batgrbproduct analysis for trigger=1417793

batgrbproduct Analysis for Trigger=1417793

Analysis Summary

Notes:

======================================================================
                  BAT GRB EVENT DATA PROCESSING REPORT
    Process Script Ver: batgrbproduct v2.48
    Process Start Time (local time): Thu Nov 27 17:25:16 EST 2025
             Host Name: batproc1
   Current Working Dir: /local/data/bat1/prebascript/trigger1417793/GCN5_download_cron
======================================================================

  Trigger: 01417793      Segment: 000

  BAT Trigger Time: 785877073.408   [s; MET]
      Trigger Stop: 785877074.432   [s; MET]
               UTC: 2025-11-26T19:10:36.651740    [includes UTCF correction] 
       Where From?: TDRSS position message

  BAT 
    RA: 99.910589438464   Dec: 54.9869505481003  [deg; J2000]

     Catalogged Source?: NO
     Point Source?:      YES
     GRB Indicated?:     YES    [ by BAT flight software ]
     Image S/N Ratio:    12.31
     Image Trigger?:     NO
     Rate S/N Ratio:     23.6220236220354  [ if not an image trigger ]
     Image S/N Ratio:    12.31

  Flight Position:   [ source = BAT ]
    RA: 99.910589438464   Dec: 54.9869505481003  [deg; J2000]

  Ground Position:   [ source = BAT pre-slew burst ]
    RA: 99.9389909592308   Dec: 54.9894190548697  [deg; J2000]  
        { 06h 39m 45.4s , +54d 59' 21.9" }
         +/- 1.25094928583142 [arcmin] (estimated 90% radius based on SNR)
         +/- 0.506571559175492 [arcmin] (formal 1-sigma fit error)
    SNR: 22.0904477079381
 
  Angular difference between Flight and Ground position is 0.988869 arcmin
 
  Partial Coding Fraction: 0.96875    [ including projection effects ]

  Duration
     T90: 9 +/- 2
        Measured from: -0.407999873161316
                   to: 8.59200012683868     [s; relative to TRIGTIME]
     T50: 4 +/- 1
        Measured from: 0.592000126838684
                   to: 4.59200012683868     [s; relative to TRIGTIME]



  Fluence
     Peak Flux  (peak 1 second)
        Measured from: 0.592000007629395     
                   to: 1.59200000762939     [s; relative to TRIGTIME]
     Total Fluence        
        Measured from: -0.407999992370605     
                   to: 10.5920000076294     [s; relative to TRIGTIME]
     
             Band 1     Band 2     Band 3     Band 4
              15-25      25-50     50-100    100-350     keV
 Total     0.263243   0.389890   0.190021   0.037301
           0.020588   0.021334   0.017515   0.013198 [error]
 Peak      0.044660   0.063463   0.041116   0.016100
           0.006688   0.006968   0.005794   0.004295 [error]

     [ fluence units of on-axis counts / fully illuminated detector ] 

======================================================================
 
=== Fluence/Peak Flux Summary ===
 
              Model    Band1    Band2    Band3    Band4    Band5    Total      
                       15-25    25-50   50-100  100-350   15-150   15-350   keV
Fluence   Power-law 8.70e-08 1.36e-07 1.61e-07 3.69e-07 4.92e-07 7.54e-07   erg/cm2
              Error 9.18e-09 9.57e-09 1.65e-08 7.61e-08 3.94e-08 9.24e-08   erg/cm2
Peak flux Power-law 4.55e-01 4.37e-01 2.92e-01 3.04e-01 1.31e+00 1.49e+00   ph/cm2/s
              Error 9.12e-02 5.47e-02 4.79e-02 1.01e-01 1.59e-01 1.83e-01   ph/cm2/s
 
Fluence   Cutoff-PL 7.55e-08 1.58e-07 1.57e-07 6.28e-08 4.37e-07 4.53e-07   erg/cm2
              Error 1.07e-08 1.42e-08 2.11e-08 5.20e-08 4.48e-08 6.72e-08   erg/cm2
Peak flux Cutoff-PL 4.55e-01 4.37e-01 2.92e-01 3.02e-01 1.31e+00 1.49e+00   ph/cm2/s
              Error 6.98e-02 5.88e-02 4.84e-02 1.50e-01 1.59e-01 2.16e-01   ph/cm2/s
 
Fluence        Band 7.17e-08 1.64e-07 1.48e-07 1.68e-07 4.51e-07 5.53e-07   erg/cm2
              Error 8.47e-09 1.49e-08 1.98e-08 -------- 4.34e-08 1.08e-07   erg/cm2
Peak flux      Band 0.00e+00 0.00e+00 0.00e+00 0.00e+00 0.00e+00 0.00e+00   ph/cm2/s
              Error -------- 3.42e-02 2.56e-02 -------- 5.54e-02 --------   ph/cm2/s
 
=== Time-averaged spectral analysis ===
 
Model Ph_index Ph_90err Epeak  Epeak_90err Norm     Nomr_90err chi2   dof
PL    1.760    0.119    -      -           4.85e-03 3.75e-04   72.990 57
CPL   0.430    0.707      51.4    8.8      2.68e-02 3.04e-02   58.430 56
 
 
=== 1-s peak spectral analysis ===
 
Model Ph_index Ph_90err Epeak  Epeak_90err Norm     Nomr_90err chi2   dof
PL    1.581    0.214    -      -           1.02e-02 1.31e-03   51.730 57
CPL   1.583    0.223    9999.3    0.0      1.02e-02 1.16e-02   51.740 56
 
Model      : spectral model: simple power-law (PL) and cutoff power-law (CPL)
Ph_index   : photon index: E^-{Ph_index} (minus sign is not included in the index)
Ph_90err   : 90% error of the photon index
Epeak      : Epeak in keV
Epeak_90err: 90% error of Epeak
Norm       : normalization at 50 keV in PL model and at 1 keV in CPL model
Nomr_90err : 90% error of the normalization
chi2       : Chi-Squared
dof        : degree of freedom
 
=== T90/T50 calculation in the 50-300 keV band (BATSE band) using 64 ms lc ===
 
T90 in the 50-300 keV band: 9.472000 sec.
T50 in the 50-300 keV band: 3.968000 sec.
 
=== Table of the duration information ==
 
        Value   tstart    tstop
T100   11.000   -0.408   10.592
T90     9.000   -0.408    8.592
T50     4.000    0.592    4.592
Peak    1.000    0.592    1.592
  • Click here for the BAT GCN circular template
  • Estimated redshift from machine learning (Ukwatta et al. 2016) - may take a few minutes to calcaulte

    Image

    Pre-slew 15-350 keV image (Event data; bkg subtracted)

    #   RAcent  DECcent POSerr  Theta    Phi     Peak Cts     SNR  Name
       99.9390 +54.9894 0.0087   17.6  -32.8       0.8316    22.1  TRIG_01417793       
    ------------------------------------------
     
    Foreground time interval of the image:
     -0.408   9.393 (delta_t =   9.801 [sec])
    Background time interval of the image:
    -239.408 -46.588 (delta_t = 192.820 [sec])
    -44.408 -33.508 (delta_t =  10.900 [sec])
    -32.408  -0.408 (delta_t =  32.000 [sec])
    

    Lightcurves

    Notes:

    1 s binning

    From T0-310 s to T0+310 s
    From T100_start - 20 s to T100_end + 30 s
    Full time interval

    64 ms binning

    Full time interval
    From T100_start to T100_end
    From T0-5 sec to T0+5 sec

    16 ms binning

    From T100_start-5 s to T100_start+5 s

    8 ms binning

    From T100_start-3 s to T100_start+3 s

    2 ms binning

    From T100_start-1 s to T100_start+1 s

    SN=5 or 10 sec. binning (whichever binning is satisfied first)

    SN=5 or 10 sec. binning (T < 200 sec)

    Spectra

    Notes:

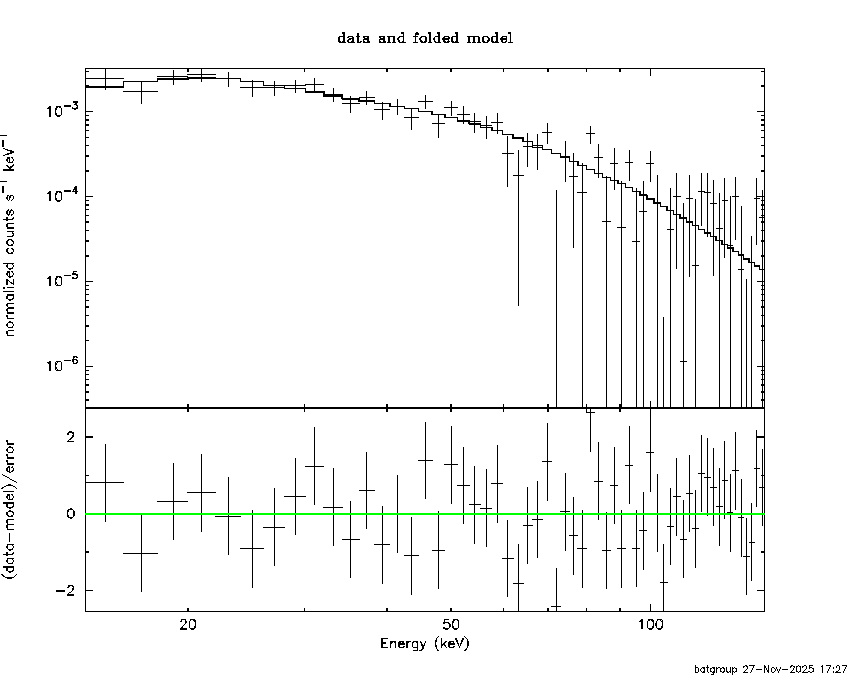
    Time averaged spectrum fit using the pre-slew DRM

    Power-law model
    Time interval is from   -0.408 sec. to   10.592 sec.
     
    Spectral model in power-law:
    ------------------------------------------------------------
    Parameters  : value       lower 90%   higher 90%
    Photon index: 1.75983     ( -0.118077   0.12051 )
    Norm@50keV  : 4.85053E-03    ( -0.000376233   0.000373058 )
    ------------------------------------------------------------
    #Fit statistic : Chi-Squared =          72.99 using 59 PHA bins.
    # Reduced chi-squared =          1.281 for     57 degrees of freedom 
    # Null hypothesis probability =   7.520419e-02
     
    Photon flux (15-150 keV)    in 11 sec: 0.658265 ( -0.0465254  0.046556 ) ph/cm2/s
    Energy fluence (15-150 keV)             : 4.92074e-07 ( -3.92282e-08  3.959e-08 ) ergs/cm2
     
    
    Cutoff power-law model
    Time interval is from   -0.408 sec. to   10.592 sec.
    Spectral model in the cutoff power-law:
    ------------------------------------------------------------
    Parameters  : value       lower 90%   higher 90%
    Photon index: 0.430166     ( -0.768939   0.64442 )
    Epeak [keV] : 51.3510      ( -6.2895 11.2428 )
    Norm@50keV  : 2.67733E-02    ( -0.0149836   0.0457166 )
    ------------------------------------------------------------
    #Fit statistic : Chi-Squared =          58.43 using 59 PHA bins.
    # Reduced chi-squared =          1.043 for     56 degrees of freedom 
    # Null hypothesis probability =   3.862467e-01
     
    Photon flux (15-150 keV)    in 11 sec: 0.626504 ( -0.048776  0.048805 ) ph/cm2/s
    Energy fluence (15-150 keV)             : 4.3689e-07 ( -4.38284e-08  4.58612e-08 ) ergs/cm2
     
    
    Band function
    Time interval is from   -0.408 sec. to   10.592 sec.
     
    Spectral model in the Band function:
    ------------------------------------------------------------
    Parameters  : value       lower 90%   higher 90%
    alpha       : 0.312766   ( -0.879818   3.03204 )
    beta        : -2.49496    ( -0.841681   0.450393 )
    Epeak [keV] : 43.9276      ( -11.2065 9.29377 )
    Norm@50keV   : 7.95173E-02    ( -0.081756   8.70765 )
    ------------------------------------------------------------
    #Fit statistic : Chi-Squared =          54.63 using 59 PHA bins.
    # Reduced chi-squared =         0.9932 for     55 degrees of freedom 
    # Null hypothesis probability =   4.887754e-01
     
    Photon flux (15-150 keV)    in 11 sec: 0.0 ( 7  0 ) ph/cm2/s
    Energy fluence (15-150 keV)             : 4.50961e-07 ( -4.50884e-07  -4.28736e-08 ) ergs/cm2
     
    
    Single BB
     
    Spectral model blackbody:
    ------------------------------------------------------------
    Parameters  : value    Lower 90%  Upper 90%
    kT [keV]    : 11.5301  (-0.832611  0.911174)
    R^2/D10^2   : 0.190806  (-0.0475246   0.0620434)
    (R is the radius in km and D10 is the distance to the source in units of 10 kpc)
    ------------------------------------------------------------
    #Fit statistic : Chi-Squared =          72.68 using 59 PHA bins.
    # Reduced chi-squared =          1.275 for     57 degrees of freedom 
    # Null hypothesis probability =   7.880847e-02
     
    Energy  Fluence     90% Error
    [keV]   [erg/cm2]   [erg/cm2]
    15- 25  5.876e-08   7.299e-09
    25- 50  1.763e-07   1.485e-08
    50-150  1.371e-07   2.489e-08
    15-150  3.721e-07   2.915e-08
    
    Thermal bremsstrahlung (OTTB)
    XSPEC12>exit
     XSPEC: quit
     
     
    Spectral model: thermal bremsstrahlung
    ------------------------------------------------------------
    Parameters  : value         Lower 90%    Upper 90%
    kT [keV]    : 100.271       (-22.0937      34.2623)
    Norm        : 2.93984       (-0.275719     0.309707)
    ------------------------------------------------------------
     Reduced chi-squared = 
     
    Energy  Fluence     90% Error
    [keV]   [erg/cm2]   [erg/cm2]
    15- 25  8.452e-08   9.729e-09
    25- 50  1.462e-07   1.161e-08
    50-150  2.373e-07   7.689e-08
    15-150  4.681e-07   8.294e-08
    
    Double BB
    XSPEC12>exit
     XSPEC: quit
     
     
    Spectral model: bbodyrad<1> + bbodyrad<2>
    ------------------------------------------------------------
    Parameters  : value         Lower 90%    Upper 90%
    kT1 [keV]   : 9.61775        (-1.83085      1.34771)
    R1^2/D10^2  : 0.323346        (-0.10821      0.233298)
    kT2 [keV]   : 43.2167        (-23.2883      -43.3506)
    R2^2/D10^2  : 8.35381E-04    (-0.000781291   0.012889)
    ------------------------------------------------------------
     Reduced chi-squared = 
     
    Energy  Fluence     90% Error
    [keV]   [erg/cm2]   [erg/cm2]
    15- 25  6.814e-08   1.071e-08
    25- 50  1.698e-07   3.190e-08
    50-150  2.251e-07   9.909e-08
    15-150  4.631e-07   1.273e-07
    

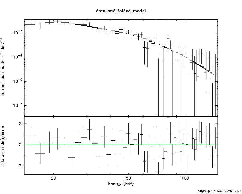
    Peak spectrum fit

    Power-law model
    Time interval is from    0.592 sec. to    1.592 sec.
     
    Spectral model in power-law:
    ------------------------------------------------------------
    Parameters  : value       lower 90%   higher 90%
    Photon index: 1.58065     ( -0.212247   0.21639 )
    Norm@50keV  : 1.02303E-02    ( -0.00131737   0.00129913 )
    ------------------------------------------------------------
    #Fit statistic : Chi-Squared =          51.73 using 59 PHA bins.
    # Reduced chi-squared =         0.9076 for     57 degrees of freedom 
    # Null hypothesis probability =   6.723052e-01
     
    Photon flux (15-150 keV)    in 1 sec: 1.30688 ( -0.159259  0.159426 ) ph/cm2/s
    Energy fluence (15-150 keV)             : 9.59077e-08 ( -1.32914e-08  1.34562e-08 ) ergs/cm2
     
    
    Cutoff power-law model
    Time interval is from    0.592 sec. to    1.592 sec.
    Spectral model in the cutoff power-law:
    ------------------------------------------------------------
    Parameters  : value       lower 90%   higher 90%
    Photon index: 1.58277     ( -0.230212   0.215037 )
    Epeak [keV] : 9999.34      ( -9999.36 -9999.36 )
    Norm@50keV  : 1.02032E-02    ( -0.00670558   0.0164671 )
    ------------------------------------------------------------
    #Fit statistic : Chi-Squared =          51.74 using 59 PHA bins.
    # Reduced chi-squared =         0.9240 for     56 degrees of freedom 
    # Null hypothesis probability =   6.366898e-01
     
    Photon flux (15-150 keV)    in 1 sec: 1.30655 ( -0.15926  0.15928 ) ph/cm2/s
    Energy fluence (15-150 keV)             : 9.58261e-08 ( -1.39559e-08  1.38439e-08 ) ergs/cm2
     
    
    Band function
    Time interval is from    0.592 sec. to    1.592 sec.
     
    Spectral model in the Band function:
    ------------------------------------------------------------
    Parameters  : value       lower 90%   higher 90%
    alpha       : -0.892652   ( 1.02508   6.0144 )
    beta        : -1.64900    ( 1.64675   0.268262 )
    Epeak [keV] : 50.8629      ( -50.932 -50.932 )
    Norm@50keV   : 2.91521E-02    ( -0.0298615   0.892328 )
    ------------------------------------------------------------
    #Fit statistic : Chi-Squared =          51.47 using 59 PHA bins.
    # Reduced chi-squared =         0.9358 for     55 degrees of freedom 
    # Null hypothesis probability =   6.102385e-01
     
    Photon flux (15-150 keV)    in 1 sec: 0.0 ( 7  0 ) ph/cm2/s
    Energy fluence (15-150 keV)             : 0 ( 0  0 ) ergs/cm2
     
    
    Single BB
     XSPEC: quit
     
     
    Spectral model blackbody:
    ------------------------------------------------------------
    Parameters  : value    Lower 90%  Upper 90%
    kT [keV]    : 12.7357  (-1.80969  2.18855)
    R^2/D10^2   : 0.259929  (-0.113893   0.192844)
    (R is the radius in km and D10 is the distance to the source in units of 10 kpc)
    ------------------------------------------------------------
     Reduced chi-squared = 
     
    Energy  Fluence     90% Error
    [keV]   [erg/cm2]   [erg/cm2]
    15- 25  8.942e-09   1.937e-09
    25- 50  3.012e-08   5.065e-09
    50-150  3.051e-08   8.530e-09
    15-150  6.956e-08   1.132e-08
    
    Thermal bremsstrahlung (OTTB)
    XSPEC12>exit
     XSPEC: quit
     
     
    Spectral model: thermal bremsstrahlung
    ------------------------------------------------------------
    Parameters  : value         Lower 90%    Upper 90%
    kT [keV]    : 191.190       (-86.8393      -188.557)
    Norm        : 5.31896       (-0.652959     0.782506)
    ------------------------------------------------------------
     Reduced chi-squared = 
     
    Energy  Fluence     90% Error
    [keV]   [erg/cm2]   [erg/cm2]
    15- 25  1.332e-08   7.345e-09
    25- 50  2.549e-08   1.379e-08
    50-150  5.512e-08   2.973e-08
    15-150  9.392e-08   5.165e-08
    
    Double BB
    XSPEC12>exit
     XSPEC: quit
     
     
    Spectral model: bbodyrad<1> + bbodyrad<2>
    ------------------------------------------------------------
    Parameters  : value         Lower 90%    Upper 90%
    kT1 [keV]   : 9.81830        (-0.903497      1.70085)
    R1^2/D10^2  : 0.580065        (-0.258313      0.309663)
    kT2 [keV]   : 200.000        (-200      -200)
    R2^2/D10^2  : 1.60345E-04    (-5.00677e-05   4.99753e-05)
    ------------------------------------------------------------
     Reduced chi-squared = 
     
    Energy  Fluence     90% Error
    [keV]   [erg/cm2]   [erg/cm2]
    15- 25  1.270e-08   7.695e-09
    25- 50  2.394e-08   1.326e-08
    50-150  4.444e-08   2.597e-08
    15-150  8.108e-08   4.357e-08
    

    Pre-slew spectrum (Pre-slew PHA with pre-slew DRM)

    Power-law model
     
    Spectral model in power-law:
    ------------------------------------------------------------
    Parameters  : value       lower 90%   higher 90%
    Photon index: 1.79007     ( -0.117981   0.120594 )
    Norm@50keV  : 5.23167E-03    ( -0.000404624   0.000400913 )
    ------------------------------------------------------------
    #Fit statistic : Chi-Squared =          72.05 using 59 PHA bins.
    # Reduced chi-squared =          1.264 for     57 degrees of freedom 
    # Null hypothesis probability =   8.647238e-02
     
    Photon flux (15-150 keV)    in 9.801 sec: 0.718159 ( -0.050058  0.0500869 ) ph/cm2/s
    Energy fluence (15-150 keV)             : 4.72224e-07 ( -3.72112e-08  3.7561e-08 ) ergs/cm2
     
    
    Cutoff power-law model
    Spectral model in the cutoff power-law:
    ------------------------------------------------------------
    Parameters  : value       lower 90%   higher 90%
    Photon index: 0.617587     ( -0.734408   0.614694 )
    Epeak [keV] : 51.2376      ( -6.69267 12.7602 )
    Norm@50keV  : 2.36522E-02    ( -0.0128203   0.0377236 )
    ------------------------------------------------------------
    #Fit statistic : Chi-Squared =          59.91 using 59 PHA bins.
    # Reduced chi-squared =          1.070 for     56 degrees of freedom 
    # Null hypothesis probability =   3.358230e-01
     
    Photon flux (15-150 keV)    in 9.801 sec: 0.686688 ( -0.052557  0.05252 ) ph/cm2/s
    Energy fluence (15-150 keV)             : 4.24422e-07 ( -4.22521e-08  4.38193e-08 ) ergs/cm2
     
    
    Band function
     
    Spectral model in the Band function:
    ------------------------------------------------------------
    Parameters  : value       lower 90%   higher 90%
    alpha       : 4.73556E-02   ( -0.876851   3.16996 )
    beta        : -2.45185    ( -0.619654   0.415714 )
    Epeak [keV] : 43.6865      ( -11.9482 9.30926 )
    Norm@50keV   : 6.30347E-02    ( -0.0734338   11.1019 )
    ------------------------------------------------------------
    #Fit statistic : Chi-Squared =          56.13 using 59 PHA bins.
    # Reduced chi-squared =          1.021 for     55 degrees of freedom 
    # Null hypothesis probability =   4.321829e-01
     
    Photon flux (15-150 keV)    in 9.801 sec: 0.0 ( 7  0 ) ph/cm2/s
    Energy fluence (15-150 keV)             : 4.35712e-07 ( -4.35644e-07  -4.09113e-08 ) ergs/cm2
     
    

    S(25-50 keV) vs. S(50-100 keV) plot

    S(25-50 keV)  = 1.36e-07
    S(50-100 keV) = 1.61e-07
    

    T90 vs. Hardness ratio plot

    T90                                   = 9 sec.
    Hardness ratio (energy fluence ratio) = 1.18382
    

    Color vs. Color plot

    Count Ratio  (25-50 keV) / (15-25 keV) = 1.4811
    Count Ratio (50-100 keV) / (15-25 keV) = 0.721846
    

    Mask shadow pattern

    IMX = 2.667983901685141E-01, IMY = 1.719159436935526E-01
    

    TIME vs. PHA plot around the trigger time

    TIME vs. DetID plot around the trigger time

    100 us light curve (15-350 keV)

    Spacecraft aspect plot

    Bright source in the pre-burst/pre-slew/post-slew images

    Pre-burst image of 15-350 keV band

    Time interval of the image:
    -239.408000 -46.588000
    -44.408000 -33.508000
    -32.408000 -0.408000
     
    # RAcent  DECcent POSerr Theta    Phi  PeakCts   SNR AngSep     Name
    #  [deg]    [deg]    ['] [deg]  [deg]                   [']
     83.6211  22.0083    0.8  35.1   44.7   9.1691  14.5    0.8	Crab                          
     19.4437  29.9955    2.2  43.0  143.8   5.2565   5.3 ------	UNKNOWN                       
    357.6539  36.6606    2.4  50.4  168.5   5.1876   4.9 ------	UNKNOWN                       
     88.6635  45.4660    2.4  15.9    9.0   1.5605   4.9 ------	UNKNOWN                       
     86.4432  53.6752    2.2  10.3  -19.0   1.6380   5.2 ------	UNKNOWN                       
     94.7207  73.0574    2.3  20.6  -89.9   1.7656   4.9 ------	UNKNOWN                       
    243.8873  82.1957    2.6  42.4 -110.0   5.9850   4.5 ------	UNKNOWN                       
    

    Pre-slew background subtracted image of 15-350 keV band

    Time interval of the image:
    -0.408000 9.392610
     
    # RAcent  DECcent POSerr Theta    Phi  PeakCts   SNR AngSep     Name
    #  [deg]    [deg]    ['] [deg]  [deg]                   [']
     83.5134  21.9151   16.0  35.2   44.9   0.0466   0.7    8.9	Crab                          
     99.9390  54.9894    0.5  17.6  -32.8   0.8314  22.1 ------	UNKNOWN                       
    

    Post-slew image of 15-350 keV band

    Time interval of the image:
    63.792610 79.722000
    80.592000 962.670300
     
    # RAcent  DECcent POSerr Theta    Phi  PeakCts   SNR AngSep     Name
    #  [deg]    [deg]    ['] [deg]  [deg]                   [']
     83.6385  22.0183    0.9  35.1   62.7  36.1735  13.2    0.4	Crab                          
      3.7080  55.2959    2.6  50.4  168.5  15.9866   4.5 ------	UNKNOWN                       
    112.6004  48.2421    2.7  10.3  -18.8   4.4003   4.3 ------	UNKNOWN                       
    145.1375   8.3559    2.3  58.7  -19.4  21.7698   4.9 ------	UNKNOWN                       
    
    Plot creation:
    Thu Nov 27 17:28:28 EST 2025