batgrbproduct analysis for trigger=1404126

batgrbproduct Analysis for Trigger=1404126

Analysis Summary

Notes:

======================================================================
                  BAT GRB EVENT DATA PROCESSING REPORT
    Process Script Ver: batgrbproduct v2.48
    Process Start Time (local time): Thu Oct 16 13:22:45 EDT 2025
             Host Name: batproc1
   Current Working Dir: /local/data/bat1/prebascript/trigger1404126/batgroup_hand_proc
======================================================================

  Trigger: 01404126      Segment: 000

  BAT Trigger Time: 782171717.056   [s; MET]
      Trigger Stop: 782171725.248   [s; MET]
               UTC: 2025-10-14T21:54:40.550860    [includes UTCF correction] 
       Where From?: TDRSS position message

  BAT 
    RA: 323.917918787263   Dec: -41.839344253606  [deg; J2000]

     Catalogged Source?: NO
     Point Source?:      YES
     GRB Indicated?:     YES    [ by BAT flight software ]
     Image S/N Ratio:    7.49
     Image Trigger?:     NO
     Rate S/N Ratio:     8.71779788708135  [ if not an image trigger ]
     Image S/N Ratio:    7.49

  Flight Position:   [ source = BAT ]
    RA: 323.917918787263   Dec: -41.839344253606  [deg; J2000]

  Ground Position:   [ source = BAT pre-slew burst ]
    RA: 323.932969251917   Dec: -41.8730518437922  [deg; J2000]  
        { 21h 35m 43.9s , -41d 52' 23.0" }
         +/- 2.72203076193821 [arcmin] (estimated 90% radius based on SNR)
         +/- 1.24527146939522 [arcmin] (formal 1-sigma fit error)
    SNR: 7.27516126255353
 
  Angular difference between Flight and Ground position is 2.131363 arcmin
 
  Partial Coding Fraction: 0.4921875    [ including projection effects ]

  Duration
     T90: 286.975999951363 +/- 70.0941769025416
        Measured from: 1.96800005435944
                   to: 288.944000005722     [s; relative to TRIGTIME]
     T50: 191.571999907494 +/- 163.030265341405
        Measured from: 7.89600002765656
                   to: 199.46799993515     [s; relative to TRIGTIME]



  Fluence
     Peak Flux  (peak 1 second)
        Measured from: 5.18400001525879     
                   to: 6.18400001525879     [s; relative to TRIGTIME]
     Total Fluence        
        Measured from: 0.391999959945679     
                   to: 310.103999972343     [s; relative to TRIGTIME]
     
             Band 1     Band 2     Band 3     Band 4
              15-25      25-50     50-100    100-350     keV
 Total     0.514556   0.570878   0.412010   0.154335
           0.110454   0.114518   0.095855   0.078321 [error]
 Peak      0.023396   0.012132   0.032301   0.008921
           0.008443   0.008932   0.008101   0.006156 [error]

     [ fluence units of on-axis counts / fully illuminated detector ] 

======================================================================
 
=== Fluence/Peak Flux Summary ===
 
              Model    Band1    Band2    Band3    Band4    Band5    Total      
                       15-25    25-50   50-100  100-350   15-150   15-350   keV
Fluence   Power-law 1.73e-07 2.75e-07 3.29e-07 7.68e-07 9.99e-07 1.55e-06   erg/cm2
              Error 5.59e-08 5.55e-08 9.80e-08 4.86e-07 2.29e-07 5.71e-07   erg/cm2
Peak flux Power-law 1.51e-01 1.72e-01 1.40e-01 1.92e-01 5.33e-01 6.55e-01   ph/cm2/s
              Error 1.07e-01 7.94e-02 6.14e-02 1.73e-01 2.20e-01 2.59e-01   ph/cm2/s
 
Fluence   Cutoff-PL 1.73e-07 2.75e-07 3.29e-07 7.64e-07 9.93e-07 1.49e-06   erg/cm2
              Error 5.59e-08 5.52e-08 9.90e-08 7.06e-07 2.28e-07 6.56e-07   erg/cm2
Peak flux Cutoff-PL 1.15e-01 1.83e-01 1.60e-01 8.41e-02 5.12e-01 5.42e-01   ph/cm2/s
              Error 1.30e-01 1.39e-01 8.91e-02 1.27e-01 2.56e-01 4.43e-01   ph/cm2/s
 
Fluence        Band -------- -------- -------- -------- -------- --------   erg/cm2
              Error -------- -------- -------- -------- -------- --------   erg/cm2
Peak flux      Band -------- -------- -------- -------- -------- --------   ph/cm2/s
              Error -------- -------- -------- -------- -------- --------   ph/cm2/s
 
=== Time-averaged spectral analysis ===
 
Model Ph_index Ph_90err Epeak  Epeak_90err Norm     Nomr_90err chi2   dof
PL    1.740    0.377    -      -           3.49e-04 7.70e-05   67.710 57
CPL   2.419    0.960     150.4    0.0      1.58e-04 0.00e+00   67.420 56
 
 
=== 1-s peak spectral analysis ===
 
Model Ph_index Ph_90err Epeak  Epeak_90err Norm     Nomr_90err chi2   dof
PL    1.293    0.671    -      -           4.48e-03 1.76e-03   57.820 57
CPL   0.206    0.874      93.1    0.0      1.39e-02 1.08e+02   57.350 56
 
Model      : spectral model: simple power-law (PL) and cutoff power-law (CPL)
Ph_index   : photon index: E^-{Ph_index} (minus sign is not included in the index)
Ph_90err   : 90% error of the photon index
Epeak      : Epeak in keV
Epeak_90err: 90% error of Epeak
Norm       : normalization at 50 keV in PL model and at 1 keV in CPL model
Nomr_90err : 90% error of the normalization
chi2       : Chi-Squared
dof        : degree of freedom
 
=== T90/T50 calculation in the 50-300 keV band (BATSE band) using 64 ms lc ===
 
T90 in the 50-300 keV band: 7.808000 sec.
T50 in the 50-300 keV band: 4.416000 sec.
 
=== Table of the duration information ==
 
        Value   tstart    tstop
T100  309.712    0.392  310.104
T90   286.976    1.968  288.944
T50   191.572    7.896  199.468
Peak    1.000    5.184    6.184
  • Click here for the BAT GCN circular template
  • Estimated redshift from machine learning (Ukwatta et al. 2016) - may take a few minutes to calcaulte

    Image

    Pre-slew 15-350 keV image (Event data; bkg subtracted)

    #   RAcent  DECcent POSerr  Theta    Phi     Peak Cts     SNR  Name
      323.9330 -41.8731 0.0264   39.4  -27.7       0.9034     7.3  TRIG_01404126       
    ------------------------------------------
     
    Foreground time interval of the image:
      0.392  50.845 (delta_t =  50.453 [sec])
    Background time interval of the image:
    -239.056   0.392 (delta_t = 239.448 [sec])
    

    Lightcurves

    Notes:

    1 s binning

    From T0-310 s to T0+310 s
    From T100_start - 20 s to T100_end + 30 s
    Full time interval

    64 ms binning

    Full time interval
    From T100_start to T100_end
    From T0-5 sec to T0+5 sec

    16 ms binning

    From T100_start-5 s to T100_start+5 s
    Blue+Cyan dotted lines: Time interval of the scaled map
    From 0.000000 to 8.192000
    

    8 ms binning

    From T100_start-3 s to T100_start+3 s
    Blue+Cyan dotted lines: Time interval of the scaled map
    From 0.000000 to 8.192000
    

    2 ms binning

    From T100_start-1 s to T100_start+1 s
    Blue+Cyan dotted lines: Time interval of the scaled map
    From 0.000000 to 8.192000
    

    SN=5 or 10 sec. binning (whichever binning is satisfied first)

    SN=5 or 10 sec. binning (T < 200 sec)

    Spectra

    Notes:

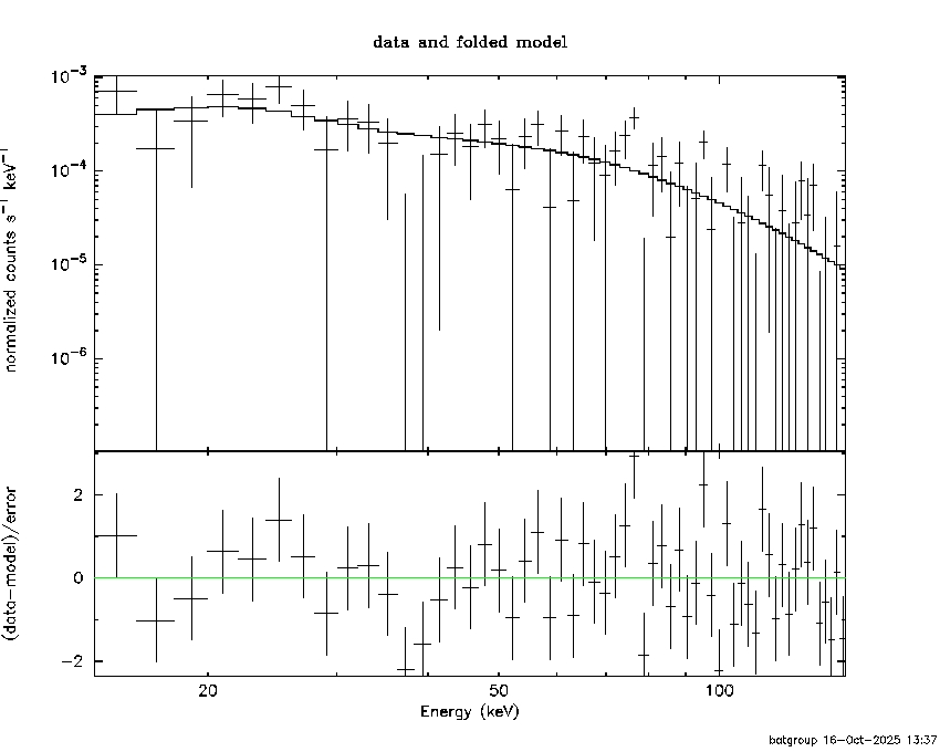
    Time averaged spectrum fit using the pre-slew DRM

    Power-law model
    Time interval is from    0.392 sec. to  310.104 sec.
     
    Spectral model in power-law:
    ------------------------------------------------------------
    Parameters  : value       lower 90%   higher 90%
    Photon index: 1.74010     ( -0.363125   0.391639 )
    Norm@50keV  : 3.49371E-04    ( -7.85955e-05   7.53445e-05 )
    ------------------------------------------------------------
    #Fit statistic : Chi-Squared =          67.71 using 59 PHA bins.
    # Reduced chi-squared =          1.188 for     57 degrees of freedom 
    # Null hypothesis probability =   1.567707e-01
     
    Photon flux (15-150 keV)    in 309.7 sec: 4.70697E-02 ( -0.00956504  0.00959735 ) ph/cm2/s
    Energy fluence (15-150 keV)             : 9.9899e-07 ( -2.2687e-07  2.30182e-07 ) ergs/cm2
     
    
    Cutoff power-law model
    Time interval is from    0.392 sec. to  310.104 sec.
    Spectral model in the cutoff power-law:
    ------------------------------------------------------------
    Parameters  : value       lower 90%   higher 90%
    Photon index: 2.41911     ( -1.76968   0.150175 )
    Epeak [keV] : 150.394      (   )
    Norm@50keV  : 1.58179E-04    (     )
    ------------------------------------------------------------
    #Fit statistic : Chi-Squared =          67.42 using 59 PHA bins.
    # Reduced chi-squared =          1.204 for     56 degrees of freedom 
    # Null hypothesis probability =   1.411671e-01
     
    Photon flux (15-150 keV)    in 309.7 sec: 4.71307E-02 ( -0.0096667  0.0095291 ) ph/cm2/s
    Energy fluence (15-150 keV)             : 9.9349e-07 ( -2.2265e-07  2.3356e-07 ) ergs/cm2
     
    
    Band function
    Time interval is from    0.392 sec. to  310.104 sec.
     
    Spectral model in the Band function:
    ------------------------------------------------------------
    Parameters  : value       lower 90%   higher 90%
    alpha       : -2.75814   ( 2.75814   2.75814 )
    beta        : -1.74011    ( -0.391143   0.363743 )
    Epeak [keV] : 87.9686      ( -87.9686 -87.9686 )
    Norm@50keV   : 4.74843E-02    ( -0.0106822   0.0102405 )
    ------------------------------------------------------------
    #Fit statistic : Chi-Squared =          67.71 using 59 PHA bins.
    # Reduced chi-squared =          1.231 for     55 degrees of freedom 
    # Null hypothesis probability =   1.166824e-01
     
    Photon flux (15-150 keV)    in 309.7 sec:  (    ) ph/cm2/s
    Energy fluence (15-150 keV)             : 0 ( 0  0 ) ergs/cm2
     
    
    Single BB
     
    Spectral model blackbody:
    ------------------------------------------------------------
    Parameters  : value    Lower 90%  Upper 90%
    kT [keV]    : 14.5708  (-3.60492  4.79432)
    R^2/D10^2   : 5.50275E-03  (-0.00351092   0.00979221)
    (R is the radius in km and D10 is the distance to the source in units of 10 kpc)
    ------------------------------------------------------------
    #Fit statistic : Chi-Squared =          77.89 using 59 PHA bins.
    # Reduced chi-squared =          1.367 for     57 degrees of freedom 
    # Null hypothesis probability =   3.441737e-02
     
    Energy  Fluence     90% Error
    [keV]   [erg/cm2]   [erg/cm2]
    15- 25  7.608e-08   3.581e-08
    25- 50  2.942e-07   1.166e-07
    50-150  4.195e-07   2.070e-07
    15-150  7.897e-07   3.066e-07
    
    Thermal bremsstrahlung (OTTB)
    XSPEC12>exit
     XSPEC: quit
     
     
    Spectral model: thermal bremsstrahlung
    ------------------------------------------------------------
    Parameters  : value         Lower 90%    Upper 90%
    kT [keV]    : 153.337       (-87.1376      -150.519)
    Norm        : 0.190012       (-0.0413284     0.0651825)
    ------------------------------------------------------------
     Reduced chi-squared = 
     
    Energy  Fluence     90% Error
    [keV]   [erg/cm2]   [erg/cm2]
    15- 25  1.509e-07   8.687e-08
    25- 50  2.805e-07   1.578e-07
    50-150  5.587e-07   3.379e-07
    15-150  9.900e-07   5.801e-07
    
    Double BB
    XSPEC12>exit
     XSPEC: quit
     
     
    Spectral model: bbodyrad<1> + bbodyrad<2>
    ------------------------------------------------------------
    Parameters  : value         Lower 90%    Upper 90%
    kT1 [keV]   : 3.61643        (-1.53127      2.42215)
    R1^2/D10^2  : 0.941247        (-0.852292      24.8179)
    kT2 [keV]   : 20.4483        (-5.66799      10.6431)
    R2^2/D10^2  : 1.44039E-03    (-0.00110602   0.00188334)
    ------------------------------------------------------------
     Reduced chi-squared = 
     
    Energy  Fluence     90% Error
    [keV]   [erg/cm2]   [erg/cm2]
    15- 25  1.948e-07   1.072e-07
    25- 50  2.228e-07   1.030e-07
    50-150  5.601e-07   3.405e-07
    15-150  9.777e-07   5.185e-07
    

    Peak spectrum fit

    Power-law model
    Time interval is from    5.184 sec. to    6.184 sec.
     
    Spectral model in power-law:
    ------------------------------------------------------------
    Parameters  : value       lower 90%   higher 90%
    Photon index: 1.29267     ( -0.688176   0.653887 )
    Norm@50keV  : 4.47657E-03    ( -0.00176021   0.00175755 )
    ------------------------------------------------------------
    #Fit statistic : Chi-Squared =          57.82 using 59 PHA bins.
    # Reduced chi-squared =          1.014 for     57 degrees of freedom 
    # Null hypothesis probability =   4.446178e-01
     
    Photon flux (15-150 keV)    in 1 sec: 0.533353 ( -0.218552  0.221671 ) ph/cm2/s
    Energy fluence (15-150 keV)             : 4.43164e-08 ( -1.82088e-08  1.84664e-08 ) ergs/cm2
     
    
    Cutoff power-law model
    Time interval is from    5.184 sec. to    6.184 sec.
    Spectral model in the cutoff power-law:
    ------------------------------------------------------------
    Parameters  : value       lower 90%   higher 90%
    Photon index: 0.206130     ( -0.20598   1.54103 )
    Epeak [keV] : 93.0567      ( -93.0524 -93.0524 )
    Norm@50keV  : 1.39493E-02    ( -0.0139515   215.794 )
    ------------------------------------------------------------
    #Fit statistic : Chi-Squared =          57.35 using 59 PHA bins.
    # Reduced chi-squared =          1.024 for     56 degrees of freedom 
    # Null hypothesis probability =   4.249427e-01
     
    Photon flux (15-150 keV)    in 1 sec: 0.512392 ( -0.284035  0.228318 ) ph/cm2/s
    Energy fluence (15-150 keV)             : 4.28251e-08 ( -1.85409e-08  1.90503e-08 ) ergs/cm2
     
    
    Band function
    Time interval is from    5.184 sec. to    6.184 sec.
     
    Spectral model in the Band function:
    ------------------------------------------------------------
    Parameters  : value       lower 90%   higher 90%
    alpha       : 4.37943   ( -1.34142   3.82573 )
    beta        : -1.46465    ( 8.43557   18.4356 )
    Epeak [keV] : 28.0611      ( -31.9564 267.299 )
    Norm@50keV   : 79.7102    ( -79.6767   106.482 )
    ------------------------------------------------------------
    #Fit statistic : Chi-Squared =          57.04 using 59 PHA bins.
    # Reduced chi-squared =          1.037 for     55 degrees of freedom 
    # Null hypothesis probability =   3.992701e-01
     
    Photon flux (15-150 keV)    in 1 sec:  (    ) ph/cm2/s
    Energy fluence (15-150 keV)             : 0 ( 0  0 ) ergs/cm2
     
    
    Single BB
     XSPEC: quit
     
     
    Spectral model blackbody:
    ------------------------------------------------------------
    Parameters  : value    Lower 90%  Upper 90%
    kT [keV]    : 19.1479  (-6.4963  11.9574)
    R^2/D10^2   : 2.91677E-02  (-0.0291677   0.0885403)
    (R is the radius in km and D10 is the distance to the source in units of 10 kpc)
    ------------------------------------------------------------
     Reduced chi-squared = 
     
    Energy  Fluence     90% Error
    [keV]   [erg/cm2]   [erg/cm2]
    15- 25  2.096e-09   1.415e-09
    25- 50  1.014e-08   6.555e-09
    50-150  2.735e-08   1.803e-08
    15-150  3.959e-08   2.599e-08
    
    Thermal bremsstrahlung (OTTB)
    XSPEC12>exit
     XSPEC: quit
     
     
    Spectral model: thermal bremsstrahlung
    ------------------------------------------------------------
    Parameters  : value         Lower 90%    Upper 90%
    kT [keV]    : 199.363       (-199.363      -199.363)
    Norm        : 2.25980       (-0.894567     0.894588)
    ------------------------------------------------------------
     Reduced chi-squared = 
     
    Energy  Fluence     90% Error
    [keV]   [erg/cm2]   [erg/cm2]
    15- 25  5.627e-09   3.775e-09
    25- 50  1.082e-08   6.965e-09
    50-150  2.374e-08   1.477e-08
    15-150  4.019e-08   2.663e-08
    
    Double BB
    XSPEC12>exit
     XSPEC: quit
     
     
    Spectral model: bbodyrad<1> + bbodyrad<2>
    ------------------------------------------------------------
    Parameters  : value         Lower 90%    Upper 90%
    kT1 [keV]   : 4.96820        (-4.96211      185.039)
    R1^2/D10^2  : 1.42460        (-1.43808      -1.43808)
    kT2 [keV]   : 22.3884        (-22.3856      -22.3856)
    R2^2/D10^2  : 1.55565E-02    (-0.0155649   0.0689987)
    ------------------------------------------------------------
     Reduced chi-squared = 
     
    Energy  Fluence     90% Error
    [keV]   [erg/cm2]   [erg/cm2]
    15- 25  4.808e-09   2.855e-09
    25- 50  9.818e-09   5.415e-09
    50-150  2.873e-08   1.938e-08
    15-150  4.336e-08   2.555e-08
    

    Pre-slew spectrum (Pre-slew PHA with pre-slew DRM)

    Power-law model
     
    Spectral model in power-law:
    ------------------------------------------------------------
    Parameters  : value       lower 90%   higher 90%
    Photon index: 1.50558     ( -0.321729   0.325488 )
    Norm@50keV  : 1.29974E-03    ( -0.000245162   0.000243916 )
    ------------------------------------------------------------
    #Fit statistic : Chi-Squared =          66.20 using 59 PHA bins.
    # Reduced chi-squared =          1.161 for     57 degrees of freedom 
    # Null hypothesis probability =   1.891876e-01
     
    Photon flux (15-150 keV)    in 50.45 sec: 0.162503 ( -0.0314795  0.0316568 ) ph/cm2/s
    Energy fluence (15-150 keV)             : 6.21483e-07 ( -1.25129e-07  1.26263e-07 ) ergs/cm2
     
    
    Cutoff power-law model
    Spectral model in the cutoff power-law:
    ------------------------------------------------------------
    Parameters  : value       lower 90%   higher 90%
    Photon index: 1.18131     ( -1.40201   1.3243 )
    Epeak [keV] : 136.594      ( -136.62 -136.62 )
    Norm@50keV  : 1.85516E-03    ( -0.00100504   0.00591606 )
    ------------------------------------------------------------
    #Fit statistic : Chi-Squared =          65.96 using 59 PHA bins.
    # Reduced chi-squared =          1.178 for     56 degrees of freedom 
    # Null hypothesis probability =   1.702833e-01
     
    Photon flux (15-150 keV)    in 50.45 sec: 0.160230 ( -0.032697  0.032455 ) ph/cm2/s
    Energy fluence (15-150 keV)             : 6.13538e-07 ( -1.28693e-07  1.29379e-07 ) ergs/cm2
     
    
    Band function
     
    Spectral model in the Band function:
    ------------------------------------------------------------
    Parameters  : value       lower 90%   higher 90%
    alpha       : -1.18990   ( -6.69789   1.19096 )
    beta        : -10.0000    ( 10   1.77636e-15 )
    Epeak [keV] : 136.196      ( -75.7515 -136.23 )
    Norm@50keV   : 1.85147E-03    ( -0.000779556   0.00593335 )
    ------------------------------------------------------------
    #Fit statistic : Chi-Squared =          65.97 using 59 PHA bins.
    # Reduced chi-squared =          1.199 for     55 degrees of freedom 
    # Null hypothesis probability =   1.478322e-01
     
    Photon flux (15-150 keV)    in 50.45 sec: 0.160154 (    ) ph/cm2/s
    Energy fluence (15-150 keV)             : 0 ( 0  0 ) ergs/cm2
     
    

    S(25-50 keV) vs. S(50-100 keV) plot

    S(25-50 keV)  = 2.75e-07
    S(50-100 keV) = 3.29e-07
    

    T90 vs. Hardness ratio plot

    T90                                   = 286.975999951363 sec.
    Hardness ratio (energy fluence ratio) = 1.19636
    

    Color vs. Color plot

    Count Ratio  (25-50 keV) / (15-25 keV) = 1.10946
    Count Ratio (50-100 keV) / (15-25 keV) = 0.80071
    

    Mask shadow pattern

    IMX = 7.279075773863132E-01, IMY = 3.818464470884497E-01
    

    TIME vs. PHA plot around the trigger time

    Blue+Cyan dotted lines: Time interval of the scaled map
    From 0.000000 to 8.192000
    

    TIME vs. DetID plot around the trigger time

    Blue+Cyan dotted lines: Time interval of the scaled map
    From 0.000000 to 8.192000
    

    100 us light curve (15-350 keV)

    Blue+Cyan dotted lines: Time interval of the scaled map
    From 0.000000 to 8.192000
    

    Spacecraft aspect plot

    Bright source in the pre-burst/pre-slew/post-slew images

    Pre-burst image of 15-350 keV band

    Time interval of the image:
    -239.056000 0.392000
     
    # RAcent  DECcent POSerr Theta    Phi  PeakCts   SNR AngSep     Name
    #  [deg]    [deg]    ['] [deg]  [deg]                   [']
    

    Pre-slew background subtracted image of 15-350 keV band

    Time interval of the image:
    0.392000 50.844600
     
    # RAcent  DECcent POSerr Theta    Phi  PeakCts   SNR AngSep     Name
    #  [deg]    [deg]    ['] [deg]  [deg]                   [']
    323.9337 -41.8732    1.6  39.4  -27.7   0.9106   7.3 ------	UNKNOWN                       
    

    Post-slew image of 15-350 keV band

    Time interval of the image:
    138.044600 326.844600
     
    # RAcent  DECcent POSerr Theta    Phi  PeakCts   SNR AngSep     Name
    #  [deg]    [deg]    ['] [deg]  [deg]                   [']
    274.1468 -13.8746    5.5  51.2  -41.8  -2.4567  -2.1   12.7	GX 17+2                       
    275.7447 -30.5145    7.8  39.9  -59.3   0.7529   1.5   12.9	H1820-303                     
    285.1834 -24.8558    4.4  36.1  -44.1  -0.9504  -2.6    8.9	HT1900.1-2455                 
     28.0161 -47.1640    2.6  44.7  150.0   3.6368   4.5 ------	UNKNOWN                       
    
    Plot creation:
    Thu Oct 16 13:38:30 EDT 2025