batgrbproduct Analysis for Trigger=231231

Analysis Summary

Notes:

======================================================================
                  BAT GRB EVENT DATA PROCESSING REPORT
    Process Script Ver: batgrbproduct v2.46
    Process Start Time (local time): Wed Jan 22 13:15:10 EST 2014
             Host Name: batevent1
   Current Working Dir: /local/data/batevent/batevent_reproc/trigger231231
======================================================================

  Trigger: 00231231      Segment: 000

  BAT Trigger Time: 180982123.328   [s; MET]
      Trigger Stop: 180982124.352   [s; MET]
               UTC: 2006-09-26T16:48:41.859180    [includes UTCF correction] 
       Where From?: TDRSS position message

  BAT 
    RA: 263.955245477458   Dec: 13.0414075589345  [deg; J2000]

     Catalogged Source?: NO
     Point Source?:      YES
     GRB Indicated?:     YES    [ by BAT flight software ]
     Image S/N Ratio:    11.6
     Image Trigger?:     NO
     Rate S/N Ratio:     17.3205080756888  [ if not an image trigger ]
     Image S/N Ratio:    11.6

  Flight Position:   [ source = BAT ]
    RA: 263.955245477458   Dec: 13.0414075589345  [deg; J2000]

  Ground Position:   [ source = BAT pre-slew burst ]
    RA: 263.928934805326   Dec: 13.0422658835586  [deg; J2000]  
        { 17h 35m 42.9s , +13d 02' 32.2" }
         +/- 1.42696934880024 [arcmin] (estimated 90% radius based on SNR)
         +/- 0.637909972148018 [arcmin] (formal 1-sigma fit error)
    SNR: 18.3031580771225
 
  Angular difference between Flight and Ground position is 1.538782 arcmin
 
  Partial Coding Fraction: 0.9453125    [ including projection effects ]

  Duration
     T90: 8.824000030756 +/- 1.14368001356697
        Measured from: 0.223999977111816
                   to: 9.04800000786781     [s; relative to TRIGTIME]
     T50: 3.69200003147125 +/- 1.23596762645632
        Measured from: 1.04799997806549
                   to: 4.74000000953674     [s; relative to TRIGTIME]



  Fluence
     Peak Flux  (peak 1 second)
        Measured from: 0.368000000715256     
                   to: 1.36800000071526     [s; relative to TRIGTIME]
     Total Fluence        
        Measured from: -0.0920000076293945     
                   to: 10.1399999856949     [s; relative to TRIGTIME]
     
             Band 1     Band 2     Band 3     Band 4
              15-25      25-50     50-100    100-350     keV
 Total     0.262661   0.203630   0.066149   0.027128
           0.018580   0.017095   0.014054   0.011855 [error]
 Peak      0.061602   0.052941   0.016219   0.005646
           0.006173   0.005624   0.004578   0.003812 [error]

     [ fluence units of on-axis counts / fully illuminated detector ] 

======================================================================
 
=== Fluence/Peak Flux Summary ===
 
              Model    Band1    Band2    Band3    Band4    Band5    Total      
                       15-25    25-50   50-100  100-350   15-150   15-350   keV
Fluence   Power-law 7.64e-08 7.70e-08 5.46e-08 6.15e-08 2.32e-07 2.70e-07   erg/cm2
              Error 9.70e-09 8.20e-09 1.20e-08 2.58e-08 2.73e-08 4.20e-08   erg/cm2
Peak flux Power-law 5.82e-01 3.50e-01 1.35e-01 6.91e-02 1.10e+00 1.14e+00   ph/cm2/s
              Error 9.36e-02 4.59e-02 3.39e-02 3.18e-02 1.36e-01 1.41e-01   ph/cm2/s
 
Fluence   Cutoff-PL 7.58e-08 7.86e-08 5.25e-08 3.87e-08 2.26e-07 2.46e-07   erg/cm2
              Error 1.02e-08 1.02e-08 1.57e-08 3.09e-08 3.38e-08 5.91e-08   erg/cm2
Peak flux Cutoff-PL 5.58e-01 3.90e-01 1.10e-01 1.20e-02 1.07e+00 1.07e+00   ph/cm2/s
              Error 1.01e-01 6.34e-02 4.98e-02 4.08e-02 1.40e-01 1.43e-01   ph/cm2/s
 
Fluence        Band -------- -------- -------- -------- -------- --------   erg/cm2
              Error -------- -------- -------- -------- -------- --------   erg/cm2
Peak flux      Band -------- -------- -------- -------- -------- --------   ph/cm2/s
              Error -------- -------- -------- -------- -------- --------   ph/cm2/s
 
=== Time-averaged spectral analysis ===
 
Model Ph_index Ph_90err Epeak  Epeak_90err Norm     Nomr_90err chi2   dof
PL    2.497    0.221    -      -           2.27e-03 3.61e-04   38.410 57
CPL   1.958    0.000       2.8    0.0      4.95e-03 0.00e+00   38.590 56
 
 
=== 1-s peak spectral analysis ===
 
Model Ph_index Ph_90err Epeak  Epeak_90err Norm     Nomr_90err chi2   dof
PL    2.380    0.257    -      -           6.03e-03 1.15e-03   51.510 57
CPL   1.272    1.271      22.6    0.0      3.14e-02 0.00e+00   49.330 56
 
Model      : spectral model: simple power-law (PL) and cutoff power-law (CPL)
Ph_index   : photon index: E^-{Ph_index} (minus sign is not included in the index)
Ph_90err   : 90% error of the photon index
Epeak      : Epeak in keV
Epeak_90err: 90% error of Epeak
Norm       : normalization at 50 keV in PL model and at 1 keV in CPL model
Nomr_90err : 90% error of the normalization
chi2       : Chi-Squared
dof        : degree of freedom
 
=== T90/T50 calculation in the 50-300 keV band (BATSE band) using 64 ms lc ===
 
T90 in the 50-300 keV band: 0.000000 sec.
T50 in the 50-300 keV band: 0.000000 sec.
 
=== Table of the duration information ==
 
        Value   tstart    tstop
T100   10.232   -0.092   10.140
T90     8.824    0.224    9.048
T50     3.692    1.048    4.740
Peak    1.000    0.368    1.368
  • Click here for the BAT GCN circular template
  • Special notes of this burst

    Image

    Pre-slew 15.0-350.0 keV image (Event data)

    #   RAcent    DECcent   POSerr    Theta     Phi              Peak Cts       SNR   Name
      263.9289    13.0423   0.0105     9.0780    98.0474         0.5755504     18.303 TRIG_00231231                 
     
    Foreground time interval of the image:
     -0.092  10.140 (delta_t =  10.232 [sec])
    Background time interval of the image:
    -239.328  -0.092 (delta_t = 239.236 [sec])
    

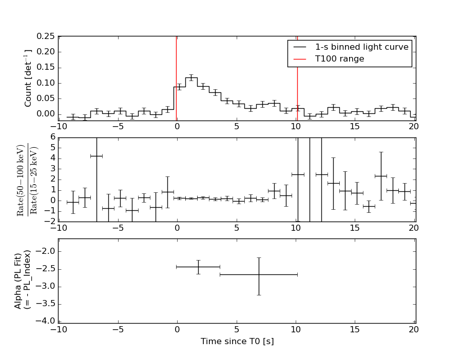
    Lightcurves

    Notes:

    1 s binning

    From T0-310 s to T0+310 s
    From T100_start - 20 s to T100_end + 30 s
    Full time interval

    64 ms binning

    Full time interval
    From T100_start to T100_end
    From T0-5 sec to T0+5 sec

    16 ms binning

    From T100_start-5 s to T100_start+5 s

    8 ms binning

    From T100_start-3 s to T100_start+3 s

    2 ms binning

    From T100_start-1 s to T100_start+1 s

    SN=5 or 10 sec. binning (whichever binning is satisfied first)

    SN=5 or 10 sec. binning (T < 200 sec)

    Quad-rate summed light curves (from T0-300s to T0+1000s)

    Spectral Evolution

    Spectra

    Notes:

    Time averaged spectrum fit using the average DRM

    Power-law model
    Time interval is from   -0.092 sec. to   10.140 sec.
     
    Spectral model in power-law:
    ------------------------------------------------------------
    Parameters  : value       lower 90%   higher 90%
    Photon index: 2.49681     ( -0.213116   0.229232 )
    Norm@50keV  : 2.27213E-03    ( -0.000362901   0.000359504 )
    ------------------------------------------------------------
    #Fit statistic : Chi-Squared =          38.41 using 59 PHA bins.
    # Reduced chi-squared =         0.6738 for     57 degrees of freedom 
    # Null hypothesis probability =   9.721502e-01
     
    Photon flux (15-150 keV)    in 10.23 sec: 0.445480 ( -0.0426737  0.0426837 ) ph/cm2/s
    Energy fluence (15-150 keV)             : 2.32231e-07 ( -2.68691e-08  2.76872e-08 ) ergs/cm2
     
    
    Cutoff power-law model
    Time interval is from   -0.092 sec. to   10.140 sec.
    Spectral model in the cutoff power-law:
    ------------------------------------------------------------
    Parameters  : value       lower 90%   higher 90%
    Photon index: 1.95843     (     )
    Epeak [keV] : 2.76236      (   )
    Norm@50keV  : 4.95270E-03    (     )
    ------------------------------------------------------------
    #Fit statistic : Chi-Squared =          38.59 using 59 PHA bins.
    # Reduced chi-squared =         0.6891 for     56 degrees of freedom 
    # Null hypothesis probability =   9.633137e-01
     
    Photon flux (15-150 keV)    in 10.23 sec: 0.441691 ( -0.045626  0.045201 ) ph/cm2/s
    Energy fluence (15-150 keV)             : 2.2631e-07 ( -3.51431e-08  3.24741e-08 ) ergs/cm2
     
    
    Band function
    Time interval is from   -0.092 sec. to   10.140 sec.
     
    Spectral model in the Band function:
    ------------------------------------------------------------
    Parameters  : value       lower 90%   higher 90%
    alpha       : -0.208656   ( 1.46962   1.46962 )
    beta        : -2.69661    ( 2.61517   0.284667 )
    Epeak [keV] : 20.2011      ( -14.937 32.617 )
    Norm@50keV   : 0.111039    ( -0.108895   1082.04 )
    ------------------------------------------------------------
    #Fit statistic : Chi-Squared =          37.13 using 59 PHA bins.
    # Reduced chi-squared =         0.6751 for     55 degrees of freedom 
    # Null hypothesis probability =   9.691612e-01
     
    Photon flux (15-150 keV)    in 10.23 sec:  (    ) ph/cm2/s
    Energy fluence (15-150 keV)             : 0 ( 0  0 ) ergs/cm2
     
    
    Single BB
     
    Spectral model blackbody:
    ------------------------------------------------------------
    Parameters  : value    Lower 90%  Upper 90%
    kT [keV]    : 6.90685  (-0.744188  0.841613)
    R^2/D10^2   : 0.854173  (-0.331267   0.54552)
    (R is the radius in km and D10 is the distance to the source in units of 10 kpc)
    ------------------------------------------------------------
    #Fit statistic : Chi-Squared =          56.20 using 59 PHA bins.
    # Reduced chi-squared =         0.9859 for     57 degrees of freedom 
    # Null hypothesis probability =   5.051462e-01
     
    Energy  Fluence     90% Error
    [keV]   [erg/cm2]   [erg/cm2]
    15- 25  6.603e-08   1.092e-08
    25- 50  8.809e-08   1.266e-08
    50-150  1.390e-08   5.038e-09
    15-150  1.680e-07   2.378e-08
    
    Thermal bremsstrahlung (OTTB)
     
     
    Spectral model: thermal bremsstrahlung
    ------------------------------------------------------------
    Parameters  : value         Lower 90%    Upper 90%
    kT [keV]    : 31.2175       (-6.869      9.695)
    Norm        : 3.39904       (-0.707751     0.947772)
    ------------------------------------------------------------
    #Fit statistic : Chi-Squared =          40.31 using 59 PHA bins.
    # Reduced chi-squared =         0.7073 for     57 degrees of freedom 
    # Null hypothesis probability =   9.539002e-01
     
    Energy  Fluence     90% Error
    [keV]   [erg/cm2]   [erg/cm2]
    15- 25  7.218e-08   8.931e-09
    25- 50  8.428e-08   1.074e-08
    50-150  4.860e-08   1.673e-08
    15-150  2.051e-07   2.593e-08
    
    Double BB
     
     
    Spectral model: bbodyrad<1> + bbodyrad<2>
    ------------------------------------------------------------
    Parameters  : value         Lower 90%    Upper 90%
    kT1 [keV]   : 5.09896        (-1.13426      1.09971)
    R1^2/D10^2  : 2.57983        (-1.37761      4.47281)
    kT2 [keV]   : 18.2254        (-6.64024      18.3151)
    R2^2/D10^2  : 9.21019E-03    (-0.00835721   0.054951)
    ------------------------------------------------------------
    #Fit statistic : Chi-Squared =          37.48 using 59 PHA bins.
    # Reduced chi-squared =         0.6815 for     55 degrees of freedom 
    # Null hypothesis probability =   9.660002e-01
     
    Energy  Fluence     90% Error
    [keV]   [erg/cm2]   [erg/cm2]
    15- 25  7.562e-08   3.159e-08
    25- 50  7.667e-08   2.943e-08
    50-150  7.258e-08   4.170e-08
    15-150  2.249e-07   8.835e-08
    

    Peak spectrum fit

    Power-law model
    Time interval is from    0.368 sec. to    1.368 sec.
     
    Spectral model in power-law:
    ------------------------------------------------------------
    Parameters  : value       lower 90%   higher 90%
    Photon index: 2.37986     ( -0.246672   0.26804 )
    Norm@50keV  : 6.02994E-03    ( -0.00115824   0.00114505 )
    ------------------------------------------------------------
    #Fit statistic : Chi-Squared =          51.51 using 59 PHA bins.
    # Reduced chi-squared =         0.9037 for     57 degrees of freedom 
    # Null hypothesis probability =   6.803699e-01
     
    Photon flux (15-150 keV)    in 1 sec: 1.10268 ( -0.136006  0.136007 ) ph/cm2/s
    Energy fluence (15-150 keV)             : 5.85568e-08 ( -8.78927e-09  9.10985e-09 ) ergs/cm2
     
    
    Cutoff power-law model
    Time interval is from    0.368 sec. to    1.368 sec.
    Spectral model in the cutoff power-law:
    ------------------------------------------------------------
    Parameters  : value       lower 90%   higher 90%
    Photon index: 1.27241     ( -1.81675   0.725933 )
    Epeak [keV] : 22.5822      (   )
    Norm@50keV  : 3.14269E-02    (     )
    ------------------------------------------------------------
    #Fit statistic : Chi-Squared =          49.33 using 59 PHA bins.
    # Reduced chi-squared =         0.8809 for     56 degrees of freedom 
    # Null hypothesis probability =   7.235977e-01
     
    Photon flux (15-150 keV)    in 1 sec: 1.06785 ( -0.13916  0.14054 ) ph/cm2/s
    Energy fluence (15-150 keV)             : 5.19541e-08 ( -9.1589e-09  1.14539e-08 ) ergs/cm2
     
    
    Band function
    Time interval is from    0.368 sec. to    1.368 sec.
     
    Spectral model in the Band function:
    ------------------------------------------------------------
    Parameters  : value       lower 90%   higher 90%
    alpha       : 4.57886   ( -12.1322   -4.57886 )
    beta        : -2.79910    ( -0.546178   0.397853 )
    Epeak [keV] : 23.2635      ( -3.48573 3.18374 )
    Norm@50keV   : 1093.62    ( -133.399   11863.5 )
    ------------------------------------------------------------
    #Fit statistic : Chi-Squared =          47.54 using 59 PHA bins.
    # Reduced chi-squared =         0.8644 for     55 degrees of freedom 
    # Null hypothesis probability =   7.522598e-01
     
    Photon flux (15-150 keV)    in 1 sec:  (    ) ph/cm2/s
    Energy fluence (15-150 keV)             : 0 ( 0  0 ) ergs/cm2
     
    
    Single BB
     
    Spectral model blackbody:
    ------------------------------------------------------------
    Parameters  : value    Lower 90%  Upper 90%
    kT [keV]    : 7.30970  (-0.928795  1.07619)
    R^2/D10^2   : 1.74830  (-0.763554   1.34432)
    (R is the radius in km and D10 is the distance to the source in units of 10 kpc)
    ------------------------------------------------------------
    #Fit statistic : Chi-Squared =          55.37 using 59 PHA bins.
    # Reduced chi-squared =         0.9714 for     57 degrees of freedom 
    # Null hypothesis probability =   5.365344e-01
     
    Energy  Fluence     90% Error
    [keV]   [erg/cm2]   [erg/cm2]
    15- 25  1.566e-08   3.560e-09
    25- 50  2.329e-08   4.205e-09
    50-150  4.503e-09   1.744e-09
    15-150  4.346e-08   8.125e-09
    
    Thermal bremsstrahlung (OTTB)
     
     
    Spectral model: thermal bremsstrahlung
    ------------------------------------------------------------
    Parameters  : value         Lower 90%    Upper 90%
    kT [keV]    : 34.6146       (-9.00971      13.8831)
    Norm        : 7.91549       (-1.84035     2.51308)
    ------------------------------------------------------------
    #Fit statistic : Chi-Squared =          49.30 using 59 PHA bins.
    # Reduced chi-squared =         0.8649 for     57 degrees of freedom 
    # Null hypothesis probability =   7.558790e-01
     
    Energy  Fluence     90% Error
    [keV]   [erg/cm2]   [erg/cm2]
    15- 25  1.721e-08   2.815e-09
    25- 50  2.119e-08   3.695e-09
    50-150  1.389e-08   5.733e-09
    15-150  5.229e-08   9.920e-09
    
    Double BB
     
     
    Spectral model: bbodyrad<1> + bbodyrad<2>
    ------------------------------------------------------------
    Parameters  : value         Lower 90%    Upper 90%
    kT1 [keV]   : 5.55543        (-2.06782      1.75198)
    R1^2/D10^2  : 4.31751        (-2.65508      16.8569)
    kT2 [keV]   : 16.6064        (-6.90561      -16.6875)
    R2^2/D10^2  : 3.07422E-02    (-0.0299897   0.544376)
    ------------------------------------------------------------
    #Fit statistic : Chi-Squared =          48.28 using 59 PHA bins.
    # Reduced chi-squared =         0.8778 for     55 degrees of freedom 
    # Null hypothesis probability =   7.272691e-01
     
    Energy  Fluence     90% Error
    [keV]   [erg/cm2]   [erg/cm2]
    15- 25  1.745e-08   9.585e-09
    25- 50  2.074e-08   1.074e-08
    50-150  1.561e-08   9.989e-09
    15-150  5.380e-08   2.727e-08
    

    Pre-slew spectrum (Pre-slew PHA with pre-slew DRM)

    Power-law model
     
    Spectral model in power-law:
    ------------------------------------------------------------
    Parameters  : value       lower 90%   higher 90%
    Photon index: 2.49681     ( -0.213116   0.229232 )
    Norm@50keV  : 2.27213E-03    ( -0.000362901   0.000359504 )
    ------------------------------------------------------------
    #Fit statistic : Chi-Squared =          38.41 using 59 PHA bins.
    # Reduced chi-squared =         0.6738 for     57 degrees of freedom 
    # Null hypothesis probability =   9.721502e-01
     
    Photon flux (15-150 keV)    in 10.23 sec: 0.445480 ( -0.0426737  0.0426837 ) ph/cm2/s
    Energy fluence (15-150 keV)             : 2.32231e-07 ( -2.68691e-08  2.76872e-08 ) ergs/cm2
     
    
    Cutoff power-law model
    Spectral model in the cutoff power-law:
    ------------------------------------------------------------
    Parameters  : value       lower 90%   higher 90%
    Photon index: 1.95843     (     )
    Epeak [keV] : 2.76236      (   )
    Norm@50keV  : 4.95270E-03    (     )
    ------------------------------------------------------------
    #Fit statistic : Chi-Squared =          38.59 using 59 PHA bins.
    # Reduced chi-squared =         0.6891 for     56 degrees of freedom 
    # Null hypothesis probability =   9.633137e-01
     
    Photon flux (15-150 keV)    in 10.23 sec: 0.441691 ( -0.045626  0.045201 ) ph/cm2/s
    Energy fluence (15-150 keV)             : 2.2631e-07 ( -3.51431e-08  3.24741e-08 ) ergs/cm2
     
    
    Band function
     
    Spectral model in the Band function:
    ------------------------------------------------------------
    Parameters  : value       lower 90%   higher 90%
    alpha       : -0.208656   ( 1.46962   1.46962 )
    beta        : -2.69661    ( 2.61517   0.284666 )
    Epeak [keV] : 20.2011      ( -14.937 32.617 )
    Norm@50keV   : 0.111039    ( -0.108895   1081.99 )
    ------------------------------------------------------------
    #Fit statistic : Chi-Squared =          37.13 using 59 PHA bins.
    # Reduced chi-squared =         0.6751 for     55 degrees of freedom 
    # Null hypothesis probability =   9.691612e-01
     
    Photon flux (15-150 keV)    in 10.23 sec:  (    ) ph/cm2/s
    Energy fluence (15-150 keV)             : 0 ( 0  0 ) ergs/cm2
     
    

    S(25-50 keV) vs. S(50-100 keV) plot

    S(25-50 keV)  = 7.70e-08
    S(50-100 keV) = 5.46e-08
    

    T90 vs. Hardness ratio plot

    T90                                   = 8.824000030756 sec.
    Hardness ratio (energy fluence ratio) = 0.709091
    

    Color vs. Color plot

    Count Ratio  (25-50 keV) / (15-25 keV) = 0.775258
    Count Ratio (50-100 keV) / (15-25 keV) = 0.251842
    

    Mask shadow pattern

    IMX = -2.236794455097446E-02, IMY = -1.582073322667724E-01
    

    TIME vs. PHA plot around the trigger time

    TIME vs. DetID plot around the trigger time

    100 us light curve (15-350 keV)

    Spacecraft aspect plot

    Bright source in the pre-burst/pre-slew/post-slew images

    Pre-burst image of 15-350 keV band

    Time interval of the image:
    -239.328000 -0.092000
     
    # RAcent  DECcent POSerr Theta    Phi  PeakCts   SNR AngSep     Name
    #  [deg]    [deg]    ['] [deg]  [deg]                   [']
    244.9743 -15.6390    0.2  29.6 -147.5  10.9997  49.6    0.3	Sco X-1                       
    254.2773  35.3571    4.1  23.0   12.6   0.5384   2.8    8.9	Her X-1                       
    255.9812 -37.8368    3.4  50.2 -168.0   1.6443   3.3    0.5	4U 1700-377                   
    256.5301 -36.4529    5.0  48.8 -168.6   1.0097   2.3    4.9	GX 349+2                      
    263.0999 -24.7496    2.2  38.0 -179.1   1.4811   5.4    5.0	GX 1+4                        
    264.8316 -44.3870    9.6  57.5 -175.2   1.2592   1.2    5.4	4U 1735-44                    
    268.3911  -1.3899    3.4  19.4  147.6   0.6455   3.4    4.0	SW J1753.5-0127               
    270.2642 -25.1202    3.2  40.5  171.3   1.0815   3.6    2.7	GX 5-1                        
    270.3100 -25.8667    8.4  41.2  171.7   0.4325   1.4    7.4	GRS 1758-258                  
    273.9546 -14.0514   10.1  32.6  156.9   0.3255   1.1    3.1	GX 17+2                       
    276.0162 -30.2328    6.4  47.3  168.0   0.9194   1.8    9.3	H1820-303                     
    284.9648 -25.1067   16.2  47.7  155.2   0.4484   0.7   11.8	HT1900.1-2455                 
    288.8074  10.9169    1.1  33.5  102.2   4.4665  10.4    1.8	GRS 1915+105                  
    262.9786 -33.8603    6.6  46.9 -176.1   0.6626   1.8    1.6	GX 354-0                      
    274.6850  49.8332    2.4  40.9   33.1   2.0550   4.9 ------	UNKNOWN                       
    242.3214   7.1518    3.0  13.2  -98.7   0.7833   3.8 ------	UNKNOWN                       
    201.0634  46.4350    5.2  56.3  -28.4   2.7586   2.2 ------	UNKNOWN                       
    216.8093  -4.1364    5.6  41.1  -98.0   2.4431   2.1 ------	UNKNOWN                       
    

    Pre-slew background subtracted image of 15-350 keV band

    Time interval of the image:
    -0.092000 10.140000
     
    # RAcent  DECcent POSerr Theta    Phi  PeakCts   SNR AngSep     Name
    #  [deg]    [deg]    ['] [deg]  [deg]                   [']
    245.1116 -15.7655    4.9  29.7 -147.8  -0.0860  -2.4   10.7	Sco X-1                       
    254.5779  35.5170    0.0  23.2   13.2   0.0452   1.3   12.0	Her X-1                       
    255.9703 -37.8212  695.0  50.2 -168.0  -0.0012  -0.0    1.6	4U 1700-377                   
    256.6233 -36.5472    0.0  48.9 -168.7   0.1235   1.7   11.7	GX 349+2                      
    262.9664 -24.8190  107.5  38.1 -178.9  -0.0049  -0.1    5.0	GX 1+4                        
    264.7632 -44.4635    5.7  57.6 -175.2  -0.3597  -2.0    1.2	4U 1735-44                    
    268.3577  -1.4905    6.4  19.4  147.9  -0.0599  -1.8    2.4	SW J1753.5-0127               
    270.3991 -25.0165   10.9  40.4  171.1   0.0517   1.1    7.3	GX 5-1                        
    270.3964 -25.5988    3.2  40.9  171.4   0.1828   3.6   10.0	GRS 1758-258                  
    274.1452 -14.0534   10.7  32.7  156.6   0.0470   1.1    8.2	GX 17+2                       
    276.0038 -30.4998    3.0  47.5  168.2  -0.2924  -3.9    9.0	H1820-303                     
    285.0721 -24.8114    4.1  47.6  154.9  -0.2929  -2.8    6.8	HT1900.1-2455                 
    288.7125  10.8617    5.1  33.4  102.3  -0.1572  -2.3    7.1	GRS 1915+105                  
    262.8403 -33.7815   16.9  46.8 -176.0  -0.0402  -0.7    8.1	GX 354-0                      
    291.8355  -2.3888    2.2  39.8  122.6   0.5122   5.3 ------	UNKNOWN                       
    263.9289  13.0423    0.6   9.1   98.0   0.5756  18.3 ------	UNKNOWN                       
    

    Post-slew image of 15-350 keV band

    Time interval of the image:
    43.772620 875.972600
     
    # RAcent  DECcent POSerr Theta    Phi  PeakCts   SNR AngSep     Name
    #  [deg]    [deg]    ['] [deg]  [deg]                   [']
    244.9831 -15.6442    0.2  34.3 -142.8  37.0285  47.7    0.3	Sco X-1                       
    254.3161  35.3208    3.0  23.9  -16.2   2.0921   3.8    7.0	Her X-1                       
    256.0052 -37.8557    4.5  51.5 -168.5   4.3000   2.6    1.1	4U 1700-377                   
    256.4614 -36.5106   23.0  50.1 -168.7   0.6865   0.5    5.4	GX 349+2                      
    263.0485 -24.7169    2.5  37.8 -175.2   3.7677   4.6    2.8	GX 1+4                        
    264.8570 -44.4511    8.6  57.5 -177.3  -4.1665  -1.3    4.9	4U 1735-44                    
    268.3236  -1.3586    2.6  15.1  166.4   2.3727   4.4    6.2	SW J1753.5-0127               
    270.2837 -25.0814    2.3  38.6  174.3   3.8547   5.0    0.1	GX 5-1                        
    270.2966 -25.7398    6.0  39.3  174.4   1.4372   1.9    0.4	GRS 1758-258                  
    273.9286 -14.0279    3.9  28.8  163.1   1.9651   3.0    4.5	GX 17+2                       
    275.7966 -30.2335    0.0  44.8  168.9  -1.3544  -1.2   10.4	H1820-303                     
    285.0102 -25.0211    4.9  43.3  155.1   3.2143   2.4    6.2	HT1900.1-2455                 
    288.7877  10.9525    0.6  24.4   95.8  14.6205  18.1    0.8	GRS 1915+105                  
    299.5832  35.2066    0.4  39.0   52.7  44.1743  32.2    0.5	Cyg X-1                       
    262.9594 -33.8718    4.8  46.9 -175.4   2.3610   2.4    2.7	GX 354-0                      
    277.3766 -23.7918    2.9  39.1  163.8   3.8169   4.0 ------	UNKNOWN                       
    242.8039  53.9567    2.7  44.2  -14.2   4.2861   4.2 ------	UNKNOWN                       
    243.2989  52.1869    3.3  42.5  -15.2   3.3788   3.5 ------	UNKNOWN                       
    226.8433 -12.5235    3.1  44.8 -119.8  12.2431   3.8 ------	UNKNOWN                       
    223.8687   2.3733    5.1  41.1  -98.1   8.9051   2.3 ------	UNKNOWN                       
    
    Plot creation:
    Sun May 31 11:55:39 EDT 2015