batgrbproduct Analysis for Trigger=156838

Analysis Summary

Notes:

======================================================================
                  BAT GRB EVENT DATA PROCESSING REPORT
    Process Script Ver: batgrbproduct v2.46
    Process Start Time (local time): Wed Jan 22 20:01:13 EST 2014
             Host Name: batevent1
   Current Working Dir: /local/data/batevent/batevent_reproc/trigger156838
======================================================================

  Trigger: 00156838      Segment: 000

  BAT Trigger Time: 149331873.376   [s; MET]
      Trigger Stop: 149331873.44   [s; MET]
               UTC: 2005-09-25T09:04:33.628160    [includes UTCF correction] 
       Where From?: (*SHORT BURST*) TDRSS scaled map message

  BAT 
    RA: 303.445191270095   Dec: 34.3345869373457  [deg; J2000]

     Catalogged Source?: NO
     Point Source?:      YES
     GRB Indicated?:     YES    [ by BAT flight software ]
     Image S/N Ratio:    12.32
     Image Trigger?:     NO
     Rate S/N Ratio:     32.3419232575925  [ if not an image trigger ]
     Image S/N Ratio:    12.32

  Flight Position:   [ source = BAT ]
    RA: 303.445191270095   Dec: 34.3345869373457  [deg; J2000]

  Ground Position:   [ source = BAT pre-slew burst ]
    RA: 303.487102165543   Dec: 34.3294762681033  [deg; J2000]  
        { 20h 13m 56.9s , +34d 19' 46.1" }
         +/- 1.51530577149535 [arcmin] (estimated 90% radius based on SNR)
         +/- 0.783298449210249 [arcmin] (formal 1-sigma fit error)
    SNR: 16.7981262463985
 
  Angular difference between Flight and Ground position is 2.099077 arcmin
 
  Partial Coding Fraction: 0.4140625    [ including projection effects ]

  Duration
     T90: 0.0920000076293945 +/- 0.0144222095322683
        Measured from: -0.0319999754428864
                   to: 0.0600000321865082     [s; relative to TRIGTIME]
     T50: 0.0439999997615814 +/- 0.0113137103534657
        Measured from: -0.0039999783039093
                   to: 0.0400000214576721     [s; relative to TRIGTIME]



  Fluence
     Peak Flux  (peak 1 second)
        Measured from: -0.48199999332428     
                   to: 0.51800000667572     [s; relative to TRIGTIME]
     Total Fluence        
        Measured from: -0.035999983549118     
                   to: 0.0680000185966492     [s; relative to TRIGTIME]
     
             Band 1     Band 2     Band 3     Band 4
              15-25      25-50     50-100    100-350     keV
 Total     0.031026   0.051931   0.047176   0.006682
           0.003937   0.004970   0.004791   0.002907 [error]
 Peak      0.042505   0.069117   0.047615   0.003784
           0.008807   0.009386   0.008560   0.006822 [error]

     [ fluence units of on-axis counts / fully illuminated detector ] 

======================================================================
 
=== Fluence/Peak Flux Summary ===
 
              Model    Band1    Band2    Band3    Band4    Band5    Total      
                       15-25    25-50   50-100  100-350   15-150   15-350   keV
Fluence   Power-law 1.24e-08 2.02e-08 2.49e-08 6.09e-08 7.47e-08 1.18e-07   erg/cm2
              Error 2.01e-09 2.31e-09 3.60e-09 1.68e-08 9.08e-09 2.06e-08   erg/cm2
Peak flux Power-law 5.70e-01 5.00e-01 3.01e-01 2.73e-01 1.49e+00 1.64e+00   ph/cm2/s
              Error 1.40e-01 8.37e-02 6.67e-02 1.14e-01 2.48e-01 2.72e-01   ph/cm2/s
 
Fluence   Cutoff-PL 8.86e-09 2.47e-08 3.18e-08 1.54e-08 7.65e-08 8.07e-08   erg/cm2
              Error 2.41e-09 3.13e-09 5.13e-09 9.14e-09 9.28e-09 1.21e-08   erg/cm2
Peak flux Cutoff-PL 4.45e-01 5.91e-01 3.33e-01 6.71e-02 1.42e+00 1.44e+00   ph/cm2/s
              Error 1.63e-01 1.11e-01 8.46e-02 9.04e-02 2.51e-01 2.61e-01   ph/cm2/s
 
Fluence        Band -------- -------- -------- -------- -------- --------   erg/cm2
              Error -------- -------- -------- -------- -------- --------   erg/cm2
Peak flux      Band -------- -------- -------- -------- -------- --------   ph/cm2/s
              Error -------- -------- -------- -------- -------- --------   ph/cm2/s
 
=== Time-averaged spectral analysis ===
 
Model Ph_index Ph_90err Epeak  Epeak_90err Norm     Nomr_90err chi2   dof
PL    1.695    0.162    -      -           7.75e-02 9.09e-03   87.310 57
CPL  -0.111    0.875      63.8   10.0      5.75e-01 6.61e-01   70.770 56
 
 
=== 1-s peak spectral analysis ===
 
Model Ph_index Ph_90err Epeak  Epeak_90err Norm     Nomr_90err chi2   dof
PL    1.733    0.262    -      -           1.11e-02 1.97e-03   49.690 57
CPL   0.086    1.395      55.1   19.2      8.19e-02 2.85e-01   43.460 56
 
Model      : spectral model: simple power-law (PL) and cutoff power-law (CPL)
Ph_index   : photon index: E^-{Ph_index} (minus sign is not included in the index)
Ph_90err   : 90% error of the photon index
Epeak      : Epeak in keV
Epeak_90err: 90% error of Epeak
Norm       : normalization at 50 keV in PL model and at 1 keV in CPL model
Nomr_90err : 90% error of the normalization
chi2       : Chi-Squared
dof        : degree of freedom
 
=== T90/T50 calculation in the 50-300 keV band (BATSE band) using 64 ms lc ===
 
T90 in the 50-300 keV band: 0.064000 sec.
T50 in the 50-300 keV band: 0.064000 sec.
 
=== Table of the duration information ==
 
        Value   tstart    tstop
T100    0.104   -0.036    0.068
T90     0.092   -0.032    0.060
T50     0.044   -0.004    0.040
Peak    1.000   -0.482    0.518
  • Click here for the BAT GCN circular template
  • Special notes of this burst

    Image

    Pre-slew 15.0-350.0 keV image (Event data)

    #   RAcent    DECcent   POSerr    Theta     Phi              Peak Cts       SNR   Name
      303.4871    34.3295   0.0114    44.9956   -15.7064         0.1468028     16.798 TRIG_00156838                 
     
    Foreground time interval of the image:
     -0.036   0.068 (delta_t =   0.104 [sec])
    Background time interval of the image:
    -299.376  -0.036 (delta_t = 299.340 [sec])
    

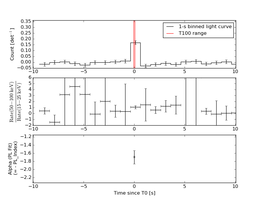
    Lightcurves

    Notes:

    1 s binning

    From T0-310 s to T0+310 s
    From T100_start - 20 s to T100_end + 30 s
    Full time interval

    64 ms binning

    Full time interval
    From T100_start to T100_end
    From T0-5 sec to T0+5 sec

    16 ms binning

    From T100_start-5 s to T100_start+5 s
    Blue+Cyan dotted lines: Time interval of the scaled map
    From 0.000000 to 0.064000
    

    8 ms binning

    From T100_start-3 s to T100_start+3 s
    Blue+Cyan dotted lines: Time interval of the scaled map
    From 0.000000 to 0.064000
    

    2 ms binning

    From T100_start-1 s to T100_start+1 s
    Blue+Cyan dotted lines: Time interval of the scaled map
    From 0.000000 to 0.064000
    

    SN=5 or 10 sec. binning (whichever binning is satisfied first)

    SN=5 or 10 sec. binning (T < 200 sec)

    Quad-rate summed light curves (from T0-300s to T0+1000s)

    Spectral Evolution

    Spectra

    Notes:

    Time averaged spectrum fit using the average DRM

    Power-law model
    Time interval is from   -0.036 sec. to    0.068 sec.
     
    Spectral model in power-law:
    ------------------------------------------------------------
    Parameters  : value       lower 90%   higher 90%
    Photon index: 1.69462     ( -0.157896   0.165705 )
    Norm@50keV  : 7.75132E-02    ( -0.00912239   0.00906176 )
    ------------------------------------------------------------
    #Fit statistic : Chi-Squared =          87.31 using 59 PHA bins.
    # Reduced chi-squared =          1.532 for     57 degrees of freedom 
    # Null hypothesis probability =   6.023477e-03
     
    Photon flux (15-150 keV)    in 0.104 sec: 10.2752 ( -1.17787  1.17907 ) ph/cm2/s
    Energy fluence (15-150 keV)             : 7.4673e-08 ( -9.0639e-09  9.08786e-09 ) ergs/cm2
     
    
    Cutoff power-law model
    Time interval is from   -0.036 sec. to    0.068 sec.
    Spectral model in the cutoff power-law:
    ------------------------------------------------------------
    Parameters  : value       lower 90%   higher 90%
    Photon index: -0.110934     ( -0.94517   0.804274 )
    Epeak [keV] : 63.8001      ( -8.01271 11.9385 )
    Norm@50keV  : 0.575344    ( -0.332743   0.98903 )
    ------------------------------------------------------------
    #Fit statistic : Chi-Squared =          70.77 using 59 PHA bins.
    # Reduced chi-squared =          1.264 for     56 degrees of freedom 
    # Null hypothesis probability =   8.842928e-02
     
    Photon flux (15-150 keV)    in 0.104 sec: 10.1455 ( -1.17833  1.1825 ) ph/cm2/s
    Energy fluence (15-150 keV)             : 7.65087e-08 ( -9.25912e-09  9.29427e-09 ) ergs/cm2
     
    
    Band function
    Time interval is from   -0.036 sec. to    0.068 sec.
     
    Spectral model in the Band function:
    ------------------------------------------------------------
    Parameters  : value       lower 90%   higher 90%
    alpha       : 0.112673   ( -0.765275   1.02274 )
    beta        : -10.0000    ( 10   1.77636e-15 )
    Epeak [keV] : 63.7569      ( -7.98596 11.9898 )
    Norm@50keV   : 0.576826    ( -0.334159   0.989833 )
    ------------------------------------------------------------
    #Fit statistic : Chi-Squared =          70.77 using 59 PHA bins.
    # Reduced chi-squared =          1.287 for     55 degrees of freedom 
    # Null hypothesis probability =   7.463806e-02
     
    Photon flux (15-150 keV)    in 0.104 sec: 10.2505 ( -3.2505  -1.13968 ) ph/cm2/s
    Energy fluence (15-150 keV)             : 0 ( 0  0 ) ergs/cm2
     
    
    Single BB
     
    Spectral model blackbody:
    ------------------------------------------------------------
    Parameters  : value    Lower 90%  Upper 90%
    kT [keV]    : 15.4884  (-1.54966  1.65332)
    R^2/D10^2   : 1.18664  (-0.369243   0.537036)
    (R is the radius in km and D10 is the distance to the source in units of 10 kpc)
    ------------------------------------------------------------
    #Fit statistic : Chi-Squared =          75.80 using 59 PHA bins.
    # Reduced chi-squared =          1.330 for     57 degrees of freedom 
    # Null hypothesis probability =   4.857109e-02
     
    Energy  Fluence     90% Error
    [keV]   [erg/cm2]   [erg/cm2]
    15- 25  6.163e-09   1.119e-09
    25- 50  2.521e-08   3.401e-09
    50-150  4.173e-08   7.862e-09
    15-150  7.310e-08   1.006e-08
    
    Thermal bremsstrahlung (OTTB)
     
     
    Spectral model: thermal bremsstrahlung
    ------------------------------------------------------------
    Parameters  : value         Lower 90%    Upper 90%
    kT [keV]    : 144.822       (-45.2573      -137.712)
    Norm        : 42.5427       (-5.41461     6.29253)
    ------------------------------------------------------------
    #Fit statistic : Chi-Squared =          80.08 using 59 PHA bins.
    # Reduced chi-squared =          1.405 for     57 degrees of freedom 
    # Null hypothesis probability =   2.361233e-02
     
    Energy  Fluence     90% Error
    [keV]   [erg/cm2]   [erg/cm2]
    15- 25  1.140e-08   1.777e-09
    25- 50  2.101e-08   5.356e-09
    50-150  4.087e-08   2.024e-08
    15-150  7.328e-08   2.176e-08
    
    Double BB
     
     
    Spectral model: bbodyrad<1> + bbodyrad<2>
    ------------------------------------------------------------
    Parameters  : value         Lower 90%    Upper 90%
    kT1 [keV]   : 2.38534        (-1.49354      4.92495)
    R1^2/D10^2  : 1164.48        (-1197.07      1.45054e+07)
    kT2 [keV]   : 16.5784        (-1.87064      2.98839)
    R2^2/D10^2  : 0.884825    (-0.470272   0.384429)
    ------------------------------------------------------------
    #Fit statistic : Chi-Squared =          67.50 using 59 PHA bins.
    # Reduced chi-squared =          1.227 for     55 degrees of freedom 
    # Null hypothesis probability =   1.201864e-01
     
    Energy  Fluence     90% Error
    [keV]   [erg/cm2]   [erg/cm2]
    15- 25  9.876e-09   3.458e-09
    25- 50  2.276e-08   4.207e-09
    50-150  4.375e-08   8.549e-09
    15-150  7.639e-08   1.207e-08
    

    Peak spectrum fit

    Power-law model
    Time interval is from   -0.482 sec. to    0.518 sec.
     
    Spectral model in power-law:
    ------------------------------------------------------------
    Parameters  : value       lower 90%   higher 90%
    Photon index: 1.73306     ( -0.254822   0.268223 )
    Norm@50keV  : 1.10761E-02    ( -0.00198423   0.00195628 )
    ------------------------------------------------------------
    #Fit statistic : Chi-Squared =          49.69 using 59 PHA bins.
    # Reduced chi-squared =         0.8717 for     57 degrees of freedom 
    # Null hypothesis probability =   7.432809e-01
     
    Photon flux (15-150 keV)    in 1 sec: 1.48838 ( -0.247868  0.248317 ) ph/cm2/s
    Energy fluence (15-150 keV)             : 1.02319e-07 ( -1.87138e-08  1.90145e-08 ) ergs/cm2
     
    
    Cutoff power-law model
    Time interval is from   -0.482 sec. to    0.518 sec.
    Spectral model in the cutoff power-law:
    ------------------------------------------------------------
    Parameters  : value       lower 90%   higher 90%
    Photon index: 8.56650E-02     ( -1.60714   1.18194 )
    Epeak [keV] : 55.0538      ( -11.4004 27.0858 )
    Norm@50keV  : 8.18886E-02    ( -0.0818875   0.488718 )
    ------------------------------------------------------------
    #Fit statistic : Chi-Squared =          43.46 using 59 PHA bins.
    # Reduced chi-squared =         0.7761 for     56 degrees of freedom 
    # Null hypothesis probability =   8.892872e-01
     
    Photon flux (15-150 keV)    in 1 sec: 1.42469 ( -0.25071  0.25186 ) ph/cm2/s
    Energy fluence (15-150 keV)             : 9.45024e-08 ( -1.86922e-08  1.96356e-08 ) ergs/cm2
     
    
    Band function
    Time interval is from   -0.482 sec. to    0.518 sec.
     
    Spectral model in the Band function:
    ------------------------------------------------------------
    Parameters  : value       lower 90%   higher 90%
    alpha       : -8.55185E-02   ( -1.40079   1.47436 )
    beta        : -10.0000    ( 10   1.06581e-14 )
    Epeak [keV] : 55.0431      ( -11.4011 27.0906 )
    Norm@50keV   : 8.19132E-02    ( -0.0819127   0.491157 )
    ------------------------------------------------------------
    #Fit statistic : Chi-Squared =          43.46 using 59 PHA bins.
    # Reduced chi-squared =         0.7902 for     55 degrees of freedom 
    # Null hypothesis probability =   8.693781e-01
     
    Photon flux (15-150 keV)    in 1 sec:  (    ) ph/cm2/s
    Energy fluence (15-150 keV)             : 0 ( 0  0 ) ergs/cm2
     
    
    Single BB
     
    Spectral model blackbody:
    ------------------------------------------------------------
    Parameters  : value    Lower 90%  Upper 90%
    kT [keV]    : 13.0665  (-2.1115  2.47812)
    R^2/D10^2   : 0.285812  (-0.135676   0.255779)
    (R is the radius in km and D10 is the distance to the source in units of 10 kpc)
    ------------------------------------------------------------
    #Fit statistic : Chi-Squared =          46.24 using 59 PHA bins.
    # Reduced chi-squared =         0.8112 for     57 degrees of freedom 
    # Null hypothesis probability =   8.451752e-01
     
    Energy  Fluence     90% Error
    [keV]   [erg/cm2]   [erg/cm2]
    15- 25  1.035e-08   3.057e-09
    25- 50  3.584e-08   1.052e-08
    50-150  3.880e-08   1.263e-08
    15-150  8.499e-08   2.064e-08
    
    Thermal bremsstrahlung (OTTB)
     
     
    Spectral model: thermal bremsstrahlung
    ------------------------------------------------------------
    Parameters  : value         Lower 90%    Upper 90%
    kT [keV]    : 116.060       (-47.0272      -111.87)
    Norm        : 6.39806       (-1.20163     1.64461)
    ------------------------------------------------------------
    #Fit statistic : Chi-Squared =          46.36 using 59 PHA bins.
    # Reduced chi-squared =         0.8133 for     57 degrees of freedom 
    # Null hypothesis probability =   8.421409e-01
     
    Energy  Fluence     90% Error
    [keV]   [erg/cm2]   [erg/cm2]
    15- 25  1.669e-08   5.216e-09
    25- 50  2.967e-08   1.209e-08
    50-150  5.208e-08   3.443e-08
    15-150  9.844e-08   5.265e-08
    
    Double BB
     
     
    Spectral model: bbodyrad<1> + bbodyrad<2>
    ------------------------------------------------------------
    Parameters  : value         Lower 90%    Upper 90%
    kT1 [keV]   : 6.39659        (-4.19945      24.3862)
    R1^2/D10^2  : 1.61897        (-1.50584      126.121)
    kT2 [keV]   : 17.0877        (-4.60019      31.7016)
    R2^2/D10^2  : 8.34193E-02    (-0.0834579   0.241253)
    ------------------------------------------------------------
    #Fit statistic : Chi-Squared =          43.02 using 59 PHA bins.
    # Reduced chi-squared =         0.7821 for     55 degrees of freedom 
    # Null hypothesis probability =   8.796546e-01
     
    Energy  Fluence     90% Error
    [keV]   [erg/cm2]   [erg/cm2]
    15- 25  1.455e-08   8.175e-09
    25- 50  3.297e-08   1.677e-08
    50-150  4.725e-08   2.863e-08
    15-150  9.477e-08   4.926e-08
    

    Pre-slew spectrum (Pre-slew PHA with pre-slew DRM)

    Power-law model
     
    Spectral model in power-law:
    ------------------------------------------------------------
    Parameters  : value       lower 90%   higher 90%
    Photon index: 1.69462     ( -0.157896   0.165705 )
    Norm@50keV  : 7.75132E-02    ( -0.00912239   0.00906176 )
    ------------------------------------------------------------
    #Fit statistic : Chi-Squared =          87.31 using 59 PHA bins.
    # Reduced chi-squared =          1.532 for     57 degrees of freedom 
    # Null hypothesis probability =   6.023477e-03
     
    Photon flux (15-150 keV)    in 0.104 sec: 10.2752 ( -1.17787  1.17907 ) ph/cm2/s
    Energy fluence (15-150 keV)             : 7.4673e-08 ( -9.0639e-09  9.08786e-09 ) ergs/cm2
     
    
    Cutoff power-law model
    Spectral model in the cutoff power-law:
    ------------------------------------------------------------
    Parameters  : value       lower 90%   higher 90%
    Photon index: -0.110934     ( -0.94517   0.804274 )
    Epeak [keV] : 63.8001      ( -8.01271 11.9385 )
    Norm@50keV  : 0.575344    ( -0.332743   0.98903 )
    ------------------------------------------------------------
    #Fit statistic : Chi-Squared =          70.77 using 59 PHA bins.
    # Reduced chi-squared =          1.264 for     56 degrees of freedom 
    # Null hypothesis probability =   8.842928e-02
     
    Photon flux (15-150 keV)    in 0.104 sec: 10.1455 ( -1.17833  1.1825 ) ph/cm2/s
    Energy fluence (15-150 keV)             : 7.65087e-08 ( -9.25912e-09  9.29427e-09 ) ergs/cm2
     
    
    Band function
     
    Spectral model in the Band function:
    ------------------------------------------------------------
    Parameters  : value       lower 90%   higher 90%
    alpha       : 0.112673   ( -0.765275   1.02274 )
    beta        : -10.0000    ( 10   3.55271e-15 )
    Epeak [keV] : 63.7569      ( -7.98596 11.9898 )
    Norm@50keV   : 0.576826    ( -0.334159   0.989833 )
    ------------------------------------------------------------
    #Fit statistic : Chi-Squared =          70.77 using 59 PHA bins.
    # Reduced chi-squared =          1.287 for     55 degrees of freedom 
    # Null hypothesis probability =   7.463806e-02
     
    Photon flux (15-150 keV)    in 0.104 sec: 10.2505 ( -3.2505  -1.13968 ) ph/cm2/s
    Energy fluence (15-150 keV)             : 0 ( 0  0 ) ergs/cm2
     
    

    S(25-50 keV) vs. S(50-100 keV) plot

    S(25-50 keV)  = 2.02e-08
    S(50-100 keV) = 2.49e-08
    

    T90 vs. Hardness ratio plot

    T90                                   = 0.0920000076293945 sec.
    Hardness ratio (energy fluence ratio) = 1.23267
    

    Color vs. Color plot

    Count Ratio  (25-50 keV) / (15-25 keV) = 1.67379
    Count Ratio (50-100 keV) / (15-25 keV) = 1.52053
    

    Mask shadow pattern

    IMX = 9.625137830726542E-01, IMY = 2.706669988381329E-01
    

    TIME vs. PHA plot around the trigger time

    Blue+Cyan dotted lines: Time interval of the scaled map
    From 0.000000 to 0.064000
    

    TIME vs. DetID plot around the trigger time

    Blue+Cyan dotted lines: Time interval of the scaled map
    From 0.000000 to 0.064000
    

    100 us light curve (15-350 keV)

    Blue+Cyan dotted lines: Time interval of the scaled map
    From 0.000000 to 0.064000
    

    Spacecraft aspect plot

    Bright source in the pre-burst/pre-slew/post-slew images

    Pre-burst image of 15-350 keV band

    Time interval of the image:
    -299.376000 -0.036000
     
    # RAcent  DECcent POSerr Theta    Phi  PeakCts   SNR AngSep     Name
    #  [deg]    [deg]    ['] [deg]  [deg]                   [']
    275.7787 -30.4459    9.9  44.4 -124.6  -0.8136  -1.2    8.9	H1820-303                     
    285.0650 -24.9642    7.1  34.8 -121.3   0.5215   1.6    3.1	HT1900.1-2455                 
    288.9102  11.0917    3.7  34.5  -55.0   0.9664   3.2   11.0	GRS 1915+105                  
    299.5878  35.2084    0.4  47.0  -19.4  10.9058  29.2    0.4	Cyg X-1                       
    308.2357  40.8451   57.1  50.3   -8.4   0.0925   0.2    8.6	Cyg X-3                       
    326.1686  38.3077    3.8  47.7    9.9   1.3954   3.1    0.8	Cyg X-2                       
    327.4683  40.5951    2.5  50.2   10.5   2.6116   4.6 ------	UNKNOWN                       
    319.6869  48.3236    2.9  57.1    2.4   4.4707   3.9 ------	UNKNOWN                       
    

    Pre-slew background subtracted image of 15-350 keV band

    Time interval of the image:
    -0.036000 0.068000
     
    # RAcent  DECcent POSerr Theta    Phi  PeakCts   SNR AngSep     Name
    #  [deg]    [deg]    ['] [deg]  [deg]                   [']
    276.0435 -30.3004    4.5  44.2 -124.5   0.0347   2.6    7.3	H1820-303                     
    285.0385 -25.0143    9.3  34.8 -121.4   0.0092   1.2    5.6	HT1900.1-2455                 
    288.9379  10.8669   12.2  34.4  -55.3   0.0061   0.9    9.5	GRS 1915+105                  
    299.7223  35.1844   12.8  46.9  -19.3   0.0084   0.9    6.6	Cyg X-1                       
    307.9814  40.9475    4.2  50.4   -8.6   0.0304   2.7    5.8	Cyg X-3                       
    326.0377  38.3722    6.8  47.8    9.7  -0.0202  -1.7    7.0	Cyg X-2                       
    354.4076 -10.4088    2.2  36.6   96.3   0.0531   5.2 ------	UNKNOWN                       
    303.4871  34.3295    0.7  45.0  -15.7   0.1468  16.8 ------	UNKNOWN                       
    

    Post-slew image of 15-350 keV band

    Time interval of the image:
    75.124600 176.724600
     
    # RAcent  DECcent POSerr Theta    Phi  PeakCts   SNR AngSep     Name
    #  [deg]    [deg]    ['] [deg]  [deg]                   [']
    254.3055  35.2023    0.0  40.0  -92.3   0.1390   0.3   11.2	Her X-1                       
    268.2516  -1.3613   31.1  48.6 -147.8  -0.0995  -0.4    8.9	SW J1753.5-0127               
    274.0226 -14.0449    9.5  55.9 -162.9   0.4417   1.2    1.1	GX 17+2                       
    288.7702  11.1049  367.0  26.8 -164.5   0.0036   0.0    9.7	GRS 1915+105                  
    299.5831  35.2012    0.3   3.3  -92.1   3.9193  40.5    0.4	Cyg X-1                       
    308.1393  40.9623    2.2   7.6    9.6   0.5074   5.2    1.4	Cyg X-3                       
    326.0795  38.3577    4.8  18.6   52.9   0.2752   2.4    4.8	Cyg X-2                       
    241.7101  61.4995    2.3  47.0  -53.2   2.5103   5.0 ------	UNKNOWN                       
    
    Plot creation:
    Sun May 31 15:30:55 EDT 2015