batgrbproduct Analysis for Trigger=176453

Analysis Summary

Notes:

======================================================================
                  BAT GRB EVENT DATA PROCESSING REPORT
    Process Script Ver: batgrbproduct v2.46
    Process Start Time (local time): Wed Jan 22 19:08:23 EST 2014
             Host Name: batevent1
   Current Working Dir: /local/data/batevent/batevent_reproc/trigger176453
======================================================================

  Trigger: 00176453      Segment: 000

  BAT Trigger Time: 158423952.704   [s; MET]
      Trigger Stop: 158423953.728   [s; MET]
               UTC: 2006-01-08T14:39:11.760360    [includes UTCF correction] 
       Where From?: TDRSS position message

  BAT 
    RA: 146.991545670284   Dec: 31.9164170544607  [deg; J2000]

     Catalogged Source?: NO
     Point Source?:      YES
     GRB Indicated?:     YES    [ by BAT flight software ]
     Image S/N Ratio:    8.51
     Image Trigger?:     NO
     Rate S/N Ratio:     13.7477270848675  [ if not an image trigger ]
     Image S/N Ratio:    8.51

  Flight Position:   [ source = BAT ]
    RA: 146.991545670284   Dec: 31.9164170544607  [deg; J2000]

  Ground Position:   [ source = BAT pre-slew burst ]
    RA: 147.01909205963   Dec: 31.9313639482555  [deg; J2000]  
        { 09h 48m 04.6s , +31d 55' 52.9" }
         +/- 1.3376802573893 [arcmin] (estimated 90% radius based on SNR)
         +/- 0.640649173699714 [arcmin] (formal 1-sigma fit error)
    SNR: 20.0731287118385
 
  Angular difference between Flight and Ground position is 1.664971 arcmin
 
  Partial Coding Fraction: 1.015625    [ including projection effects ]

  Duration
     T90: 14.2200000286102 +/- 2.14442533480997
        Measured from: -2.56000000238419
                   to: 11.660000026226     [s; relative to TRIGTIME]
     T50: 4.9040000140667 +/- 0.840951826128777
        Measured from: 0.780000001192093
                   to: 5.68400001525879     [s; relative to TRIGTIME]



  Fluence
     Peak Flux  (peak 1 second)
        Measured from: 0.604000002145767     
                   to: 1.60400000214577     [s; relative to TRIGTIME]
     Total Fluence        
        Measured from: -4.02399998903275     
                   to: 13.2280000150204     [s; relative to TRIGTIME]
     
             Band 1     Band 2     Band 3     Band 4
              15-25      25-50     50-100    100-350     keV
 Total     0.292122   0.249592   0.144702   0.028160
           0.018911   0.019701   0.016855   0.013845 [error]
 Peak      0.026406   0.042154   0.018874   0.011895
           0.004786   0.005147   0.004299   0.003347 [error]

     [ fluence units of on-axis counts / fully illuminated detector ] 

======================================================================
 
=== Fluence/Peak Flux Summary ===
 
              Model    Band1    Band2    Band3    Band4    Band5    Total      
                       15-25    25-50   50-100  100-350   15-150   15-350   keV
Fluence   Power-law 8.23e-08 1.12e-07 1.12e-07 2.03e-07 3.72e-07 5.09e-07   erg/cm2
              Error 9.94e-09 9.10e-09 1.64e-08 5.99e-08 3.69e-08 7.69e-08   erg/cm2
Peak flux Power-law 2.77e-01 2.51e-01 1.57e-01 1.50e-01 7.49e-01 8.36e-01   ph/cm2/s
              Error 6.32e-02 3.88e-02 3.46e-02 6.38e-02 1.15e-01 1.32e-01   ph/cm2/s
 
Fluence   Cutoff-PL 8.23e-08 1.12e-07 1.12e-07 2.01e-07 3.72e-07 5.07e-07   erg/cm2
              Error 9.91e-09 9.53e-09 1.66e-08 3.42e-08 3.98e-08 9.74e-08   erg/cm2
Peak flux Cutoff-PL 2.48e-01 2.88e-01 1.58e-01 4.01e-02 7.25e-01 7.34e-01   ph/cm2/s
              Error 7.41e-02 5.96e-02 4.30e-02 8.64e-02 1.19e-01 1.46e-01   ph/cm2/s
 
Fluence        Band -------- -------- -------- -------- -------- --------   erg/cm2
              Error -------- -------- -------- -------- -------- --------   erg/cm2
Peak flux      Band -------- -------- -------- -------- -------- --------   ph/cm2/s
              Error -------- -------- -------- -------- -------- --------   ph/cm2/s
 
=== Time-averaged spectral analysis ===
 
Model Ph_index Ph_90err Epeak  Epeak_90err Norm     Nomr_90err chi2   dof
PL    1.997    0.165    -      -           2.34e-03 2.44e-04   49.820 57
CPL   2.006    0.366      30.4    0.0      2.31e-03 0.00e+00   49.820 56
 
 
=== 1-s peak spectral analysis ===
 
Model Ph_index Ph_90err Epeak  Epeak_90err Norm     Nomr_90err chi2   dof
PL    1.675    0.259    -      -           5.69e-03 9.76e-04   52.620 57
CPL   0.545    1.553      55.3  -20.6      2.50e-02 1.50e-01   50.530 56
 
Model      : spectral model: simple power-law (PL) and cutoff power-law (CPL)
Ph_index   : photon index: E^-{Ph_index} (minus sign is not included in the index)
Ph_90err   : 90% error of the photon index
Epeak      : Epeak in keV
Epeak_90err: 90% error of Epeak
Norm       : normalization at 50 keV in PL model and at 1 keV in CPL model
Nomr_90err : 90% error of the normalization
chi2       : Chi-Squared
dof        : degree of freedom
 
=== T90/T50 calculation in the 50-300 keV band (BATSE band) using 64 ms lc ===
 
T90 in the 50-300 keV band: 4.608000 sec.
T50 in the 50-300 keV band: 2.496000 sec.
 
=== Table of the duration information ==
 
        Value   tstart    tstop
T100   17.252   -4.024   13.228
T90    14.220   -2.560   11.660
T50     4.904    0.780    5.684
Peak    1.000    0.604    1.604
  • Click here for the BAT GCN circular template
  • Special notes of this burst

    Image

    Pre-slew 15.0-350.0 keV image (Event data)

    #   RAcent    DECcent   POSerr    Theta     Phi              Peak Cts       SNR   Name
      147.0191    31.9314   0.0095    16.3729   -14.4375         0.7151399     20.073 TRIG_00176453                 
     
    Foreground time interval of the image:
     -4.024  11.197 (delta_t =  15.221 [sec])
    Background time interval of the image:
    -299.704  -4.024 (delta_t = 295.680 [sec])
    

    Lightcurves

    Notes:

    1 s binning

    From T0-310 s to T0+310 s
    From T100_start - 20 s to T100_end + 30 s
    Full time interval

    64 ms binning

    Full time interval
    From T100_start to T100_end
    From T0-5 sec to T0+5 sec

    16 ms binning

    From T100_start-5 s to T100_start+5 s
    Blue+Cyan dotted lines: Time interval of the scaled map
    From 0.000000 to 1.024000
    

    8 ms binning

    From T100_start-3 s to T100_start+3 s
    Blue+Cyan dotted lines: Time interval of the scaled map
    From 0.000000 to 1.024000
    

    2 ms binning

    From T100_start-1 s to T100_start+1 s
    Blue+Cyan dotted lines: Time interval of the scaled map
    From 0.000000 to 1.024000
    

    SN=5 or 10 sec. binning (whichever binning is satisfied first)

    SN=5 or 10 sec. binning (T < 200 sec)

    Quad-rate summed light curves (from T0-300s to T0+1000s)

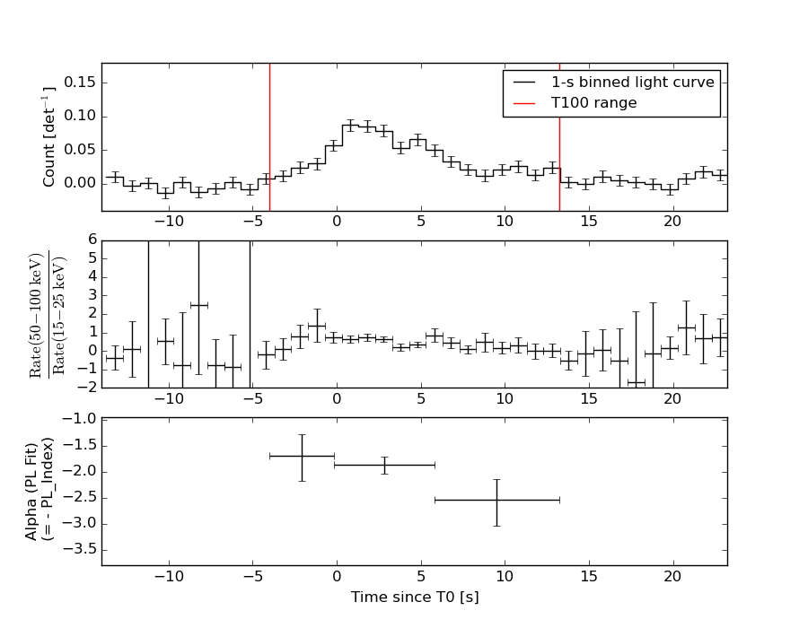
    Spectral Evolution

    Spectra

    Notes:

    Time averaged spectrum fit using the average DRM

    Power-law model
    Time interval is from   -4.024 sec. to   13.228 sec.
     
    Spectral model in power-law:
    ------------------------------------------------------------
    Parameters  : value       lower 90%   higher 90%
    Photon index: 1.99738     ( -0.161021   0.168319 )
    Norm@50keV  : 2.33748E-03    ( -0.000246744   0.000241177 )
    ------------------------------------------------------------
    #Fit statistic : Chi-Squared =          49.82 using 59 PHA bins.
    # Reduced chi-squared =         0.8740 for     57 degrees of freedom 
    # Null hypothesis probability =   7.388576e-01
     
    Photon flux (15-150 keV)    in 17.25 sec: 0.350200 ( -0.0284988  0.0285154 ) ph/cm2/s
    Energy fluence (15-150 keV)             : 3.71786e-07 ( -3.65262e-08  3.71857e-08 ) ergs/cm2
     
    
    Cutoff power-law model
    Time interval is from   -4.024 sec. to   13.228 sec.
    Spectral model in the cutoff power-law:
    ------------------------------------------------------------
    Parameters  : value       lower 90%   higher 90%
    Photon index: 2.00634     ( -0.627952   0.103813 )
    Epeak [keV] : 30.3610      (   )
    Norm@50keV  : 2.31054E-03    (     )
    ------------------------------------------------------------
    #Fit statistic : Chi-Squared =          49.82 using 59 PHA bins.
    # Reduced chi-squared =         0.8896 for     56 degrees of freedom 
    # Null hypothesis probability =   7.065648e-01
     
    Photon flux (15-150 keV)    in 17.25 sec: 0.350108 ( -0.028527  0.02846 ) ph/cm2/s
    Energy fluence (15-150 keV)             : 3.71691e-07 ( -4.26851e-08  3.68443e-08 ) ergs/cm2
     
    
    Band function
    Time interval is from   -4.024 sec. to   13.228 sec.
     
    Spectral model in the Band function:
    ------------------------------------------------------------
    Parameters  : value       lower 90%   higher 90%
    alpha       : -1.59802   ( 1.59803   1.59803 )
    beta        : -1.99751    ( 1.99751   0.16119 )
    Epeak [keV] : 15.4775      ( -15.4753 -15.4753 )
    Norm@50keV   : 5.58168E-03    ( -0.0034196   13.4615 )
    ------------------------------------------------------------
    #Fit statistic : Chi-Squared =          49.82 using 59 PHA bins.
    # Reduced chi-squared =         0.9058 for     55 degrees of freedom 
    # Null hypothesis probability =   6.722793e-01
     
    Photon flux (15-150 keV)    in 17.25 sec:  (    ) ph/cm2/s
    Energy fluence (15-150 keV)             : 0 ( 0  0 ) ergs/cm2
     
    
    Single BB
     
    Spectral model blackbody:
    ------------------------------------------------------------
    Parameters  : value    Lower 90%  Upper 90%
    kT [keV]    : 9.99500  (-1.06841  1.19809)
    R^2/D10^2   : 0.156418  (-0.054703   0.0849621)
    (R is the radius in km and D10 is the distance to the source in units of 10 kpc)
    ------------------------------------------------------------
    #Fit statistic : Chi-Squared =          93.24 using 59 PHA bins.
    # Reduced chi-squared =          1.636 for     57 degrees of freedom 
    # Null hypothesis probability =   1.742931e-03
     
    Energy  Fluence     90% Error
    [keV]   [erg/cm2]   [erg/cm2]
    15- 25  5.489e-08   7.918e-09
    25- 50  1.364e-07   1.428e-08
    50-150  7.107e-08   1.654e-08
    15-150  2.623e-07   2.769e-08
    
    Thermal bremsstrahlung (OTTB)
     
     
    Spectral model: thermal bremsstrahlung
    ------------------------------------------------------------
    Parameters  : value         Lower 90%    Upper 90%
    kT [keV]    : 70.1185       (-17.2968      26.6596)
    Norm        : 1.69785       (-0.223701     0.271438)
    ------------------------------------------------------------
    #Fit statistic : Chi-Squared =          53.10 using 59 PHA bins.
    # Reduced chi-squared =         0.9317 for     57 degrees of freedom 
    # Null hypothesis probability =   6.219546e-01
     
    Energy  Fluence     90% Error
    [keV]   [erg/cm2]   [erg/cm2]
    15- 25  7.515e-08   8.099e-09
    25- 50  1.196e-07   1.126e-08
    50-150  1.538e-07   3.295e-08
    15-150  3.486e-07   4.036e-08
    
    Double BB
     
     
    Spectral model: bbodyrad<1> + bbodyrad<2>
    ------------------------------------------------------------
    Parameters  : value         Lower 90%    Upper 90%
    kT1 [keV]   : 4.79791        (-1.10952      1.3837)
    R1^2/D10^2  : 1.96911        (-1.2219      4.2528)
    kT2 [keV]   : 18.4024        (-3.85669      6.87708)
    R2^2/D10^2  : 1.19826E-02    (-0.0083861   0.0110171)
    ------------------------------------------------------------
    #Fit statistic : Chi-Squared =          51.56 using 59 PHA bins.
    # Reduced chi-squared =         0.9375 for     55 degrees of freedom 
    # Null hypothesis probability =   6.067139e-01
     
    Energy  Fluence     90% Error
    [keV]   [erg/cm2]   [erg/cm2]
    15- 25  8.375e-08   2.989e-08
    25- 50  1.065e-07   3.088e-08
    50-150  1.630e-07   7.741e-08
    15-150  3.533e-07   1.095e-07
    

    Peak spectrum fit

    Power-law model
    Time interval is from    0.604 sec. to    1.604 sec.
     
    Spectral model in power-law:
    ------------------------------------------------------------
    Parameters  : value       lower 90%   higher 90%
    Photon index: 1.67550     ( -0.253541   0.265274 )
    Norm@50keV  : 5.68579E-03    ( -0.000986892   0.000965753 )
    ------------------------------------------------------------
    #Fit statistic : Chi-Squared =          52.62 using 59 PHA bins.
    # Reduced chi-squared =         0.9231 for     57 degrees of freedom 
    # Null hypothesis probability =   6.400871e-01
     
    Photon flux (15-150 keV)    in 1 sec: 0.748786 ( -0.115031  0.115054 ) ph/cm2/s
    Energy fluence (15-150 keV)             : 5.27525e-08 ( -9.5228e-09  9.73622e-09 ) ergs/cm2
     
    
    Cutoff power-law model
    Time interval is from    0.604 sec. to    1.604 sec.
    Spectral model in the cutoff power-law:
    ------------------------------------------------------------
    Parameters  : value       lower 90%   higher 90%
    Photon index: 0.545320     ( -1.87538   1.22998 )
    Epeak [keV] : 55.3235      ( -14.0328 -55.282 )
    Norm@50keV  : 2.49732E-02    ( -0.0250827   0.275514 )
    ------------------------------------------------------------
    #Fit statistic : Chi-Squared =          50.53 using 59 PHA bins.
    # Reduced chi-squared =         0.9023 for     56 degrees of freedom 
    # Null hypothesis probability =   6.812568e-01
     
    Photon flux (15-150 keV)    in 1 sec: 0.724754 ( -0.119275  0.119065 ) ph/cm2/s
    Energy fluence (15-150 keV)             : 4.73173e-08 ( -1.04372e-08  1.16016e-08 ) ergs/cm2
     
    
    Band function
    Time interval is from    0.604 sec. to    1.604 sec.
     
    Spectral model in the Band function:
    ------------------------------------------------------------
    Parameters  : value       lower 90%   higher 90%
    alpha       : -0.163150   ( -1.36638   5.10458 )
    beta        : -2.35721    ( 2.34944   0.735318 )
    Epeak [keV] : 48.6061      ( -24.5008 73.7782 )
    Norm@50keV   : 4.40231E-02    ( -0.0505873   143.337 )
    ------------------------------------------------------------
    #Fit statistic : Chi-Squared =          49.68 using 59 PHA bins.
    # Reduced chi-squared =         0.9033 for     55 degrees of freedom 
    # Null hypothesis probability =   6.774168e-01
     
    Photon flux (15-150 keV)    in 1 sec:  (    ) ph/cm2/s
    Energy fluence (15-150 keV)             : 4.91022e-08 ( 0  0 ) ergs/cm2
     
    
    Single BB
     
    Spectral model blackbody:
    ------------------------------------------------------------
    Parameters  : value    Lower 90%  Upper 90%
    kT [keV]    : 11.7121  (-1.77614  2.14049)
    R^2/D10^2   : 0.210396  (-0.0973341   0.172726)
    (R is the radius in km and D10 is the distance to the source in units of 10 kpc)
    ------------------------------------------------------------
    #Fit statistic : Chi-Squared =          53.78 using 59 PHA bins.
    # Reduced chi-squared =         0.9435 for     57 degrees of freedom 
    # Null hypothesis probability =   5.966393e-01
     
    Energy  Fluence     90% Error
    [keV]   [erg/cm2]   [erg/cm2]
    15- 25  6.090e-09   1.761e-09
    25- 50  1.862e-08   3.710e-09
    50-150  1.510e-08   5.385e-09
    15-150  3.981e-08   9.015e-09
    
    Thermal bremsstrahlung (OTTB)
     
     
    Spectral model: thermal bremsstrahlung
    ------------------------------------------------------------
    Parameters  : value         Lower 90%    Upper 90%
    kT [keV]    : 123.495       (-54.4314      -122.479)
    Norm        : 3.20878       (-0.590101     0.731392)
    ------------------------------------------------------------
    #Fit statistic : Chi-Squared =          51.26 using 59 PHA bins.
    # Reduced chi-squared =         0.8993 for     57 degrees of freedom 
    # Null hypothesis probability =   6.893042e-01
     
    Energy  Fluence     90% Error
    [keV]   [erg/cm2]   [erg/cm2]
    15- 25  8.347e-09   3.036e-09
    25- 50  1.501e-08   6.121e-09
    50-150  2.716e-08   1.751e-08
    15-150  5.051e-08   2.664e-08
    
    Double BB
    ------------------------------------------------------------
    Parameters  : value         Lower 90%    Upper 90%
    kT1 [keV]   : 10.2088        (-4.73105      2.16898)
    R1^2/D10^2  : 0.317266        (-0.170197      1.06425)
    kT2 [keV]   : 200.000        (      )
    R2^2/D10^2  : 6.22660E-05    (-3.85744e-05   0.000492151)
    ------------------------------------------------------------
    #Fit statistic : Chi-Squared =          48.73 using 59 PHA bins.
    #Fit statistic : Chi-Squared =          48.59 using 59 PHA bins.
    # Reduced chi-squared =         0.8859 for     55 degrees of freedom 
    # Reduced chi-squared =         0.8834 for     55 degrees of freedom 
    # Null hypothesis probability =   7.116997e-01
    # Null hypothesis probability =   7.164938e-01
     
    Energy  Fluence     90% Error
    [keV]   [erg/cm2]   [erg/cm2]
    15- 25  6.961e-09   2.963e-09
    25- 50  1.791e-08   7.301e-09
    50-150  2.644e-08   1.282e-08
    15-150  5.131e-08   1.961e-08
    

    Pre-slew spectrum (Pre-slew PHA with pre-slew DRM)

    Power-law model
     
    Spectral model in power-law:
    ------------------------------------------------------------
    Parameters  : value       lower 90%   higher 90%
    Photon index: 1.94572     ( -0.157706   0.164405 )
    Norm@50keV  : 2.53393E-03    ( -0.000259714   0.000254221 )
    ------------------------------------------------------------
    #Fit statistic : Chi-Squared =          53.21 using 59 PHA bins.
    # Reduced chi-squared =         0.9334 for     57 degrees of freedom 
    # Null hypothesis probability =   6.181949e-01
     
    Photon flux (15-150 keV)    in 15.22 sec: 0.370910 ( -0.0302513  0.0302705 ) ph/cm2/s
    Energy fluence (15-150 keV)             : 3.54866e-07 ( -3.46958e-08  3.52795e-08 ) ergs/cm2
     
    
    Cutoff power-law model
    Spectral model in the cutoff power-law:
    ------------------------------------------------------------
    Parameters  : value       lower 90%   higher 90%
    Photon index: 1.82494     (     )
    Epeak [keV] : 63.2857      (   )
    Norm@50keV  : 2.96115E-03    (     )
    ------------------------------------------------------------
    #Fit statistic : Chi-Squared =          53.08 using 59 PHA bins.
    # Reduced chi-squared =         0.9479 for     56 degrees of freedom 
    # Null hypothesis probability =   5.859552e-01
     
    Photon flux (15-150 keV)    in 15.22 sec: 0.368730 ( -0.031533  0.031569 ) ph/cm2/s
    Energy fluence (15-150 keV)             : 3.50503e-07 ( -4.06146e-08  3.86314e-08 ) ergs/cm2
     
    
    Band function
     
    Spectral model in the Band function:
    ------------------------------------------------------------
    Parameters  : value       lower 90%   higher 90%
    alpha       : -1.81085   ( 1.55906   1.55906 )
    beta        : -2.15878    ( 2.14011   0.348499 )
    Epeak [keV] : 59.9488      ( -59.936 -59.936 )
    Norm@50keV   : 3.02223E-03    ( -0.000702574   0.0650142 )
    ------------------------------------------------------------
    #Fit statistic : Chi-Squared =          53.08 using 59 PHA bins.
    # Reduced chi-squared =         0.9651 for     55 degrees of freedom 
    # Null hypothesis probability =   5.482556e-01
     
    Photon flux (15-150 keV)    in 15.22 sec:  (    ) ph/cm2/s
    Energy fluence (15-150 keV)             : 0 ( 0  0 ) ergs/cm2
     
    

    S(25-50 keV) vs. S(50-100 keV) plot

    S(25-50 keV)  = 1.12e-07
    S(50-100 keV) = 1.12e-07
    

    T90 vs. Hardness ratio plot

    T90                                   = 14.2200000286102 sec.
    Hardness ratio (energy fluence ratio) = 1
    

    Color vs. Color plot

    Count Ratio  (25-50 keV) / (15-25 keV) = 0.85441
    Count Ratio (50-100 keV) / (15-25 keV) = 0.495348
    

    Mask shadow pattern

    IMX = 2.845244767049336E-01, IMY = 7.325220387693542E-02
    

    TIME vs. PHA plot around the trigger time

    Blue+Cyan dotted lines: Time interval of the scaled map
    From 0.000000 to 1.024000
    

    TIME vs. DetID plot around the trigger time

    Blue+Cyan dotted lines: Time interval of the scaled map
    From 0.000000 to 1.024000
    

    100 us light curve (15-350 keV)

    Blue+Cyan dotted lines: Time interval of the scaled map
    From 0.000000 to 1.024000
    

    Spacecraft aspect plot

    Bright source in the pre-burst/pre-slew/post-slew images

    Pre-burst image of 15-350 keV band

    Time interval of the image:
    -299.704000 -4.024000
     
    # RAcent  DECcent POSerr Theta    Phi  PeakCts   SNR AngSep     Name
    #  [deg]    [deg]    ['] [deg]  [deg]                   [']
     83.6330  22.0156    0.4  41.1  144.0  12.2611  25.9    0.1	Crab                          
    191.6780  34.3330    2.7  50.7  -44.4   4.1510   4.3 ------	UNKNOWN                       
    187.3989  50.1064    3.0  43.6  -64.2   3.7623   3.8 ------	UNKNOWN                       
    145.7057  79.6174    3.0  43.1 -112.7   3.2062   3.8 ------	UNKNOWN                       
    

    Pre-slew background subtracted image of 15-350 keV band

    Time interval of the image:
    -4.024000 11.196590
     
    # RAcent  DECcent POSerr Theta    Phi  PeakCts   SNR AngSep     Name
    #  [deg]    [deg]    ['] [deg]  [deg]                   [']
     83.5200  21.9072    5.4  41.2  143.9   0.1685   2.1    9.0	Crab                          
    147.0191  31.9313    0.6  16.4  -14.4   0.7150  20.0 ------	UNKNOWN                       
     46.9241  46.8349    2.5  58.4 -169.8   0.8768   4.6 ------	UNKNOWN                       
    188.7064  45.7971    2.3  45.1  -58.3   0.7435   5.0 ------	UNKNOWN                       
    

    Post-slew image of 15-350 keV band

    Time interval of the image:
    73.196600 302.352300
     
    # RAcent  DECcent POSerr Theta    Phi  PeakCts   SNR AngSep     Name
    #  [deg]    [deg]    ['] [deg]  [deg]                   [']
     82.1988  69.2800    3.1  51.5  162.9   2.0762   3.8 ------	UNKNOWN                       
    135.3167  44.4224    3.1  15.5  154.3   0.5087   3.7 ------	UNKNOWN                       
    164.0628  -1.3341    2.5  36.9  -22.3   0.8323   4.7 ------	UNKNOWN                       
    244.3148  84.1193    2.9  59.1 -166.2   4.2010   4.0 ------	UNKNOWN                       
    170.7315 -18.0851    2.9  54.9  -20.9   1.8920   4.0 ------	UNKNOWN                       
    198.0841  62.5382    3.1  44.4 -142.1   1.1169   3.7 ------	UNKNOWN                       
    184.3662  -4.2649    3.0  50.7  -44.5   3.0870   3.9 ------	UNKNOWN                       
    192.7812  23.7254    2.8  41.0  -83.4   2.8509   4.1 ------	UNKNOWN                       
    
    Plot creation:
    Sun May 31 14:45:05 EDT 2015