batgrbproduct analysis for trigger=1404904

batgrbproduct Analysis for Trigger=1404904

Analysis Summary

Notes:

======================================================================
                  BAT GRB EVENT DATA PROCESSING REPORT
    Process Script Ver: batgrbproduct v2.48
    Process Start Time (local time): Sat Oct 18 20:08:44 EDT 2025
             Host Name: batproc1
   Current Working Dir: /local/data/bat1/prebascript/trigger1404904/batgroup_hand_proc
======================================================================

  Trigger: 01404904      Segment: 000

  BAT Trigger Time: 782383281.152   [s; MET]
      Trigger Stop: 782383282.176   [s; MET]
               UTC: 2025-10-17T08:40:44.632520    [includes UTCF correction] 
       Where From?: TDRSS position message

  BAT 
    RA: 335.386417470042   Dec: 7.05068725437213  [deg; J2000]

     Catalogged Source?: NO
     Point Source?:      YES
     GRB Indicated?:     YES    [ by BAT flight software ]
     Image S/N Ratio:    9.52
     Image Trigger?:     NO
     Rate S/N Ratio:     15.7162336455017  [ if not an image trigger ]
     Image S/N Ratio:    9.52

  Flight Position:   [ source = BAT ]
    RA: 335.386417470042   Dec: 7.05068725437213  [deg; J2000]

  Ground Position:   [ source = BAT pre-slew burst ]
    RA: 335.404195153812   Dec: 7.04843941039666  [deg; J2000]  
        { 22h 21m 37.0s , +07d 02' 54.4" }
         +/- 1.26282457891258 [arcmin] (estimated 90% radius based on SNR)
         +/- 0.435853674642934 [arcmin] (formal 1-sigma fit error)
    SNR: 21.7942851268771
 
  Angular difference between Flight and Ground position is 1.067154 arcmin
 
  Partial Coding Fraction: 0.9375    [ including projection effects ]

  Duration
     T90: 116.896000027657 +/- 61.9135087019101
        Measured from: -2.16799998283386
                   to: 114.728000044823     [s; relative to TRIGTIME]
     T50: 15.6800000667572 +/- 8.32178823988608
        Measured from: 2.15200006961823
                   to: 17.8320001363754     [s; relative to TRIGTIME]



  Fluence
     Peak Flux  (peak 1 second)
        Measured from: 6.41200006008148     
                   to: 7.41200006008148     [s; relative to TRIGTIME]
     Total Fluence        
        Measured from: -5.4799998998642     
                   to: 125.080000042915     [s; relative to TRIGTIME]
     
             Band 1     Band 2     Band 3     Band 4
              15-25      25-50     50-100    100-350     keV
 Total     0.480279   0.721431   0.528098   0.158661
           0.065598   0.068529   0.057903   0.048578 [error]
 Peak      0.035327   0.064304   0.050826   0.010245
           0.006332   0.007123   0.006353   0.004772 [error]

     [ fluence units of on-axis counts / fully illuminated detector ] 

======================================================================
 
=== Fluence/Peak Flux Summary ===
 
              Model    Band1    Band2    Band3    Band4    Band5    Total      
                       15-25    25-50   50-100  100-350   15-150   15-350   keV
Fluence   Power-law 1.44e-07 2.82e-07 4.29e-07 1.42e-06 1.20e-06 2.27e-06   erg/cm2
              Error 2.82e-08 3.20e-08 5.82e-08 4.40e-07 1.41e-07 4.76e-07   erg/cm2
Peak flux Power-law 3.44e-01 4.10e-01 3.53e-01 5.17e-01 1.29e+00 1.62e+00   ph/cm2/s
              Error 7.56e-02 5.67e-02 4.93e-02 1.47e-01 1.60e-01 2.08e-01   ph/cm2/s
 
Fluence   Cutoff-PL 1.45e-07 2.83e-07 4.28e-07 1.39e-06 1.20e-06 2.25e-06   erg/cm2
              Error 2.39e-08 3.06e-08 5.81e-08 2.76e-07 1.34e-07 7.24e-07   erg/cm2
Peak flux Cutoff-PL 3.11e-01 4.33e-01 3.73e-01 2.87e-01 1.27e+00 1.40e+00   ph/cm2/s
              Error 8.73e-02 6.74e-02 5.81e-02 -------- 1.62e-01 2.03e-01   ph/cm2/s
 
Fluence        Band -------- -------- -------- -------- -------- --------   erg/cm2
              Error -------- -------- -------- -------- -------- --------   erg/cm2
Peak flux      Band -------- -------- -------- -------- -------- --------   ph/cm2/s
              Error -------- -------- -------- -------- -------- --------   ph/cm2/s
 
=== Time-averaged spectral analysis ===
 
Model Ph_index Ph_90err Epeak  Epeak_90err Norm     Nomr_90err chi2   dof
PL    1.396    0.197    -      -           9.53e-04 9.91e-05   58.860 57
CPL   2.392    0.343     133.6    0.0      2.82e-04 0.00e+00   54.550 56
 
 
=== 1-s peak spectral analysis ===
 
Model Ph_index Ph_90err Epeak  Epeak_90err Norm     Nomr_90err chi2   dof
PL    1.217    0.198    -      -           1.10e-02 1.33e-03   61.690 57
CPL   0.668    0.803     125.8    0.0      2.05e-02 0.00e+00   60.130 56
 
Model      : spectral model: simple power-law (PL) and cutoff power-law (CPL)
Ph_index   : photon index: E^-{Ph_index} (minus sign is not included in the index)
Ph_90err   : 90% error of the photon index
Epeak      : Epeak in keV
Epeak_90err: 90% error of Epeak
Norm       : normalization at 50 keV in PL model and at 1 keV in CPL model
Nomr_90err : 90% error of the normalization
chi2       : Chi-Squared
dof        : degree of freedom
 
=== T90/T50 calculation in the 50-300 keV band (BATSE band) using 64 ms lc ===
 
T90 in the 50-300 keV band: 22.208000 sec.
T50 in the 50-300 keV band: 6.592000 sec.
 
=== Table of the duration information ==
 
        Value   tstart    tstop
T100  130.560   -5.480  125.080
T90   116.896   -2.168  114.728
T50    15.680    2.152   17.832
Peak    1.000    6.412    7.412
  • Click here for the BAT GCN circular template
  • Estimated redshift from machine learning (Ukwatta et al. 2016) - may take a few minutes to calcaulte

    Image

    Pre-slew 15-350 keV image (Event data; bkg subtracted)

    #   RAcent  DECcent POSerr  Theta    Phi     Peak Cts     SNR  Name
      335.4042  +7.0484 0.0088   21.1   -0.8       1.3200    21.8  TRIG_01404904       
    ------------------------------------------
     
    Foreground time interval of the image:
     -5.480  15.949 (delta_t =  21.429 [sec])
    Background time interval of the image:
    -60.152  -5.480 (delta_t =  54.672 [sec])
    

    Lightcurves

    Notes:

    1 s binning

    From T0-310 s to T0+310 s
    From T100_start - 20 s to T100_end + 30 s
    Full time interval

    64 ms binning

    Full time interval
    From T100_start to T100_end
    From T0-5 sec to T0+5 sec

    16 ms binning

    From T100_start-5 s to T100_start+5 s
    Blue+Cyan dotted lines: Time interval of the scaled map
    From 0.000000 to 1.024000
    

    8 ms binning

    From T100_start-3 s to T100_start+3 s
    Blue+Cyan dotted lines: Time interval of the scaled map
    From 0.000000 to 1.024000
    

    2 ms binning

    From T100_start-1 s to T100_start+1 s
    Blue+Cyan dotted lines: Time interval of the scaled map
    From 0.000000 to 1.024000
    

    SN=5 or 10 sec. binning (whichever binning is satisfied first)

    SN=5 or 10 sec. binning (T < 200 sec)

    Spectra

    Notes:

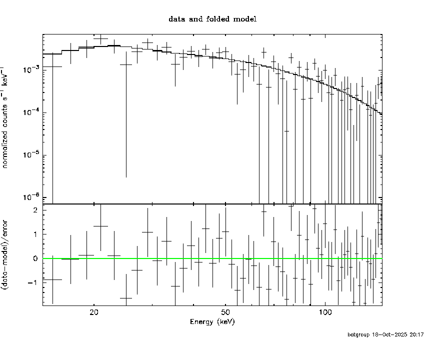
    Time averaged spectrum fit using the pre-slew DRM

    Power-law model
    Time interval is from   -5.480 sec. to  125.080 sec.
     
    Spectral model in power-law:
    ------------------------------------------------------------
    Parameters  : value       lower 90%   higher 90%
    Photon index: 1.39628     ( -0.198098   0.196119 )
    Norm@50keV  : 9.53236E-04    ( -9.92594e-05   9.892e-05 )
    ------------------------------------------------------------
    #Fit statistic : Chi-Squared =          58.86 using 59 PHA bins.
    # Reduced chi-squared =          1.033 for     57 degrees of freedom 
    # Null hypothesis probability =   4.072219e-01
     
    Photon flux (15-150 keV)    in 130.6 sec: 0.115989 ( -0.0123332  0.0123618 ) ph/cm2/s
    Energy fluence (15-150 keV)             : 1.20384e-06 ( -1.40322e-07  1.41489e-07 ) ergs/cm2
     
    
    Cutoff power-law model
    Time interval is from   -5.480 sec. to  125.080 sec.
    Spectral model in the cutoff power-law:
    ------------------------------------------------------------
    Parameters  : value       lower 90%   higher 90%
    Photon index: 2.39203     ( -0.562586   0.122641 )
    Epeak [keV] : 133.559      (   )
    Norm@50keV  : 2.81580E-04    (     )
    ------------------------------------------------------------
    #Fit statistic : Chi-Squared =          54.55 using 59 PHA bins.
    # Reduced chi-squared =         0.9742 for     56 degrees of freedom 
    # Null hypothesis probability =   5.297754e-01
     
    Photon flux (15-150 keV)    in 130.6 sec: 0.115951 ( -0.012349  0.012343 ) ph/cm2/s
    Energy fluence (15-150 keV)             : 1.20132e-06 ( -1.37757e-07  1.31168e-07 ) ergs/cm2
     
    
    Band function
    Time interval is from   -5.480 sec. to  125.080 sec.
     
    Spectral model in the Band function:
    ------------------------------------------------------------
    Parameters  : value       lower 90%   higher 90%
    alpha       : -1.17743   ( 1.17742   1.17742 )
    beta        : -1.39620    ( -0.196122   0.198276 )
    Epeak [keV] : 20.8335      ( -20.8274 -20.8274 )
    Norm@50keV   : 1.91966E-03    ( -0.001065   0.00708597 )
    ------------------------------------------------------------
    #Fit statistic : Chi-Squared =          58.86 using 59 PHA bins.
    # Reduced chi-squared =          1.070 for     55 degrees of freedom 
    # Null hypothesis probability =   3.361303e-01
     
    Photon flux (15-150 keV)    in 130.6 sec:  (    ) ph/cm2/s
    Energy fluence (15-150 keV)             : 0 ( 0  0 ) ergs/cm2
     
    
    Single BB
     
    Spectral model blackbody:
    ------------------------------------------------------------
    Parameters  : value    Lower 90%  Upper 90%
    kT [keV]    : 16.1108  (-3.24355  4.65416)
    R^2/D10^2   : 9.74714E-03  (-0.00545182   0.011483)
    (R is the radius in km and D10 is the distance to the source in units of 10 kpc)
    ------------------------------------------------------------
    #Fit statistic : Chi-Squared =         107.68 using 59 PHA bins.
    # Reduced chi-squared =         1.8891 for     57 degrees of freedom 
    # Null hypothesis probability =   5.757973e-05
     
    Energy  Fluence     90% Error
    [keV]   [erg/cm2]   [erg/cm2]
    15- 25  6.821e-08   1.574e-08
    25- 50  2.887e-07   4.754e-08
    50-150  5.252e-07   1.075e-07
    15-150  8.821e-07   1.394e-07
    
    Thermal bremsstrahlung (OTTB)
    XSPEC12>exit
     XSPEC: quit
     
     
    Spectral model: thermal bremsstrahlung
    ------------------------------------------------------------
    Parameters  : value         Lower 90%    Upper 90%
    kT [keV]    : 200.000       (-44.4577      -200)
    Norm        : 0.476199       (-0.0494326     0.0494326)
    ------------------------------------------------------------
     Reduced chi-squared = 
     
    Energy  Fluence     90% Error
    [keV]   [erg/cm2]   [erg/cm2]
    15- 25  1.549e-07   4.361e-08
    25- 50  2.979e-07   1.601e-07
    50-150  6.534e-07   3.465e-07
    15-150  1.106e-06   5.825e-07
    
    Double BB
    XSPEC12>exit
     XSPEC: quit
     
     
    Spectral model: bbodyrad<1> + bbodyrad<2>
    ------------------------------------------------------------
    Parameters  : value         Lower 90%    Upper 90%
    kT1 [keV]   : 7.30115        (-1.34805      1.56313)
    R1^2/D10^2  : 0.127228        (-0.0642974      0.144229)
    kT2 [keV]   : 54.6217        (-19.5321      97.4755)
    R2^2/D10^2  : 2.14996E-04    (-0.000156318   0.000465453)
    ------------------------------------------------------------
     Reduced chi-squared = 
     
    Energy  Fluence     90% Error
    [keV]   [erg/cm2]   [erg/cm2]
    15- 25  1.569e-07   6.036e-08
    25- 50  2.830e-07   8.580e-08
    50-150  8.763e-07   4.422e-07
    15-150  1.316e-06   5.113e-07
    

    Peak spectrum fit

    Power-law model
    Time interval is from    6.412 sec. to    7.412 sec.
     
    Spectral model in power-law:
    ------------------------------------------------------------
    Parameters  : value       lower 90%   higher 90%
    Photon index: 1.21720     ( -0.199575   0.196047 )
    Norm@50keV  : 1.09564E-02    ( -0.00132821   0.00132796 )
    ------------------------------------------------------------
    #Fit statistic : Chi-Squared =          61.69 using 59 PHA bins.
    # Reduced chi-squared =          1.082 for     57 degrees of freedom 
    # Null hypothesis probability =   3.120339e-01
     
    Photon flux (15-150 keV)    in 1 sec: 1.28926 ( -0.159625  0.159839 ) ph/cm2/s
    Energy fluence (15-150 keV)             : 1.10623e-07 ( -1.47638e-08  1.48814e-08 ) ergs/cm2
     
    
    Cutoff power-law model
    Time interval is from    6.412 sec. to    7.412 sec.
    Spectral model in the cutoff power-law:
    ------------------------------------------------------------
    Parameters  : value       lower 90%   higher 90%
    Photon index: 0.668391     ( -0.896205   0.709206 )
    Epeak [keV] : 125.848      (   )
    Norm@50keV  : 2.05189E-02    (     )
    ------------------------------------------------------------
    #Fit statistic : Chi-Squared =          60.13 using 59 PHA bins.
    # Reduced chi-squared =          1.074 for     56 degrees of freedom 
    # Null hypothesis probability =   3.285563e-01
     
    Photon flux (15-150 keV)    in 1 sec: 1.26986 ( -0.16235  0.16224 ) ph/cm2/s
    Energy fluence (15-150 keV)             : 1.06993e-07 ( -1.61105e-08  1.5892e-08 ) ergs/cm2
     
    
    Band function
    Time interval is from    6.412 sec. to    7.412 sec.
     
    Spectral model in the Band function:
    ------------------------------------------------------------
    Parameters  : value       lower 90%   higher 90%
    alpha       : 2.87641   ( -4.34043   -3.72098 )
    beta        : -1.44487    ( -0.392804   0.312752 )
    Epeak [keV] : 36.3555      ( -20.5031 61.6652 )
    Norm@50keV   : 5.95242    ( -5.94793   102.58 )
    ------------------------------------------------------------
    #Fit statistic : Chi-Squared =          58.47 using 59 PHA bins.
    # Reduced chi-squared =          1.063 for     55 degrees of freedom 
    # Null hypothesis probability =   3.492536e-01
     
    Photon flux (15-150 keV)    in 1 sec:  (    ) ph/cm2/s
    Energy fluence (15-150 keV)             : 0 ( 0  0 ) ergs/cm2
     
    
    Single BB
     XSPEC: quit
     
     
    Spectral model blackbody:
    ------------------------------------------------------------
    Parameters  : value    Lower 90%  Upper 90%
    kT [keV]    : 17.3516  (-2.67173  3.32304)
    R^2/D10^2   : 9.58920E-02  (-0.0425477   0.0728798)
    (R is the radius in km and D10 is the distance to the source in units of 10 kpc)
    ------------------------------------------------------------
     Reduced chi-squared = 
     
    Energy  Fluence     90% Error
    [keV]   [erg/cm2]   [erg/cm2]
    15- 25  5.846e-09   1.421e-09
    25- 50  2.629e-08   5.465e-09
    50-150  5.687e-08   1.358e-08
    15-150  8.900e-08   1.752e-08
    
    Thermal bremsstrahlung (OTTB)
    XSPEC12>exit
     XSPEC: quit
     
     
    Spectral model: thermal bremsstrahlung
    ------------------------------------------------------------
    Parameters  : value         Lower 90%    Upper 90%
    kT [keV]    : 200.000       (-37.4362      -200)
    Norm        : 5.32481       (-0.656548     0.656548)
    ------------------------------------------------------------
     Reduced chi-squared = 
     
    Energy  Fluence     90% Error
    [keV]   [erg/cm2]   [erg/cm2]
    15- 25  1.326e-08   7.515e-09
    25- 50  2.550e-08   1.407e-08
    50-150  5.593e-08   3.109e-08
    15-150  9.469e-08   5.235e-08
    
    Double BB
    XSPEC12>exit
     XSPEC: quit
     
     
    Spectral model: bbodyrad<1> + bbodyrad<2>
    ------------------------------------------------------------
    Parameters  : value         Lower 90%    Upper 90%
    kT1 [keV]   : 9.69680        (-3.00298      3.61869)
    R1^2/D10^2  : 0.439874        (-0.256756      0.469984)
    kT2 [keV]   : 37.4133        (-12.0517      -37.4211)
    R2^2/D10^2  : 5.71639E-03    (-0.00514935   0.0228781)
    ------------------------------------------------------------
     Reduced chi-squared = 
     
    Energy  Fluence     90% Error
    [keV]   [erg/cm2]   [erg/cm2]
    15- 25  9.412e-09   5.104e-09
    25- 50  2.705e-08   1.438e-08
    50-150  7.296e-08   3.957e-08
    15-150  1.094e-07   5.365e-08
    

    Pre-slew spectrum (Pre-slew PHA with pre-slew DRM)

    Power-law model
     
    Spectral model in power-law:
    ------------------------------------------------------------
    Parameters  : value       lower 90%   higher 90%
    Photon index: 1.28730     ( -0.115334   0.114206 )
    Norm@50keV  : 4.12251E-03    ( -0.000267677   0.000267661 )
    ------------------------------------------------------------
    #Fit statistic : Chi-Squared =          60.83 using 59 PHA bins.
    # Reduced chi-squared =          1.067 for     57 degrees of freedom 
    # Null hypothesis probability =   3.396781e-01
     
    Photon flux (15-150 keV)    in 21.43 sec: 0.490695 ( -0.0331618  0.0332129 ) ph/cm2/s
    Energy fluence (15-150 keV)             : 8.75752e-07 ( -6.24669e-08  6.2734e-08 ) ergs/cm2
     
    
    Cutoff power-law model
    Spectral model in the cutoff power-law:
    ------------------------------------------------------------
    Parameters  : value       lower 90%   higher 90%
    Photon index: 1.19693     ( -0.442057   0.146712 )
    Epeak [keV] : 441.545      ( -481.497 -481.497 )
    Norm@50keV  : 4.55836E-03    ( -0.00125049   0.00275295 )
    ------------------------------------------------------------
    #Fit statistic : Chi-Squared =          60.74 using 59 PHA bins.
    # Reduced chi-squared =          1.085 for     56 degrees of freedom 
    # Null hypothesis probability =   3.091613e-01
     
    Photon flux (15-150 keV)    in 21.43 sec: 0.488796 ( -0.034241  0.034182 ) ph/cm2/s
    Energy fluence (15-150 keV)             : 8.7117e-07 ( -6.63151e-08  6.55629e-08 ) ergs/cm2
     
    
    Band function
     
    Spectral model in the Band function:
    ------------------------------------------------------------
    Parameters  : value       lower 90%   higher 90%
    alpha       : 3.99521   ( -3.99578   -3.99578 )
    beta        : -1.32797    ( -0.135668   0.129377 )
    Epeak [keV] : 24.8687      ( -24.8631 109.623 )
    Norm@50keV   : 66.3126    ( -66.4169   102.266 )
    ------------------------------------------------------------
    #Fit statistic : Chi-Squared =          59.85 using 59 PHA bins.
    # Reduced chi-squared =          1.088 for     55 degrees of freedom 
    # Null hypothesis probability =   3.040254e-01
     
    Photon flux (15-150 keV)    in 21.43 sec:  (    ) ph/cm2/s
    Energy fluence (15-150 keV)             : 0 ( 0  0 ) ergs/cm2
     
    

    S(25-50 keV) vs. S(50-100 keV) plot

    S(25-50 keV)  = 2.82e-07
    S(50-100 keV) = 4.29e-07
    

    T90 vs. Hardness ratio plot

    T90                                   = 116.896000027657 sec.
    Hardness ratio (energy fluence ratio) = 1.52128
    

    Color vs. Color plot

    Count Ratio  (25-50 keV) / (15-25 keV) = 1.50211
    Count Ratio (50-100 keV) / (15-25 keV) = 1.09957
    

    Mask shadow pattern

    IMX = 3.855045564478867E-01, IMY = 5.642856939992835E-03
    

    TIME vs. PHA plot around the trigger time

    Blue+Cyan dotted lines: Time interval of the scaled map
    From 0.000000 to 1.024000
    

    TIME vs. DetID plot around the trigger time

    Blue+Cyan dotted lines: Time interval of the scaled map
    From 0.000000 to 1.024000
    

    100 us light curve (15-350 keV)

    Blue+Cyan dotted lines: Time interval of the scaled map
    From 0.000000 to 1.024000
    

    Spacecraft aspect plot

    Bright source in the pre-burst/pre-slew/post-slew images

    Pre-burst image of 15-350 keV band

    Time interval of the image:
    -60.152000 -5.480000
     
    # RAcent  DECcent POSerr Theta    Phi  PeakCts   SNR AngSep     Name
    #  [deg]    [deg]    ['] [deg]  [deg]                   [']
    326.0972  38.2398    8.6  51.6   18.6   0.4764   1.3    6.0	Cyg X-2                       
    359.9341  15.9828    4.0  26.4   64.7   0.3985   2.9 ------	UNKNOWN                       
    355.3473 -47.0767    2.6  38.9 -143.8   0.6702   4.4 ------	UNKNOWN                       
    330.7163 -41.1016    2.3  36.8 -113.5   0.9489   5.0 ------	UNKNOWN                       
    297.4862  10.1096    2.2  55.2  -29.1   2.4481   5.3 ------	UNKNOWN                       
    

    Pre-slew background subtracted image of 15-350 keV band

    Time interval of the image:
    -5.480000 15.948600
     
    # RAcent  DECcent POSerr Theta    Phi  PeakCts   SNR AngSep     Name
    #  [deg]    [deg]    ['] [deg]  [deg]                   [']
    326.2443  38.3454   17.9  51.7   18.8  -0.1701  -0.6    3.7	Cyg X-2                       
    335.4042   7.0484    0.5  21.1   -0.8   1.3201  21.8 ------	UNKNOWN                       
    

    Post-slew image of 15-350 keV band

    Time interval of the image:
    95.748600 242.895700
    498.848000 548.231400
    549.848000 561.735800
    563.848000 574.730800
    584.848000 589.658400
    591.848000 615.963800
    617.848000 962.903700
     
    # RAcent  DECcent POSerr Theta    Phi  PeakCts   SNR AngSep     Name
    #  [deg]    [deg]    ['] [deg]  [deg]                   [']
    299.5733  35.2102    0.7  43.2  -37.8  24.5147  17.4    1.0	Cyg X-1                       
    308.0316  40.9377    3.4  41.7  -25.0   4.5972   3.4    3.7	Cyg X-3                       
    326.0248  38.2361    5.5  32.3   -7.3   1.7390   2.1    8.6	Cyg X-2                       
    355.6681 -37.7734    2.3  48.7  165.1  10.6969   5.1 ------	UNKNOWN                       
    332.3940  16.7419    2.7  10.1  -10.0   3.5061   4.3 ------	UNKNOWN                       
    299.3967 -20.3408    2.4  44.7 -122.0  15.9794   4.9 ------	UNKNOWN                       
    299.5159 -24.9996    3.1  47.4 -127.3  15.3074   3.7 ------	UNKNOWN                       
    
    Plot creation:
    Sat Oct 18 20:18:20 EDT 2025