 degrees of freedom 
    # Null hypothesis probability =   9.891582e-01
     
    Photon flux (15-150 keV)    in 144.1 sec: 2.12269 (    ) ph/cm2/s
    Energy fluence (15-150 keV)             : 2.51557e-05 ( -3.3215e-07  3.32006e-07 ) ergs/cm2
     
    
    Band function
    Multiple GTIs in the spectrum
    tstart tstop
    -19.496000 122.577000
    128.456000 130.456000
     
    Spectral model in the Band function:
    ------------------------------------------------------------
    Parameters  : value       lower 90%   higher 90%
    alpha       : -0.555095   ( 0.883884   4.339 )
    beta        : -1.32217    ( -0.0283372   0.0270693 )
    Epeak [keV] : 48.0259      ( -47.9911 216.33 )
    Norm@50keV   : 6.41391E-02    ( -0.0644677   1.28706e+06 )
    ------------------------------------------------------------
    #Fit statistic : Chi-Squared =          33.95 using 59 PHA bins.
    # Reduced chi-squared =         0.6173 for     55 degrees of freedom 
    # Null hypothesis probability =   9.885604e-01
     
    Photon flux (15-150 keV)    in 144.1 sec:  (    ) ph/cm2/s
    Energy fluence (15-150 keV)             : 0 ( 0  0 ) ergs/cm2
     
    
    Single BB
     
    Spectral model blackbody:
    ------------------------------------------------------------
    Parameters  : value    Lower 90%  Upper 90%
    kT [keV]    : 22.4025  (  )
    R^2/D10^2   : 6.20740E-02  (   )
    (R is the radius in km and D10 is the distance to the source in units of 10 kpc)
    ------------------------------------------------------------
    #Fit statistic : Chi-Squared =        1214.28 using 59 PHA bins.
    # Reduced chi-squared =        21.3032 for     57 degrees of freedom 
    # Null hypothesis probability =  1.331664e-216
     
    Energy  Fluence     90% Error
    [keV]   [erg/cm2]   [erg/cm2]
    15- 25  8.238e-07   2.522e-08
    25- 50  4.403e-06   9.655e-08
    50-150  1.651e-05   2.882e-07
    15-150  2.174e-05   3.242e-07
    
    Thermal bremsstrahlung (OTTB)
    XSPEC12>exit
     XSPEC: quit
     
     
    Spectral model: thermal bremsstrahlung
    ------------------------------------------------------------
    Parameters  : value         Lower 90%    Upper 90%
    kT [keV]    : 199.363       (      )
    Norm        : 9.39718       (     )
    ------------------------------------------------------------
     Reduced chi-squared = 
     
    Energy  Fluence     90% Error
    [keV]   [erg/cm2]   [erg/cm2]
    15- 25  3.372e-06   5.548e-08
    25- 50  6.486e-06   9.799e-08
    50-150  1.423e-05   2.205e-07
    15-150  2.408e-05   3.963e-07
    
    Double BB
    XSPEC12>exit
     XSPEC: quit
     
     
    Spectral model: bbodyrad<1> + bbodyrad<2>
    ------------------------------------------------------------
    Parameters  : value         Lower 90%    Upper 90%
    kT1 [keV]   : 8.63794        (-0.464593      0.486071)
    R1^2/D10^2  : 0.977656        (-0.166533      0.208967)
    kT2 [keV]   : 35.9410        (-1.79031      2.09145)
    R2^2/D10^2  : 1.09721E-02    (-0.00186409   0.00205331)
    ------------------------------------------------------------
     Reduced chi-squared = 
     
    Energy  Fluence     90% Error
    [keV]   [erg/cm2]   [erg/cm2]
    15- 25  2.285e-06   1.174e-07
    25- 50  5.857e-06   1.398e-07
    50-150  1.692e-05   3.602e-07
    15-150  2.507e-05   4.683e-07
    

    Peak spectrum fit

    Power-law model
    Time interval is from   33.816 sec. to   34.816 sec.
     
    Spectral model in power-law:
    ------------------------------------------------------------
    Parameters  : value       lower 90%   higher 90%
    Photon index: 0.978548     ( -0.0514452   0.0511774 )
    Norm@50keV  : 0.145089    ( -0.00405288   0.00404051 )
    ------------------------------------------------------------
    #Fit statistic : Chi-Squared =          48.40 using 59 PHA bins.
    # Reduced chi-squared =         0.8491 for     57 degrees of freedom 
    # Null hypothesis probability =   7.842314e-01
     
    Photon flux (15-150 keV)    in 1 sec: 16.6870 ( -0.475134  0.476075 ) ph/cm2/s
    Energy fluence (15-150 keV)             : 1.58106e-06 ( -4.67734e-08  4.64558e-08 ) ergs/cm2
     
    
    Cutoff power-law model
    Time interval is from   33.816 sec. to   34.816 sec.
    Spectral model in the cutoff power-law:
    ------------------------------------------------------------
    Parameters  : value       lower 90%   higher 90%
    Photon index: 0.975114     ( -0.0545582   0.0491015 )
    Epeak [keV] : 9999.36      ( -9999.36 -9999.36 )
    Norm@50keV  : 0.145891    ( -0.0041015   0.00517503 )
    ------------------------------------------------------------
    #Fit statistic : Chi-Squared =          48.57 using 59 PHA bins.
    # Reduced chi-squared =         0.8672 for     56 degrees of freedom 
    # Null hypothesis probability =   7.493712e-01
     
    Photon flux (15-150 keV)    in 1 sec: 16.6792 ( -0.4701  0.4768 ) ph/cm2/s
    Energy fluence (15-150 keV)             : 1.57964e-06 ( 0  0 ) ergs/cm2
     
    
    Band function
    Time interval is from   33.816 sec. to   34.816 sec.
     
    Spectral model in the Band function:
    ------------------------------------------------------------
    Parameters  : value       lower 90%   higher 90%
    alpha       : -0.830021   ( 0.830021   0.830021 )
    beta        : -0.978563    ( -0.0511612   0.0514639 )
    Epeak [keV] : 44.8229      ( -44.8229 -44.8229 )
    Norm@50keV   : 0.232456    ( -0.0791408   0 )
    ------------------------------------------------------------
    #Fit statistic : Chi-Squared =          48.40 using 59 PHA bins.
    # Reduced chi-squared =         0.8800 for     55 degrees of freedom 
    # Null hypothesis probability =   7.230813e-01
     
    Photon flux (15-150 keV)    in 1 sec:  (    ) ph/cm2/s
    Energy fluence (15-150 keV)             : 0 ( 0  0 ) ergs/cm2
     
    
    Single BB
     XSPEC: quit
     
     
    Spectral model blackbody:
    ------------------------------------------------------------
    Parameters  : value    Lower 90%  Upper 90%
    kT [keV]    : 24.3627  (  )
    R^2/D10^2   : 0.432502  (   )
    (R is the radius in km and D10 is the distance to the source in units of 10 kpc)
    ------------------------------------------------------------
     Reduced chi-squared = 
     
    Energy  Fluence     90% Error
    [keV]   [erg/cm2]   [erg/cm2]
    15- 25  4.520e-08   2.520e-09
    25- 50  2.530e-07   1.185e-08
    50-150  1.117e-06   4.450e-08
    15-150  1.416e-06   4.750e-08
    
    Thermal bremsstrahlung (OTTB)
    XSPEC12>exit
     XSPEC: quit
     
     
    Spectral model: thermal bremsstrahlung
    ------------------------------------------------------------
    Parameters  : value         Lower 90%    Upper 90%
    kT [keV]    : 199.363       (      )
    Norm        : 69.1124       (     )
    ------------------------------------------------------------
     Reduced chi-squared = 
     
    Energy  Fluence     90% Error
    [keV]   [erg/cm2]   [erg/cm2]
    15- 25  1.721e-07   5.300e-09
    25- 50  3.310e-07   1.070e-08
    50-150  7.261e-07   2.345e-08
    15-150  1.229e-06   3.500e-08
    
    Double BB
    XSPEC12>exit
     XSPEC: quit
     
     
    Spectral model: bbodyrad<1> + bbodyrad<2>
    ------------------------------------------------------------
    Parameters  : value         Lower 90%    Upper 90%
    kT1 [keV]   : 8.03686        (-0.847726      0.944599)
    R1^2/D10^2  : 8.03131        (-2.42558      3.70678)
    kT2 [keV]   : 39.5857        (-3.69069      4.93398)
    R2^2/D10^2  : 8.93562E-02    (-0.0255027   0.0301132)
    ------------------------------------------------------------
     Reduced chi-squared = 
     
    Energy  Fluence     90% Error
    [keV]   [erg/cm2]   [erg/cm2]
    15- 25  1.123e-07   1.185e-08
    25- 50  2.898e-07   1.965e-08
    50-150  1.212e-06   7.400e-08
    15-150  1.614e-06   8.850e-08
    

    Pre-slew spectrum (Pre-slew PHA with pre-slew DRM)

    Power-law model
     
    Spectral model in power-law:
    ------------------------------------------------------------
    Parameters  : value       lower 90%   higher 90%
    Photon index: 1.10106     ( -0.033968   0.0338034 )
    Norm@50keV  : 2.68355E-02    ( -0.00050805   0.000506274 )
    ------------------------------------------------------------
    #Fit statistic : Chi-Squared =          32.04 using 59 PHA bins.
    # Reduced chi-squared =         0.5621 for     57 degrees of freedom 
    # Null hypothesis probability =   9.969423e-01
     
    Photon flux (15-150 keV)    in 29.85 sec: 3.11306 ( -0.0630764  0.0633154 ) ph/cm2/s
    Energy fluence (15-150 keV)             : 8.37224e-06 ( -1.51814e-07  1.51835e-07 ) ergs/cm2
     
    
    Cutoff power-law model
    Spectral model in the cutoff power-law:
    ------------------------------------------------------------
    Parameters  : value       lower 90%   higher 90%
    Photon index: 1.09632     ( -0.0347412   0.0336218 )
    Epeak [keV] : 9997.72      ( -9996.57 -9996.57 )
    Norm@50keV  : 2.69927E-02    ( -0.000483773   0.00401375 )
    ------------------------------------------------------------
    #Fit statistic : Chi-Squared =          32.00 using 59 PHA bins.
    # Reduced chi-squared =         0.5715 for     56 degrees of freedom 
    # Null hypothesis probability =   9.958922e-01
     
    Photon flux (15-150 keV)    in 29.85 sec: 3.10377 ( -0.0565  0.07237 ) ph/cm2/s
    Energy fluence (15-150 keV)             : 7.86459e-14 ( 0  0 ) ergs/cm2
     
    
    Band function
     
    Spectral model in the Band function:
    ------------------------------------------------------------
    Parameters  : value       lower 90%   higher 90%
    alpha       : 6.87672E-02   ( 0.838757   0.838757 )
    beta        : -1.11163    ( 1.1135   0.0407388 )
    Epeak [keV] : 47.7762      ( -47.7178 182.632 )
    Norm@50keV   : 0.179626    ( -0.181133   1129.11 )
    ------------------------------------------------------------
    #Fit statistic : Chi-Squared =          30.62 using 59 PHA bins.
    # Reduced chi-squared =         0.5568 for     55 degrees of freedom 
    # Null hypothesis probability =   9.968508e-01
     
    Photon flux (15-150 keV)    in 29.85 sec:  (    ) ph/cm2/s
    Energy fluence (15-150 keV)             : 0 ( 0  0 ) ergs/cm2
     
    

    S(25-50 keV) vs. S(50-100 keV) plot

    S(25-50 keV)  = 5.66e-06
    S(50-100 keV) = 9.07e-06
    

    T90 vs. Hardness ratio plot

    T90                                   = 75.4439998865128 sec.
    Hardness ratio (energy fluence ratio) = 1.60247
    

    Color vs. Color plot

    Count Ratio  (25-50 keV) / (15-25 keV) = 1.50949
    Count Ratio (50-100 keV) / (15-25 keV) = 1.37666
    

    Mask shadow pattern

    IMX = -6.884918151449695E-01, IMY = 6.107673242190374E-02
    

    TIME vs. PHA plot around the trigger time

    Blue+Cyan dotted lines: Time interval of the scaled map
    From 0.000000 to 1.024000
    

    TIME vs. DetID plot around the trigger time

    Blue+Cyan dotted lines: Time interval of the scaled map
    From 0.000000 to 1.024000
    

    100 us light curve (15-350 keV)

    Blue+Cyan dotted lines: Time interval of the scaled map
    From 0.000000 to 1.024000
    

    Spacecraft aspect plot

    Bright source in the pre-burst/pre-slew/post-slew images

    Pre-burst image of 15-350 keV band

    Time interval of the image:
    -239.544000 -100.474000
    -99.544000 -99.404000
    -98.544000 -55.304000
    -54.544000 -19.496000
     
    # RAcent  DECcent POSerr Theta    Phi  PeakCts   SNR AngSep     Name
    #  [deg]    [deg]    ['] [deg]  [deg]                   [']
    170.4773 -60.6699    9.7  36.8  -54.6   0.6156   1.2    5.5	Cen X-3                       
    186.7127 -62.7993    2.8  35.5  -41.2   1.7340   4.1    2.3	GX 301-2                      
    264.7231 -44.4886   41.1  50.2   26.4  -0.2534  -0.3    2.5	4U 1735-44                    
    286.5625 -44.8673    2.5  46.9   46.6   4.2926   4.6 ------	UNKNOWN                       
    321.4068 -54.7340    2.5  32.2   77.6   2.7060   4.6 ------	UNKNOWN                       
    

    Pre-slew background subtracted image of 15-350 keV band

    Time interval of the image:
    -19.496000 10.356600
     
    # RAcent  DECcent POSerr Theta    Phi  PeakCts   SNR AngSep     Name
    #  [deg]    [deg]    ['] [deg]  [deg]                   [']
    170.6191 -60.6896    4.7  36.7  -54.5  -0.5792  -2.5    9.8	Cen X-3                       
    186.8068 -62.7653   10.5  35.5  -41.2  -0.2084  -1.1    4.1	GX 301-2                      
    264.8487 -44.3866    5.7  50.3   26.5  -1.2654  -2.0    5.9	4U 1735-44                    
    307.7134 -47.2261    2.5  41.5   66.5   2.6443   4.6 ------	UNKNOWN                       
    241.2965 -56.6681    3.4  40.5    3.1   0.6212   3.4 ------	UNKNOWN                       
     51.4348 -47.8812    0.2  34.7 -174.9  11.8670  69.0 ------	UNKNOWN                       
    222.9501 -50.4681    2.9  47.7  -11.5   0.9589   4.0 ------	UNKNOWN                       
    

    Post-slew image of 15-350 keV band

    Time interval of the image:
    88.956600 122.577000
    128.456000 221.156000
    222.456000 250.076000
    251.456000 377.986000
    380.456000 380.586000
    381.456000 482.776000
    483.456000 511.746000
    512.456000 512.846000
    515.456000 518.596000
    519.456000 519.736000
    520.456000 520.496600
    709.456000 709.636000
    710.456000 720.851400
    727.456000 962.598000
     
    # RAcent  DECcent POSerr Theta    Phi  PeakCts   SNR AngSep     Name
    #  [deg]    [deg]    ['] [deg]  [deg]                   [']
     76.4808  -3.5335    2.3  49.3 -132.1  19.2069   5.0 ------	UNKNOWN                       
    
    Plot creation:
    Fri Aug  8 09:47:06 EDT 2025