batgrbproduct analysis for trigger=1340561

batgrbproduct Analysis for Trigger=1340561

Analysis Summary

Notes:

======================================================================
                  BAT GRB EVENT DATA PROCESSING REPORT
    Process Script Ver: batgrbproduct v2.48
    Process Start Time (local time): Tue Aug 12 10:01:30 EDT 2025
             Host Name: batproc1
   Current Working Dir: /local/data/bat1/prebascript/trigger1340561/batgroup_hand_proc
======================================================================

  Trigger: 01340561      Segment: 000

  BAT Trigger Time: 776274224   [s; MET]
      Trigger Stop: 776274288   [s; MET]
               UTC: 2025-08-07T15:43:07.895760    [includes UTCF correction] 
       Where From?: TDRSS position message

  BAT 
    RA: 15.5855603604508   Dec: -59.0940917581662  [deg; J2000]

     Catalogged Source?: NO
     Point Source?:      YES
     GRB Indicated?:     YES    [ by BAT flight software ]
     Image S/N Ratio:    9.22
     Image Trigger?:     YES
     Rate S/N Ratio:     0  [ if not an image trigger ]
     Image S/N Ratio:    9.22

  Flight Position:   [ source = BAT ]
    RA: 15.5855603604508   Dec: -59.0940917581662  [deg; J2000]

  Ground Position:   [ source = BAT pre-slew burst ]
    RA: 15.6110572340659   Dec: -59.0978236453751  [deg; J2000]  
        { 01h 02m 26.7s , -59d 05' 52.2" }
         +/- 1.96002795489025 [arcmin] (estimated 90% radius based on SNR)
         +/- 0.634243683721741 [arcmin] (formal 1-sigma fit error)
    SNR: 11.6305662057235
 
  Angular difference between Flight and Ground position is 0.816997 arcmin
 
  Partial Coding Fraction: 0.6484375    [ including projection effects ]

  Duration
     T90: 104.171999931335 +/- 29.16677469738
        Measured from: -48.460000038147
                   to: 55.7119998931885     [s; relative to TRIGTIME]
     T50: 53.1599999666214 +/- 4.98068113584914
        Measured from: -37.6920000314713
                   to: 15.4679999351501     [s; relative to TRIGTIME]



  Fluence
     Peak Flux  (peak 1 second)
        Measured from: -48.5920000076294     
                   to: -47.5920000076294     [s; relative to TRIGTIME]
     Total Fluence        
        Measured from: -50.9960000514984     
                   to: 85.1560000181198     [s; relative to TRIGTIME]
     
             Band 1     Band 2     Band 3     Band 4
              15-25      25-50     50-100    100-350     keV
 Total     1.398287   1.563239   1.115508   0.204954
           0.089357   0.092797   0.078459   0.064039 [error]
 Peak      0.026855   0.051216   0.028440   0.009091
           0.012654   0.012429   0.010781   0.008240 [error]

     [ fluence units of on-axis counts / fully illuminated detector ] 

======================================================================
 
=== Fluence/Peak Flux Summary ===
 
              Model    Band1    Band2    Band3    Band4    Band5    Total      
                       15-25    25-50   50-100  100-350   15-150   15-350   keV
Fluence   Power-law 4.22e-07 6.78e-07 8.22e-07 1.95e-06 2.48e-06 3.87e-06   erg/cm2
              Error 4.58e-08 4.50e-08 7.97e-08 4.00e-07 1.85e-07 4.67e-07   erg/cm2
Peak flux Power-law 4.03e-01 2.88e-01 1.36e-01 9.07e-02 8.71e-01 9.18e-01   ph/cm2/s
              Error 1.74e-01 9.79e-02 7.05e-02 9.72e-02 2.94e-01 3.11e-01   ph/cm2/s
 
Fluence   Cutoff-PL 4.18e-07 6.83e-07 8.24e-07 1.74e-06 2.47e-06 3.64e-06   erg/cm2
              Error 5.07e-08 5.19e-08 8.15e-08 7.48e-07 2.03e-07 7.84e-07   erg/cm2
Peak flux Cutoff-PL 2.43e-01 3.87e-01 1.77e-01 1.43e-02 8.20e-01 8.23e-01   ph/cm2/s
              Error 2.14e-01 1.36e-01 1.02e-01 4.40e-02 3.05e-01 3.06e-01   ph/cm2/s
 
Fluence        Band -------- -------- -------- -------- -------- --------   erg/cm2
              Error -------- -------- -------- -------- -------- --------   erg/cm2
Peak flux      Band 2.62e-01 3.81e-01 1.78e-01 1.69e-02 8.36e-01 8.37e-01   ph/cm2/s
              Error 2.41e-01 1.36e-01 1.01e-01 -------- 3.04e-01 --------   ph/cm2/s
 
=== Time-averaged spectral analysis ===
 
Model Ph_index Ph_90err Epeak  Epeak_90err Norm     Nomr_90err chi2   dof
PL    1.722    0.122    -      -           1.97e-03 1.40e-04   70.070 57
CPL   1.653    0.446     241.3  -34.3      2.14e-03 9.53e-04   69.990 56
 
 
=== 1-s peak spectral analysis ===
 
Model Ph_index Ph_90err Epeak  Epeak_90err Norm     Nomr_90err chi2   dof
PL    2.080    0.566    -      -           5.59e-03 2.33e-03   58.360 57
CPL  -0.831    4.456      47.4   24.5      1.80e-01 1.51e+02   54.780 56
 
Model      : spectral model: simple power-law (PL) and cutoff power-law (CPL)
Ph_index   : photon index: E^-{Ph_index} (minus sign is not included in the index)
Ph_90err   : 90% error of the photon index
Epeak      : Epeak in keV
Epeak_90err: 90% error of Epeak
Norm       : normalization at 50 keV in PL model and at 1 keV in CPL model
Nomr_90err : 90% error of the normalization
chi2       : Chi-Squared
dof        : degree of freedom
 
=== T90/T50 calculation in the 50-300 keV band (BATSE band) using 64 ms lc ===
 
T90 in the 50-300 keV band: 91.136000 sec.
T50 in the 50-300 keV band: 40.960000 sec.
 
=== Table of the duration information ==
 
        Value   tstart    tstop
T100  136.152  -50.996   85.156
T90   104.172  -48.460   55.712
T50    53.160  -37.692   15.468
Peak    1.000  -48.592  -47.592
  • Click here for the BAT GCN circular template
  • Estimated redshift from machine learning (Ukwatta et al. 2016) - may take a few minutes to calcaulte

    Image

    Pre-slew 15-350 keV image (Event data; bkg subtracted)

    #   RAcent  DECcent POSerr  Theta    Phi     Peak Cts     SNR  Name
       15.6111 -59.0978 0.0165   23.7   52.3       2.1183    11.6  TRIG_01340561       
    ------------------------------------------
     
    Foreground time interval of the image:
    -17.299  72.501 (delta_t =  89.800 [sec])
    Background time interval of the image:
    

    Lightcurves

    Notes:

    1 s binning

    From T0-310 s to T0+310 s
    From T100_start - 20 s to T100_end + 30 s
    Full time interval

    64 ms binning

    Full time interval
    From T100_start to T100_end
    From T0-5 sec to T0+5 sec

    16 ms binning

    From T100_start-5 s to T100_start+5 s

    8 ms binning

    From T100_start-3 s to T100_start+3 s

    2 ms binning

    From T100_start-1 s to T100_start+1 s

    SN=5 or 10 sec. binning (whichever binning is satisfied first)

    SN=5 or 10 sec. binning (T < 200 sec)

    Spectra

    Notes:

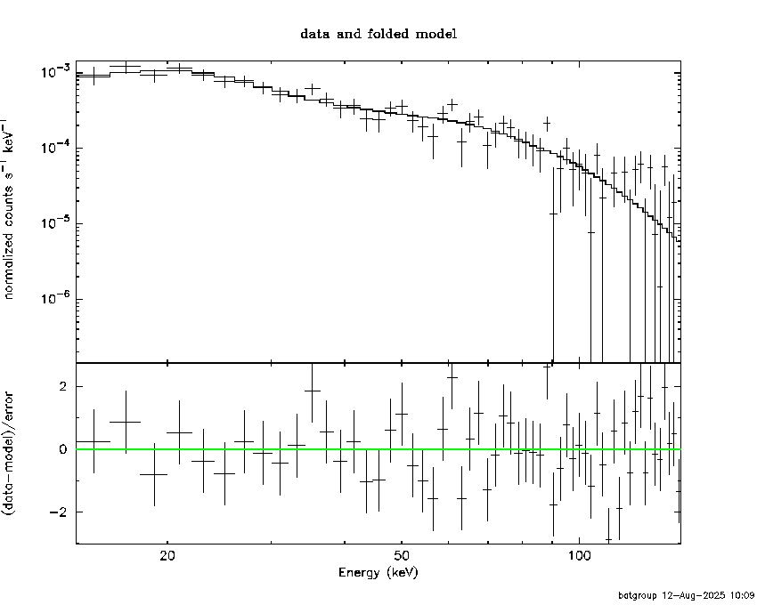
    Time averaged spectrum fit using the pre-slew DRM

    Power-law model
    Time interval is from  -50.996 sec. to   85.156 sec.
     
    Spectral model in power-law:
    ------------------------------------------------------------
    Parameters  : value       lower 90%   higher 90%
    Photon index: 1.72183     ( -0.121377   0.123378 )
    Norm@50keV  : 1.97019E-03    ( -0.000140518   0.000139162 )
    ------------------------------------------------------------
    #Fit statistic : Chi-Squared =          70.07 using 59 PHA bins.
    # Reduced chi-squared =          1.229 for     57 degrees of freedom 
    # Null hypothesis probability =   1.145828e-01
     
    Photon flux (15-150 keV)    in 136.2 sec: 0.263690 ( -0.0176237  0.0176565 ) ph/cm2/s
    Energy fluence (15-150 keV)             : 2.48049e-06 ( -1.84558e-07  1.86087e-07 ) ergs/cm2
     
    
    Cutoff power-law model
    Time interval is from  -50.996 sec. to   85.156 sec.
    Spectral model in the cutoff power-law:
    ------------------------------------------------------------
    Parameters  : value       lower 90%   higher 90%
    Photon index: 1.65305     ( -0.459052   0.433284 )
    Epeak [keV] : 241.271      ( -172.726 -241.272 )
    Norm@50keV  : 2.14074E-03    ( -0.000381041   0.00152535 )
    ------------------------------------------------------------
    #Fit statistic : Chi-Squared =          69.99 using 59 PHA bins.
    # Reduced chi-squared =          1.250 for     56 degrees of freedom 
    # Null hypothesis probability =   9.894720e-02
     
    Photon flux (15-150 keV)    in 136.2 sec: 0.262712 ( -0.01853  0.018261 ) ph/cm2/s
    Energy fluence (15-150 keV)             : 2.46647e-06 ( -2.07215e-07  1.98008e-07 ) ergs/cm2
     
    
    Band function
    Time interval is from  -50.996 sec. to   85.156 sec.
     
    Spectral model in the Band function:
    ------------------------------------------------------------
    Parameters  : value       lower 90%   higher 90%
    alpha       : 8.20807E-02   ( 1.20348   1.20348 )
    beta        : -1.73949    ( 1.74317   0.139341 )
    Epeak [keV] : 24.8042      ( -40.5787 -40.5787 )
    Norm@50keV   : 5.58195E-02    ( -0.0538573   529.642 )
    ------------------------------------------------------------
    #Fit statistic : Chi-Squared =          69.90 using 59 PHA bins.
    # Reduced chi-squared =          1.271 for     55 degrees of freedom 
    # Null hypothesis probability =   8.501466e-02
     
    Photon flux (15-150 keV)    in 136.2 sec: 0.262767 (    ) ph/cm2/s
    Energy fluence (15-150 keV)             : 0 ( 0  0 ) ergs/cm2
     
    
    Single BB
     
    Spectral model blackbody:
    ------------------------------------------------------------
    Parameters  : value    Lower 90%  Upper 90%
    kT [keV]    : 12.9362  (  )
    R^2/D10^2   : 4.68520E-02  (   )
    (R is the radius in km and D10 is the distance to the source in units of 10 kpc)
    ------------------------------------------------------------
    #Fit statistic : Chi-Squared =         140.25 using 59 PHA bins.
    # Reduced chi-squared =         2.4605 for     57 degrees of freedom 
    # Null hypothesis probability =   5.732612e-09
     
    Energy  Fluence     90% Error
    [keV]   [erg/cm2]   [erg/cm2]
    15- 25  2.265e-07   2.847e-08
    25- 50  7.759e-07   6.040e-08
    50-150  8.186e-07   1.376e-07
    15-150  1.821e-06   1.396e-07
    
    Thermal bremsstrahlung (OTTB)
    XSPEC12>exit
     XSPEC: quit
     
     
    Spectral model: thermal bremsstrahlung
    ------------------------------------------------------------
    Parameters  : value         Lower 90%    Upper 90%
    kT [keV]    : 133.387       (-35.6916      53.61)
    Norm        : 1.09092       (-0.0866564     0.106745)
    ------------------------------------------------------------
     Reduced chi-squared = 
     
    Energy  Fluence     90% Error
    [keV]   [erg/cm2]   [erg/cm2]
    15- 25  3.849e-07   3.800e-08
    25- 50  7.008e-07   7.893e-08
    50-150  1.315e-06   4.778e-07
    15-150  2.401e-06   5.244e-07
    
    Double BB
    XSPEC12>exit
     XSPEC: quit
     
     
    Spectral model: bbodyrad<1> + bbodyrad<2>
    ------------------------------------------------------------
    Parameters  : value         Lower 90%    Upper 90%
    kT1 [keV]   : 5.86572        (-0.990256      1.11424)
    R1^2/D10^2  : 0.598441        (-0.284163      0.64294)
    kT2 [keV]   : 23.4920        (-3.74594      5.60863)
    R2^2/D10^2  : 4.36223E-03    (-0.00233729   0.00397842)
    ------------------------------------------------------------
     Reduced chi-squared = 
     
    Energy  Fluence     90% Error
    [keV]   [erg/cm2]   [erg/cm2]
    15- 25  4.193e-07   1.007e-07
    25- 50  6.649e-07   1.273e-07
    50-150  1.358e-06   3.804e-07
    15-150  2.442e-06   6.524e-07
    

    Peak spectrum fit

    Power-law model
    Time interval is from  -48.592 sec. to  -47.592 sec.
     
    Spectral model in power-law:
    ------------------------------------------------------------
    Parameters  : value       lower 90%   higher 90%
    Photon index: 2.07992     ( -0.490436   0.641962 )
    Norm@50keV  : 5.59018E-03    ( -0.00239682   0.00226459 )
    ------------------------------------------------------------
    #Fit statistic : Chi-Squared =          58.36 using 59 PHA bins.
    # Reduced chi-squared =          1.024 for     57 degrees of freedom 
    # Null hypothesis probability =   4.252235e-01
     
    Photon flux (15-150 keV)    in 1 sec: 0.870888 ( -0.294312  0.294533 ) ph/cm2/s
    Energy fluence (15-150 keV)             : 5.18269e-08 ( -1.97134e-08  2.03947e-08 ) ergs/cm2
     
    
    Cutoff power-law model
    Time interval is from  -48.592 sec. to  -47.592 sec.
    Spectral model in the cutoff power-law:
    ------------------------------------------------------------
    Parameters  : value       lower 90%   higher 90%
    Photon index: -0.831167     ( -6.1384   2.77366 )
    Epeak [keV] : 47.3816      ( -25.8412 23.0701 )
    Norm@50keV  : 0.179641    ( -0.21794   301.141 )
    ------------------------------------------------------------
    #Fit statistic : Chi-Squared =          54.78 using 59 PHA bins.
    # Reduced chi-squared =         0.9782 for     56 degrees of freedom 
    # Null hypothesis probability =   5.210571e-01
     
    Photon flux (15-150 keV)    in 1 sec: 0.819902 ( -0.304275  0.305508 ) ph/cm2/s
    Energy fluence (15-150 keV)             : 5.08623e-08 ( -1.80494e-08  2.03892e-08 ) ergs/cm2
     
    
    Band function
    Time interval is from  -48.592 sec. to  -47.592 sec.
     
    Spectral model in the Band function:
    ------------------------------------------------------------
    Parameters  : value       lower 90%   higher 90%
    alpha       : 0.776398   ( -2.4328   -0.622743 )
    beta        : -10.0000    ( 10   1.77636e-14 )
    Epeak [keV] : 47.3710      ( -26.1674 23.1498 )
    Norm@50keV   : 0.169134    ( -0.169138   30.4078 )
    ------------------------------------------------------------
    #Fit statistic : Chi-Squared =          54.79 using 59 PHA bins.
    # Reduced chi-squared =         0.9961 for     55 degrees of freedom 
    # Null hypothesis probability =   4.827422e-01
     
    Photon flux (15-150 keV)    in 1 sec: 0.836010 ( 6.16399  -0.321404 ) ph/cm2/s
    Energy fluence (15-150 keV)             : 5.19409e-08 ( -5.19339e-08  -1.917e-08 ) ergs/cm2
     
    
    Single BB
     XSPEC: quit
     
     
    Spectral model blackbody:
    ------------------------------------------------------------
    Parameters  : value    Lower 90%  Upper 90%
    kT [keV]    : 12.2516  (-3.19859  4.02161)
    R^2/D10^2   : 0.219076  (-0.219076   0.441166)
    (R is the radius in km and D10 is the distance to the source in units of 10 kpc)
    ------------------------------------------------------------
     Reduced chi-squared = 
     
    Energy  Fluence     90% Error
    [keV]   [erg/cm2]   [erg/cm2]
    15- 25  6.965e-09   4.349e-09
    25- 50  2.246e-08   1.329e-08
    50-150  2.054e-08   1.488e-08
    15-150  4.997e-08   3.262e-08
    
    Thermal bremsstrahlung (OTTB)
    XSPEC12>exit
     XSPEC: quit
     
     
    Spectral model: thermal bremsstrahlung
    ------------------------------------------------------------
    Parameters  : value         Lower 90%    Upper 90%
    kT [keV]    : 63.6701       (-33.5636      102.043)
    Norm        : 4.66138       (-1.84355     2.74473)
    ------------------------------------------------------------
     Reduced chi-squared = 
     
    Energy  Fluence     90% Error
    [keV]   [erg/cm2]   [erg/cm2]
    15- 25  1.182e-08   7.132e-09
    25- 50  1.831e-08   1.188e-08
    50-150  2.187e-08   1.962e-08
    15-150  5.200e-08   3.499e-08
    
    Double BB
    XSPEC12>exit
     XSPEC: quit
     
     
    Spectral model: bbodyrad<1> + bbodyrad<2>
    ------------------------------------------------------------
    Parameters  : value         Lower 90%    Upper 90%
    kT1 [keV]   : 1.78260        (-1.63048      15.4401)
    R1^2/D10^2  : 1234.45        (-1113.07      -1113.07)
    kT2 [keV]   : 13.1515        (-3.45595      4.61212)
    R2^2/D10^2  : 0.159075    (-0.158901   0.149524)
    ------------------------------------------------------------
     Reduced chi-squared = 
     
    Energy  Fluence     90% Error
    [keV]   [erg/cm2]   [erg/cm2]
    15- 25  9.429e-09   4.290e-09
    25- 50  2.062e-08   1.276e-08
    50-150  2.215e-08   1.534e-08
    15-150  5.220e-08   3.148e-08
    

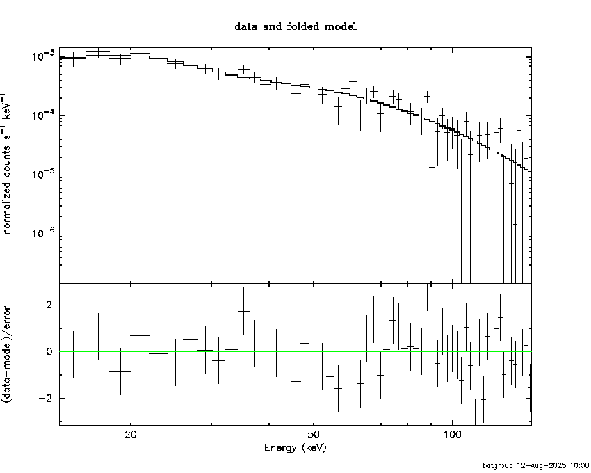
    Pre-slew spectrum (Pre-slew PHA with pre-slew DRM)

    Power-law model
     
    Spectral model in power-law:
    ------------------------------------------------------------
    Parameters  : value       lower 90%   higher 90%
    Photon index: 1.78704     ( -0.159892   0.164972 )
    Norm@50keV  : 1.50813E-03    ( -0.000160094   0.000157759 )
    ------------------------------------------------------------
    #Fit statistic : Chi-Squared =          49.18 using 59 PHA bins.
    # Reduced chi-squared =         0.8627 for     57 degrees of freedom 
    # Null hypothesis probability =   7.599025e-01
     
    Photon flux (15-150 keV)    in 89.8 sec: 0.206783 ( -0.019186  0.0191938 ) ph/cm2/s
    Energy fluence (15-150 keV)             : 1.24739e-06 ( -1.34522e-07  1.36468e-07 ) ergs/cm2
     
    
    Cutoff power-law model
    Spectral model in the cutoff power-law:
    ------------------------------------------------------------
    Parameters  : value       lower 90%   higher 90%
    Photon index: 1.03784     ( -0.79246   0.666523 )
    Epeak [keV] : 56.1986      ( -12.3883 86.404 )
    Norm@50keV  : 3.96370E-03    ( -0.00225178   0.00705588 )
    ------------------------------------------------------------
    #Fit statistic : Chi-Squared =          45.43 using 59 PHA bins.
    # Reduced chi-squared =         0.8112 for     56 degrees of freedom 
    # Null hypothesis probability =   8.426977e-01
     
    Photon flux (15-150 keV)    in 89.8 sec: 0.201214 ( -0.019777  0.019787 ) ph/cm2/s
    Energy fluence (15-150 keV)             : 1.16207e-06 ( -1.4923e-07  1.54627e-07 ) ergs/cm2
     
    
    Band function
     
    Spectral model in the Band function:
    ------------------------------------------------------------
    Parameters  : value       lower 90%   higher 90%
    alpha       : 1.22054   ( -1.67586   -0.117286 )
    beta        : -2.08035    ( -4.43036   0.30249 )
    Epeak [keV] : 32.6202      ( -12.3276 47.1756 )
    Norm@50keV   : 0.160537    ( -0.156288   47.3585 )
    ------------------------------------------------------------
    #Fit statistic : Chi-Squared =          44.15 using 59 PHA bins.
    # Reduced chi-squared =         0.8027 for     55 degrees of freedom 
    # Null hypothesis probability =   8.524983e-01
     
    Photon flux (15-150 keV)    in 89.8 sec:  (    ) ph/cm2/s
    Energy fluence (15-150 keV)             : 1.16154e-06 ( 0  0 ) ergs/cm2
     
    

    S(25-50 keV) vs. S(50-100 keV) plot

    S(25-50 keV)  = 6.78e-07
    S(50-100 keV) = 8.22e-07
    

    T90 vs. Hardness ratio plot

    T90                                   = 104.171999931335 sec.
    Hardness ratio (energy fluence ratio) = 1.21239
    

    Color vs. Color plot

    Count Ratio  (25-50 keV) / (15-25 keV) = 1.11797
    Count Ratio (50-100 keV) / (15-25 keV) = 0.797768
    

    Mask shadow pattern

    IMX = 2.684494827481671E-01, IMY = -3.467819780013844E-01
    

    TIME vs. PHA plot around the trigger time

    TIME vs. DetID plot around the trigger time

    100 us light curve (15-350 keV)

    Spacecraft aspect plot

    Bright source in the pre-burst/pre-slew/post-slew images

    Pre-burst image of 15-350 keV band

    Time interval of the image:
     
    

    Pre-slew background subtracted image of 15-350 keV band

    Time interval of the image:
    -17.299400 72.500600
     
    # RAcent  DECcent POSerr Theta    Phi  PeakCts   SNR AngSep     Name
    #  [deg]    [deg]    ['] [deg]  [deg]                   [']
    334.5335 -62.7165    2.5  43.2   44.5   1.9673   4.7 ------	UNKNOWN                       
     24.9451 -11.0851    2.3  43.0  143.8   1.8620   5.0 ------	UNKNOWN                       
     15.6111 -59.0978    1.0  23.7   52.3   2.1182  11.6 ------	UNKNOWN                       
     17.8085 -75.8823    2.8  31.2   18.9   0.8191   4.1 ------	UNKNOWN                       
     79.8570  -2.2047    2.5  51.8 -139.0   3.8232   4.7 ------	UNKNOWN                       
    

    Post-slew image of 15-350 keV band

    Time interval of the image:
    132.500600 340.300640
     
    # RAcent  DECcent POSerr Theta    Phi  PeakCts   SNR AngSep     Name
    #  [deg]    [deg]    ['] [deg]  [deg]                   [']
    186.6570 -62.7703   37.8  57.9  -24.7  -0.4455  -0.3    0.0	GX 301-2                      
    296.5135 -46.9239    2.6  46.1   48.6   3.7502   4.4 ------	UNKNOWN                       
    320.7875 -47.8577    2.3  33.4   65.0   2.6543   4.9 ------	UNKNOWN                       
     59.3268 -19.6136    2.3  50.4 -142.2   4.4870   5.1 ------	UNKNOWN                       
    
    Plot creation:
    Tue Aug 12 10:10:09 EDT 2025