batgrbproduct Analysis for Trigger=150532

Analysis Summary

Notes:

======================================================================
                  BAT GRB EVENT DATA PROCESSING REPORT
    Process Script Ver: batgrbproduct v2.46
    Process Start Time (local time): Wed Jan 22 20:54:57 EST 2014
             Host Name: batevent1
   Current Working Dir: /local/data/batevent/batevent_reproc/trigger150532
======================================================================

  Trigger: 00150532      Segment: 000

  BAT Trigger Time: 145819518.4   [s; MET]
      Trigger Stop: 145819520.448   [s; MET]
               UTC: 2005-08-15T17:25:18.723840    [includes UTCF correction] 
       Where From?: TDRSS position message

  BAT 
    RA: 293.574656755954   Dec: 9.16636481502104  [deg; J2000]

     Catalogged Source?: NO
     Point Source?:      YES
     GRB Indicated?:     YES    [ by BAT flight software ]
     Image S/N Ratio:    8.78
     Image Trigger?:     NO
     Rate S/N Ratio:     12.6095202129185  [ if not an image trigger ]
     Image S/N Ratio:    8.78

  Flight Position:   [ source = BAT ]
    RA: 293.574656755954   Dec: 9.16636481502104  [deg; J2000]

  Ground Position:   [ source = BAT pre-slew burst ]
    RA: 293.586029591279   Dec: 9.13916585505451  [deg; J2000]  
        { 19h 34m 20.6s , +09d 08' 21.0" }
         +/- 2.02346551917523 [arcmin] (estimated 90% radius based on SNR)
         +/- 1.05251402914945 [arcmin] (formal 1-sigma fit error)
    SNR: 11.1131878127321
 
  Angular difference between Flight and Ground position is 1.765522 arcmin
 
  Partial Coding Fraction: 1.015625    [ including projection effects ]

  Duration
     T90: 2.99200001358986 +/- 0.614751980694982
        Measured from: -0.527999997138977
                   to: 2.46400001645088     [s; relative to TRIGTIME]
     T50: 1.57600000500679 +/- 0.455385567529134
        Measured from: 0.167999982833862
                   to: 1.74399998784065     [s; relative to TRIGTIME]



  Fluence
     Peak Flux  (peak 1 second)
        Measured from: -0.0999999940395355     
                   to: 0.900000005960464     [s; relative to TRIGTIME]
     Total Fluence        
        Measured from: -0.72800001502037     
                   to: 2.72400000691414     [s; relative to TRIGTIME]
     
             Band 1     Band 2     Band 3     Band 4
              15-25      25-50     50-100    100-350     keV
 Total     0.061182   0.081721   0.038575   0.007388
           0.009620   0.009637   0.008107   0.006604 [error]
 Peak      0.022093   0.026531   0.018884   0.004788
           0.005127   0.005140   0.004431   0.003492 [error]

     [ fluence units of on-axis counts / fully illuminated detector ] 

======================================================================
 
=== Fluence/Peak Flux Summary ===
 
              Model    Band1    Band2    Band3    Band4    Band5    Total      
                       15-25    25-50   50-100  100-350   15-150   15-350   keV
Fluence   Power-law 1.83e-08 2.78e-08 3.16e-08 6.84e-08 9.82e-08 1.46e-07   erg/cm2
              Error 3.65e-09 4.05e-09 7.17e-09 3.02e-08 1.71e-08 3.82e-08   erg/cm2
Peak flux Power-law 1.95e-01 1.81e-01 1.16e-01 1.15e-01 5.40e-01 6.08e-01   ph/cm2/s
              Error 6.14e-02 3.85e-02 3.42e-02 6.58e-02 1.14e-01 1.32e-01   ph/cm2/s
 
Fluence   Cutoff-PL 1.55e-08 3.56e-08 2.69e-08 4.22e-09 8.19e-08 8.23e-08   erg/cm2
              Error 4.26e-09 6.09e-09 9.56e-09 9.12e-09 1.60e-08 1.79e-08   erg/cm2
Peak flux Cutoff-PL 1.68e-01 2.10e-01 1.18e-01 2.72e-02 5.18e-01 5.24e-01   ph/cm2/s
              Error 7.02e-02 5.33e-02 4.31e-02 6.93e-02 1.16e-01 1.32e-01   ph/cm2/s
 
Fluence        Band -------- -------- -------- -------- -------- --------   erg/cm2
              Error -------- -------- -------- -------- -------- --------   erg/cm2
Peak flux      Band -------- -------- -------- -------- -------- --------   ph/cm2/s
              Error -------- -------- -------- -------- -------- --------   ph/cm2/s
 
=== Time-averaged spectral analysis ===
 
Model Ph_index Ph_90err Epeak  Epeak_90err Norm     Nomr_90err chi2   dof
PL    1.815    0.242    -      -           3.09e-03 5.29e-04   62.540 57
CPL  -0.405    1.526      43.6    9.3      6.21e-02 3.18e-01   53.330 56
 
 
=== 1-s peak spectral analysis ===
 
Model Ph_index Ph_90err Epeak  Epeak_90err Norm     Nomr_90err chi2   dof
PL    1.637    0.352    -      -           4.15e-03 9.62e-04   35.740 57
CPL   0.318    1.789      55.7  -21.5      2.28e-02 2.03e-01   33.590 56
 
Model      : spectral model: simple power-law (PL) and cutoff power-law (CPL)
Ph_index   : photon index: E^-{Ph_index} (minus sign is not included in the index)
Ph_90err   : 90% error of the photon index
Epeak      : Epeak in keV
Epeak_90err: 90% error of Epeak
Norm       : normalization at 50 keV in PL model and at 1 keV in CPL model
Nomr_90err : 90% error of the normalization
chi2       : Chi-Squared
dof        : degree of freedom
 
=== T90/T50 calculation in the 50-300 keV band (BATSE band) using 64 ms lc ===
 
T90 in the 50-300 keV band: 0.000000 sec.
T50 in the 50-300 keV band: 0.000000 sec.
 
=== Table of the duration information ==
 
        Value   tstart    tstop
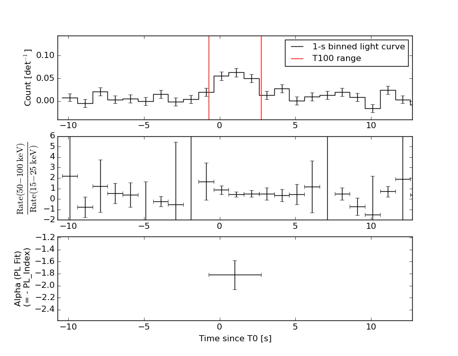
T100    3.452   -0.728    2.724
T90     2.992   -0.528    2.464
T50     1.576    0.168    1.744
Peak    1.000   -0.100    0.900
  • Click here for the BAT GCN circular template
  • Special notes of this burst

    Image

    Pre-slew 15.0-350.0 keV image (Event data)

    #   RAcent    DECcent   POSerr    Theta     Phi              Peak Cts       SNR   Name
      293.5860     9.1392   0.0173     8.2108    31.9231         0.1986825     11.113 TRIG_00150532                 
     
    Foreground time interval of the image:
     -0.728   2.724 (delta_t =   3.452 [sec])
    Background time interval of the image:
    -299.400  -0.728 (delta_t = 298.672 [sec])
    

    Lightcurves

    Notes:

    1 s binning

    From T0-310 s to T0+310 s
    From T100_start - 20 s to T100_end + 30 s
    Full time interval

    64 ms binning

    Full time interval
    From T100_start to T100_end
    From T0-5 sec to T0+5 sec

    16 ms binning

    From T100_start-5 s to T100_start+5 s
    Blue+Cyan dotted lines: Time interval of the scaled map
    From 0.000000 to 2.048000
    

    8 ms binning

    From T100_start-3 s to T100_start+3 s
    Blue+Cyan dotted lines: Time interval of the scaled map
    From 0.000000 to 2.048000
    

    2 ms binning

    From T100_start-1 s to T100_start+1 s
    Blue+Cyan dotted lines: Time interval of the scaled map
    From 0.000000 to 2.048000
    

    SN=5 or 10 sec. binning (whichever binning is satisfied first)

    SN=5 or 10 sec. binning (T < 200 sec)

    Quad-rate summed light curves (from T0-300s to T0+1000s)

    Spectral Evolution

    Spectra

    Notes:

    Time averaged spectrum fit using the average DRM

    Power-law model
    Time interval is from   -0.728 sec. to    2.724 sec.
     
    Spectral model in power-law:
    ------------------------------------------------------------
    Parameters  : value       lower 90%   higher 90%
    Photon index: 1.81522     ( -0.236289   0.248688 )
    Norm@50keV  : 3.09043E-03    ( -0.000533724   0.00052449 )
    ------------------------------------------------------------
    #Fit statistic : Chi-Squared =          62.54 using 59 PHA bins.
    # Reduced chi-squared =          1.097 for     57 degrees of freedom 
    # Null hypothesis probability =   2.861251e-01
     
    Photon flux (15-150 keV)    in 3.452 sec: 0.428394 ( -0.0622871  0.0622912 ) ph/cm2/s
    Energy fluence (15-150 keV)             : 9.81587e-08 ( -1.68821e-08  1.73889e-08 ) ergs/cm2
     
    
    Cutoff power-law model
    Time interval is from   -0.728 sec. to    2.724 sec.
    Spectral model in the cutoff power-law:
    ------------------------------------------------------------
    Parameters  : value       lower 90%   higher 90%
    Photon index: -0.404751     ( -1.71604   1.33673 )
    Epeak [keV] : 43.6273      ( -6.98248 11.6466 )
    Norm@50keV  : 6.21138E-02    ( -0.0625673   0.573702 )
    ------------------------------------------------------------
    #Fit statistic : Chi-Squared =          53.33 using 59 PHA bins.
    # Reduced chi-squared =         0.9523 for     56 degrees of freedom 
    # Null hypothesis probability =   5.765858e-01
     
    Photon flux (15-150 keV)    in 3.452 sec: 0.405033 ( -0.031398  0.062378 ) ph/cm2/s
    Energy fluence (15-150 keV)             : 8.1858e-08 ( -1.47777e-08  1.71996e-08 ) ergs/cm2
     
    
    Band function
    Time interval is from   -0.728 sec. to    2.724 sec.
     
    Spectral model in the Band function:
    ------------------------------------------------------------
    Parameters  : value       lower 90%   higher 90%
    alpha       : 0.220379   ( -1.16149   -0.259243 )
    beta        : -4.03606    ( 4.07677   12.2764 )
    Epeak [keV] : 44.1761      ( -15.7166 9.62245 )
    Norm@50keV   : 4.82285E-02    ( -0.0234942   64.5648 )
    ------------------------------------------------------------
    #Fit statistic : Chi-Squared =          53.32 using 59 PHA bins.
    # Reduced chi-squared =         0.9694 for     55 degrees of freedom 
    # Null hypothesis probability =   5.391949e-01
     
    Photon flux (15-150 keV)    in 3.452 sec:  (    ) ph/cm2/s
    Energy fluence (15-150 keV)             : 0 ( 0  0 ) ergs/cm2
     
    
    Single BB
     
    Spectral model blackbody:
    ------------------------------------------------------------
    Parameters  : value    Lower 90%  Upper 90%
    kT [keV]    : 10.8651  (-1.4738  1.70217)
    R^2/D10^2   : 0.159776  (-0.0676557   0.115591)
    (R is the radius in km and D10 is the distance to the source in units of 10 kpc)
    ------------------------------------------------------------
    #Fit statistic : Chi-Squared =          54.69 using 59 PHA bins.
    # Reduced chi-squared =         0.9595 for     57 degrees of freedom 
    # Null hypothesis probability =   5.622582e-01
     
    Energy  Fluence     90% Error
    [keV]   [erg/cm2]   [erg/cm2]
    15- 25  1.357e-08   3.191e-09
    25- 50  3.776e-08   7.334e-09
    50-150  2.494e-08   8.616e-09
    15-150  7.627e-08   1.571e-08
    
    Thermal bremsstrahlung (OTTB)
     
     
    Spectral model: thermal bremsstrahlung
    ------------------------------------------------------------
    Parameters  : value         Lower 90%    Upper 90%
    kT [keV]    : 80.2527       (-28.3578      60.8952)
    Norm        : 2.05308       (-0.386949     0.484723)
    ------------------------------------------------------------
    #Fit statistic : Chi-Squared =          58.01 using 59 PHA bins.
    # Reduced chi-squared =          1.018 for     57 degrees of freedom 
    # Null hypothesis probability =   4.377288e-01
     
    Energy  Fluence     90% Error
    [keV]   [erg/cm2]   [erg/cm2]
    15- 25  1.839e-08   3.466e-09
    25- 50  3.030e-08   5.768e-09
    50-150  4.287e-08   2.523e-08
    15-150  9.156e-08   2.762e-08
    
    Double BB
     
     
    Spectral model: bbodyrad<1> + bbodyrad<2>
    ------------------------------------------------------------
    Parameters  : value         Lower 90%    Upper 90%
    kT1 [keV]   : 5.62964        (-5.62502      -5.62502)
    R1^2/D10^2  : 0.595505        (-0.596367      -0.596367)
    kT2 [keV]   : 13.0534        (-13.0399      -13.0399)
    R2^2/D10^2  : 6.52820E-02    (-0.0656343   0.154348)
    ------------------------------------------------------------
    #Fit statistic : Chi-Squared =          52.92 using 59 PHA bins.
    # Reduced chi-squared =         0.9622 for     55 degrees of freedom 
    # Null hypothesis probability =   5.545092e-01
     
    Energy  Fluence     90% Error
    [keV]   [erg/cm2]   [erg/cm2]
    15- 25  1.600e-08   8.428e-09
    25- 50  3.497e-08   1.849e-08
    50-150  3.090e-08   1.862e-08
    15-150  8.186e-08   4.249e-08
    

    Peak spectrum fit

    Power-law model
    Time interval is from   -0.100 sec. to    0.900 sec.
     
    Spectral model in power-law:
    ------------------------------------------------------------
    Parameters  : value       lower 90%   higher 90%
    Photon index: 1.63671     ( -0.343479   0.36093 )
    Norm@50keV  : 4.15299E-03    ( -0.00097286   0.000951044 )
    ------------------------------------------------------------
    #Fit statistic : Chi-Squared =          35.74 using 59 PHA bins.
    # Reduced chi-squared =         0.6270 for     57 degrees of freedom 
    # Null hypothesis probability =   9.877017e-01
     
    Photon flux (15-150 keV)    in 1 sec: 0.539925 ( -0.113811  0.113863 ) ph/cm2/s
    Energy fluence (15-150 keV)             : 3.86783e-08 ( -9.42104e-09  9.74974e-09 ) ergs/cm2
     
    
    Cutoff power-law model
    Time interval is from   -0.100 sec. to    0.900 sec.
    Spectral model in the cutoff power-law:
    ------------------------------------------------------------
    Parameters  : value       lower 90%   higher 90%
    Photon index: 0.317945     ( -2.21169   1.36572 )
    Epeak [keV] : 55.6924      ( -12.6005 -55.6923 )
    Norm@50keV  : 2.27505E-02    ( -0.0227506   0.38406 )
    ------------------------------------------------------------
    #Fit statistic : Chi-Squared =          33.59 using 59 PHA bins.
    # Reduced chi-squared =         0.5998 for     56 degrees of freedom 
    # Null hypothesis probability =   9.923956e-01
     
    Photon flux (15-150 keV)    in 1 sec: 0.518289 ( -0.115457  0.116325 ) ph/cm2/s
    Energy fluence (15-150 keV)             : 3.42633e-08 ( -9.5197e-09  1.08888e-08 ) ergs/cm2
     
    
    Band function
    Time interval is from   -0.100 sec. to    0.900 sec.
     
    Spectral model in the Band function:
    ------------------------------------------------------------
    Parameters  : value       lower 90%   higher 90%
    alpha       : -0.333178   ( -7.19573   1.48482 )
    beta        : -10.00000    ( 10   20 )
    Epeak [keV] : 55.8221      ( -16.7596 330.09 )
    Norm@50keV   : 2.23237E-02    ( -0.0046128   0.383953 )
    ------------------------------------------------------------
    #Fit statistic : Chi-Squared =          33.59 using 59 PHA bins.
    # Reduced chi-squared =         0.6107 for     55 degrees of freedom 
    # Null hypothesis probability =   9.899368e-01
     
    Photon flux (15-150 keV)    in 1 sec:  (    ) ph/cm2/s
    Energy fluence (15-150 keV)             : 3.4653e-08 ( 0  0 ) ergs/cm2
     
    
    Single BB
     
    Spectral model blackbody:
    ------------------------------------------------------------
    Parameters  : value    Lower 90%  Upper 90%
    kT [keV]    : 12.3221  (-2.67421  3.44369)
    R^2/D10^2   : 0.125891  (-0.0745983   0.178502)
    (R is the radius in km and D10 is the distance to the source in units of 10 kpc)
    ------------------------------------------------------------
    #Fit statistic : Chi-Squared =          35.67 using 59 PHA bins.
    # Reduced chi-squared =         0.6257 for     57 degrees of freedom 
    # Null hypothesis probability =   9.879993e-01
     
    Energy  Fluence     90% Error
    [keV]   [erg/cm2]   [erg/cm2]
    15- 25  4.050e-09   1.631e-09
    25- 50  1.314e-08   5.969e-09
    50-150  1.221e-08   5.969e-09
    15-150  2.940e-08   9.690e-09
    
    Thermal bremsstrahlung (OTTB)
     
     
    Spectral model: thermal bremsstrahlung
    ------------------------------------------------------------
    Parameters  : value         Lower 90%    Upper 90%
    kT [keV]    : 135.556       (-73.0574      -132.892)
    Norm        : 2.27221       (-0.517046     0.73104)
    ------------------------------------------------------------
    #Fit statistic : Chi-Squared =          34.57 using 59 PHA bins.
    # Reduced chi-squared =         0.6065 for     57 degrees of freedom 
    # Null hypothesis probability =   9.917989e-01
     
    Energy  Fluence     90% Error
    [keV]   [erg/cm2]   [erg/cm2]
    15- 25  5.880e-09   3.283e-09
    25- 50  1.073e-08   6.085e-09
    50-150  2.028e-08   1.294e-08
    15-150  3.690e-08   2.257e-08
    
    Double BB
     
     
    Spectral model: bbodyrad<1> + bbodyrad<2>
    ------------------------------------------------------------
    Parameters  : value         Lower 90%    Upper 90%
    kT1 [keV]   : 6.36450        (-6.34255      -6.34255)
    R1^2/D10^2  : 0.680143        (-0.683873      -0.683873)
    kT2 [keV]   : 17.8113        (-17.7903      -17.7903)
    R2^2/D10^2  : 2.47028E-02    (-0.0248291   0.136706)
    ------------------------------------------------------------
    #Fit statistic : Chi-Squared =          33.18 using 59 PHA bins.
    # Reduced chi-squared =         0.6032 for     55 degrees of freedom 
    # Null hypothesis probability =   9.913192e-01
     
    Energy  Fluence     90% Error
    [keV]   [erg/cm2]   [erg/cm2]
    15- 25  5.540e-09   3.495e-09
    25- 50  1.171e-08   5.930e-09
    50-150  1.711e-08   1.035e-08
    15-150  3.435e-08   1.782e-08
    

    Pre-slew spectrum (Pre-slew PHA with pre-slew DRM)

    Power-law model
     
    Spectral model in power-law:
    ------------------------------------------------------------
    Parameters  : value       lower 90%   higher 90%
    Photon index: 1.81522     ( -0.236289   0.248688 )
    Norm@50keV  : 3.09043E-03    ( -0.000533724   0.00052449 )
    ------------------------------------------------------------
    #Fit statistic : Chi-Squared =          62.54 using 59 PHA bins.
    # Reduced chi-squared =          1.097 for     57 degrees of freedom 
    # Null hypothesis probability =   2.861251e-01
     
    Photon flux (15-150 keV)    in 3.452 sec: 0.428394 ( -0.0622871  0.0622912 ) ph/cm2/s
    Energy fluence (15-150 keV)             : 9.81587e-08 ( -1.68821e-08  1.73889e-08 ) ergs/cm2
     
    
    Cutoff power-law model
    Spectral model in the cutoff power-law:
    ------------------------------------------------------------
    Parameters  : value       lower 90%   higher 90%
    Photon index: -0.404751     ( -1.71604   1.33673 )
    Epeak [keV] : 43.6273      ( -6.98248 11.6466 )
    Norm@50keV  : 6.21138E-02    ( -0.0625673   0.573702 )
    ------------------------------------------------------------
    #Fit statistic : Chi-Squared =          53.33 using 59 PHA bins.
    # Reduced chi-squared =         0.9523 for     56 degrees of freedom 
    # Null hypothesis probability =   5.765858e-01
     
    Photon flux (15-150 keV)    in 3.452 sec: 0.405033 ( -0.031398  0.062378 ) ph/cm2/s
    Energy fluence (15-150 keV)             : 8.1858e-08 ( -1.47777e-08  1.71996e-08 ) ergs/cm2
     
    
    Band function
     
    Spectral model in the Band function:
    ------------------------------------------------------------
    Parameters  : value       lower 90%   higher 90%
    alpha       : 0.220379   ( -1.16149   -0.259243 )
    beta        : -4.03606    ( 4.07677   12.2764 )
    Epeak [keV] : 44.1761      ( -15.7166 9.62245 )
    Norm@50keV   : 4.82285E-02    ( -0.0234942   64.5648 )
    ------------------------------------------------------------
    #Fit statistic : Chi-Squared =          53.32 using 59 PHA bins.
    # Reduced chi-squared =         0.9694 for     55 degrees of freedom 
    # Null hypothesis probability =   5.391949e-01
     
    Photon flux (15-150 keV)    in 3.452 sec:  (    ) ph/cm2/s
    Energy fluence (15-150 keV)             : 0 ( 0  0 ) ergs/cm2
     
    

    S(25-50 keV) vs. S(50-100 keV) plot

    S(25-50 keV)  = 2.78e-08
    S(50-100 keV) = 3.16e-08
    

    T90 vs. Hardness ratio plot

    T90                                   = 2.99200001358986 sec.
    Hardness ratio (energy fluence ratio) = 1.13669
    

    Color vs. Color plot

    Count Ratio  (25-50 keV) / (15-25 keV) = 1.3357
    Count Ratio (50-100 keV) / (15-25 keV) = 0.630496
    

    Mask shadow pattern

    IMX = 1.224717432326633E-01, IMY = -7.630036168813809E-02
    

    TIME vs. PHA plot around the trigger time

    Blue+Cyan dotted lines: Time interval of the scaled map
    From 0.000000 to 2.048000
    

    TIME vs. DetID plot around the trigger time

    Blue+Cyan dotted lines: Time interval of the scaled map
    From 0.000000 to 2.048000
    

    100 us light curve (15-350 keV)

    Blue+Cyan dotted lines: Time interval of the scaled map
    From 0.000000 to 2.048000
    

    Spacecraft aspect plot

    Bright source in the pre-burst/pre-slew/post-slew images

    Pre-burst image of 15-350 keV band

    Time interval of the image:
    -299.400000 -0.728000
     
    # RAcent  DECcent POSerr Theta    Phi  PeakCts   SNR AngSep     Name
    #  [deg]    [deg]    ['] [deg]  [deg]                   [']
    244.9848 -15.6504    0.7  45.9 -147.3   7.8651  15.5    0.7	Sco X-1                       
    254.3973  35.4716    9.8  42.1  -69.4   1.2367   1.2    8.3	Her X-1                       
    256.0847 -37.8969    8.6  51.5 -179.0   0.8404   1.3    5.6	4U 1700-377                   
    256.4302 -36.5018    4.7  50.2 -178.1  -1.3542  -2.5    4.7	GX 349+2                      
    263.1073 -24.8279    6.2  37.6 -173.6   0.4860   1.9    7.3	GX 1+4                        
    264.8693 -44.4896    5.8  53.3  169.5   1.8014   2.0    5.9	4U 1735-44                    
    268.3649  -1.4411    1.2  19.1 -139.5   2.1479   9.5    0.7	SW J1753.5-0127               
    270.1869 -24.9866    5.1  34.1  177.2   0.6322   2.3    7.7	GX 5-1                        
    270.2614 -25.7250    2.9  34.7  176.5   1.1047   4.0    2.5	GRS 1758-258                  
    274.0070 -14.0910    3.6  22.9 -177.4   0.6868   3.2    3.3	GX 17+2                       
    276.0080 -30.3730    3.6  37.0  165.4   1.0896   3.2    4.3	H1820-303                     
    285.0741 -24.9923    8.4  30.3  152.7   0.4237   1.4    4.8	HT1900.1-2455                 
    288.9193  10.8529    7.3   6.2   -4.7  -0.3119  -1.6    9.0	GRS 1915+105                  
    299.5904  35.2059    0.3  32.4   -8.9   9.6589  37.3    0.3	Cyg X-1                       
    308.1116  40.9741    2.4  40.7   -4.0   1.5935   4.7    1.3	Cyg X-3                       
    326.2560  38.2428    5.8  49.0   12.5   1.1819   2.0    6.2	Cyg X-2                       
    262.9033 -33.8001    4.8  44.9  178.4   0.9770   2.4    4.8	GX 354-0                      
    323.8145  33.7631    3.2  45.0   16.3   1.5899   3.6 ------	UNKNOWN                       
    319.9487  48.0504    3.2  51.5   -1.2   1.8610   3.5 ------	UNKNOWN                       
    243.8081 -31.2348    2.7  54.5 -164.3   2.9460   4.3 ------	UNKNOWN                       
    240.3290 -35.0256    2.7  59.1 -166.1   6.4652   4.2 ------	UNKNOWN                       
    	UNKNOWN                       
    

    Pre-slew background subtracted image of 15-350 keV band

    Time interval of the image:
    -0.728000 2.724000
     
    # RAcent  DECcent POSerr Theta    Phi  PeakCts   SNR AngSep     Name
    #  [deg]    [deg]    ['] [deg]  [deg]                   [']
    245.0227 -15.4917    6.8  45.8 -147.1  -0.0684  -1.7    9.3	Sco X-1                       
    254.2228  35.2624    0.0  42.1  -69.7   0.0944   1.3   12.5	Her X-1                       
    255.9931 -37.7242   10.1  51.4 -178.8   0.0544   1.1    7.2	4U 1700-377                   
    256.3949 -36.4605    4.2  50.2 -178.0   0.1080   2.7    3.0	GX 349+2                      
    263.0295 -24.9409  300.4  37.7 -173.6  -0.0009  -0.0   11.8	GX 1+4                        
    264.8471 -44.4870    7.4  53.3  169.5   0.1170   1.6    5.0	4U 1735-44                    
    268.3703  -1.6157    4.2  19.2 -140.0   0.0488   2.7    9.8	SW J1753.5-0127               
    270.1094 -25.0949    7.7  34.2  177.2   0.0343   1.5    9.5	GX 5-1                        
    270.2110 -25.6435    4.5  34.6  176.6  -0.0595  -2.6    7.8	GRS 1758-258                  
    273.8775 -13.9754    4.8  22.8 -177.0   0.0436   2.4    8.3	GX 17+2                       
    276.1194 -30.3411    6.2  36.9  165.2  -0.0486  -1.9   10.2	H1820-303                     
    284.8138 -24.9834    0.0  30.3  153.2  -0.0208  -0.9   12.7	HT1900.1-2455                 
    288.8541  10.7414    0.0   6.0   -4.8   0.0045   0.3   12.7	GRS 1915+105                  
    299.5386  35.1871    3.2  32.3   -9.0  -0.0732  -3.6    2.7	Cyg X-1                       
    307.8809  40.9228    3.5  40.6   -4.2   0.0869   3.3   10.5	Cyg X-3                       
    326.3452  38.3279   21.7  49.1   12.4  -0.0254  -0.5    8.2	Cyg X-2                       
    262.9227 -33.9353    7.6  45.0  178.3  -0.0520  -1.5    6.9	GX 354-0                      
    304.6244 -30.7136    2.4  40.0  125.7   0.2674   4.8 ------	UNKNOWN                       
    293.5861   9.1391    1.0   8.2   31.9   0.1988  11.1 ------	UNKNOWN                       
    286.7115   2.2640    2.3   3.0  142.5   0.0858   5.0 ------	UNKNOWN                       
    

    Post-slew image of 15-350 keV band

    Time interval of the image:
    53.300600 122.651300
     
    # RAcent  DECcent POSerr Theta    Phi  PeakCts   SNR AngSep     Name
    #  [deg]    [deg]    ['] [deg]  [deg]                   [']
    245.0900 -15.6582   23.2  54.1 -152.8   0.1583   0.5    6.5	Sco X-1                       
    256.4255 -36.5424    4.2  57.5  179.4  -1.4773  -2.7    7.2	GX 349+2                      
    262.9210 -24.8486    5.5  45.3 -175.1   0.3060   2.1    7.8	GX 1+4                        
    268.3671  -1.4458    1.7  27.3 -147.4   0.5911   6.6    0.4	SW J1753.5-0127               
    270.2539 -25.2490   25.4  41.2  177.2   0.0605   0.5   10.3	GX 5-1                        
    270.5014 -25.7061    5.1  41.5  176.5  -0.3073  -2.3   11.0	GRS 1758-258                  
    273.9532 -13.9902    3.5  30.3 -175.4   0.2917   3.3    4.1	GX 17+2                       
    275.9364 -30.3682    9.0  43.0  166.8   0.1961   1.3    0.6	H1820-303                     
    285.1776 -24.9668    6.5  35.1  157.6   0.2316   1.8    8.2	HT1900.1-2455                 
    288.5990  10.9001    7.7   5.2 -106.0   0.1232   1.5   12.1	GRS 1915+105                  
    299.6048  35.2060    0.5  26.6  -24.7   2.1622  25.3    0.8	Cyg X-1                       
    308.1046  40.9424    2.0  34.3  -16.1   0.5788   5.8    0.7	Cyg X-3                       
    326.1611  38.3299   50.5  41.3    4.0  -0.0307  -0.2    0.7	Cyg X-2                       
    263.0932 -33.8145    4.6  51.8  176.7   0.6070   2.5    5.3	GX 354-0                      
    314.4193 -19.7835    2.0  35.5  109.0   1.0878   5.6 ------	UNKNOWN                       
    284.3060  20.6202    2.4  14.5  -72.7   0.3769   4.8 ------	UNKNOWN                       
    274.4097  55.0103    2.5  48.3  -50.4   1.9373   4.6 ------	UNKNOWN                       
    
    Plot creation:
    Sun May 31 16:02:04 EDT 2015