batgrbproduct Analysis for Trigger=277356

Analysis Summary

Notes:

======================================================================
                  BAT GRB EVENT DATA PROCESSING REPORT
    Process Script Ver: batgrbproduct v2.46
    Process Start Time (local time): Mon Jan 20 10:15:36 EST 2014
             Host Name: batevent1
   Current Working Dir: /local/data/batevent/batevent_reproc/trigger277356
======================================================================

  Trigger: 00277356      Segment: 000

  BAT Trigger Time: 199355470.848   [s; MET]
      Trigger Stop: 199355471.872   [s; MET]
               UTC: 2007-04-27T08:31:08.930660    [includes UTCF correction] 
       Where From?: TDRSS position message

  BAT 
    RA: 28.8618505141047   Dec: -27.6329554026753  [deg; J2000]

     Catalogged Source?: NO
     Point Source?:      YES
     GRB Indicated?:     YES    [ by BAT flight software ]
     Image S/N Ratio:    8.85
     Image Trigger?:     NO
     Rate S/N Ratio:     11.7898261225516  [ if not an image trigger ]
     Image S/N Ratio:    8.85

  Flight Position:   [ source = BAT ]
    RA: 28.8618505141047   Dec: -27.6329554026753  [deg; J2000]

  Ground Position:   [ source = BAT pre-slew burst ]
    RA: 28.8777179976176   Dec: -27.6052179084872  [deg; J2000]  
        { 01h 55m 30.7s , -27d 36' 18.8" }
         +/- 0.790441294511867 [arcmin] (estimated 90% radius based on SNR)
         +/- 0.255605754152814 [arcmin] (formal 1-sigma fit error)
    SNR: 42.5616956449078
 
  Angular difference between Flight and Ground position is 1.865831 arcmin
 
  Partial Coding Fraction: 1    [ including projection effects ]

  Duration
     T90: 11.080000013113 +/- 0.972084349357335
        Measured from: 0.640000015497208
                   to: 11.7200000286102     [s; relative to TRIGTIME]
     T50: 5.69999998807907 +/- 0.545134811791544
        Measured from: 3.18400001525879
                   to: 8.88400000333786     [s; relative to TRIGTIME]



  Fluence
     Peak Flux  (peak 1 second)
        Measured from: 6.80000001192093     
                   to: 7.80000001192093     [s; relative to TRIGTIME]
     Total Fluence        
        Measured from: -0.179999977350235     
                   to: 13.688000023365     [s; relative to TRIGTIME]
     
             Band 1     Band 2     Band 3     Band 4
              15-25      25-50     50-100    100-350     keV
 Total     0.537560   0.568346   0.275411   0.042834
           0.018129   0.018940   0.016252   0.013665 [error]
 Peak      0.057763   0.067630   0.030867   0.005396
           0.005109   0.005421   0.004602   0.003780 [error]

     [ fluence units of on-axis counts / fully illuminated detector ] 

======================================================================
 
=== Fluence/Peak Flux Summary ===
 
              Model    Band1    Band2    Band3    Band4    Band5    Total      
                       15-25    25-50   50-100  100-350   15-150   15-350   keV
Fluence   Power-law 1.67e-07 2.22e-07 2.17e-07 3.80e-07 7.31e-07 9.87e-07   erg/cm2
              Error 1.15e-08 9.59e-09 1.57e-08 5.64e-08 3.56e-08 7.14e-08   erg/cm2
Peak flux Power-law 5.65e-01 4.43e-01 2.33e-01 1.78e-01 1.32e+00 1.42e+00   ph/cm2/s
              Error 7.71e-02 4.24e-02 3.71e-02 5.36e-02 1.26e-01 1.38e-01   ph/cm2/s
 
Fluence   Cutoff-PL 1.57e-07 2.34e-07 2.12e-07 1.60e-07 6.90e-07 7.63e-07   erg/cm2
              Error 1.33e-08 1.24e-08 1.78e-08 9.34e-08 4.40e-08 1.05e-07   erg/cm2
Peak flux Cutoff-PL 5.24e-01 4.90e-01 2.25e-01 5.57e-02 1.28e+00 1.30e+00   ph/cm2/s
              Error 8.69e-02 6.08e-02 4.52e-02 -------- 1.31e-01 1.46e-01   ph/cm2/s
 
Fluence        Band 1.50e-07 2.35e-07 2.06e-07 3.07e-07 7.01e-07 9.00e-07   erg/cm2
              Error 1.48e-08 1.31e-08 1.73e-08 6.68e-08 3.86e-08 8.19e-08   erg/cm2
Peak flux      Band 5.12e-01 5.05e-01 2.14e-01 1.08e-01 1.29e+00 1.34e+00   ph/cm2/s
              Error 9.16e-02 6.50e-02 4.34e-02 -------- 1.30e-01 1.49e-01   ph/cm2/s
 
=== Time-averaged spectral analysis ===
 
Model Ph_index Ph_90err Epeak  Epeak_90err Norm     Nomr_90err chi2   dof
PL    2.034    0.086    -      -           5.71e-03 2.95e-04   57.800 57
CPL   1.512    0.374      40.0   10.7      1.12e-02 5.65e-03   51.200 56
 
 
=== 1-s peak spectral analysis ===
 
Model Ph_index Ph_90err Epeak  Epeak_90err Norm     Nomr_90err chi2   dof
PL    1.925    0.177    -      -           9.12e-03 1.10e-03   43.210 57
CPL   1.046    0.901      44.1   23.8      3.00e-02 6.05e-02   39.520 56
 
Model      : spectral model: simple power-law (PL) and cutoff power-law (CPL)
Ph_index   : photon index: E^-{Ph_index} (minus sign is not included in the index)
Ph_90err   : 90% error of the photon index
Epeak      : Epeak in keV
Epeak_90err: 90% error of Epeak
Norm       : normalization at 50 keV in PL model and at 1 keV in CPL model
Nomr_90err : 90% error of the normalization
chi2       : Chi-Squared
dof        : degree of freedom
 
=== T90/T50 calculation in the 50-300 keV band (BATSE band) using 64 ms lc ===
 
T90 in the 50-300 keV band: 10.176000 sec.
T50 in the 50-300 keV band: 5.376000 sec.
 
=== Table of the duration information ==
 
        Value   tstart    tstop
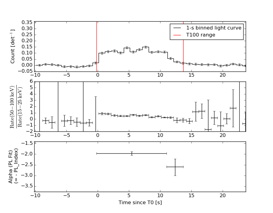
T100   13.868   -0.180   13.688
T90    11.080    0.640   11.720
T50     5.700    3.184    8.884
Peak    1.000    6.800    7.800
  • Click here for the BAT GCN circular template
  • Special notes of this burst

    Image

    Pre-slew 15.0-350.0 keV image (Event data)

    #   RAcent    DECcent   POSerr    Theta     Phi              Peak Cts       SNR   Name
       28.8777   -27.6052   0.0045    14.8252   -27.8000         1.4579100     42.562 TRIG_00277356                 
     
    Foreground time interval of the image:
     -0.180  13.688 (delta_t =  13.868 [sec])
    Background time interval of the image:
    -239.848  -0.180 (delta_t = 239.668 [sec])
    

    Lightcurves

    Notes:

    1 s binning

    From T0-310 s to T0+310 s
    From T100_start - 20 s to T100_end + 30 s
    Full time interval

    64 ms binning

    Full time interval
    From T100_start to T100_end
    From T0-5 sec to T0+5 sec

    16 ms binning

    From T100_start-5 s to T100_start+5 s
    Blue+Cyan dotted lines: Time interval of the scaled map
    From 0.000000 to 1.024000
    

    8 ms binning

    From T100_start-3 s to T100_start+3 s
    Blue+Cyan dotted lines: Time interval of the scaled map
    From 0.000000 to 1.024000
    

    2 ms binning

    From T100_start-1 s to T100_start+1 s
    Blue+Cyan dotted lines: Time interval of the scaled map
    From 0.000000 to 1.024000
    

    SN=5 or 10 sec. binning (whichever binning is satisfied first)

    SN=5 or 10 sec. binning (T < 200 sec)

    Quad-rate summed light curves (from T0-300s to T0+1000s)

    Spectral Evolution

    Spectra

    Notes:

    Time averaged spectrum fit using the average DRM

    Power-law model
    Time interval is from   -0.180 sec. to   13.688 sec.
     
    Spectral model in power-law:
    ------------------------------------------------------------
    Parameters  : value       lower 90%   higher 90%
    Photon index: 2.03359     ( -0.0856606   0.0871251 )
    Norm@50keV  : 5.70601E-03    ( -0.000296124   0.000293604 )
    ------------------------------------------------------------
    #Fit statistic : Chi-Squared =          57.80 using 59 PHA bins.
    # Reduced chi-squared =          1.014 for     57 degrees of freedom 
    # Null hypothesis probability =   4.454705e-01
     
    Photon flux (15-150 keV)    in 13.87 sec: 0.869392 ( -0.0389364  0.0390076 ) ph/cm2/s
    Energy fluence (15-150 keV)             : 7.31314e-07 ( -3.54821e-08  3.57456e-08 ) ergs/cm2
     
    
    Cutoff power-law model
    Time interval is from   -0.180 sec. to   13.688 sec.
    Spectral model in the cutoff power-law:
    ------------------------------------------------------------
    Parameters  : value       lower 90%   higher 90%
    Photon index: 1.51158     ( -0.392622   0.35511 )
    Epeak [keV] : 40.0347      ( -12.2418 9.19576 )
    Norm@50keV  : 1.11693E-02    ( -0.00402107   0.00727837 )
    ------------------------------------------------------------
    #Fit statistic : Chi-Squared =          51.20 using 59 PHA bins.
    # Reduced chi-squared =         0.9143 for     56 degrees of freedom 
    # Null hypothesis probability =   6.567911e-01
     
    Photon flux (15-150 keV)    in 13.87 sec: 0.842357 ( -0.042643  0.042687 ) ph/cm2/s
    Energy fluence (15-150 keV)             : 6.90317e-07 ( -4.37002e-08  4.43979e-08 ) ergs/cm2
     
    
    Band function
    Time interval is from   -0.180 sec. to   13.688 sec.
     
    Spectral model in the Band function:
    ------------------------------------------------------------
    Parameters  : value       lower 90%   higher 90%
    alpha       : 1.84461   ( -2.93486   -1.84653 )
    beta        : -2.20030    ( -0.194674   0.129204 )
    Epeak [keV] : 26.5569      ( -3.36176 10.8189 )
    Norm@50keV   : 3.44175    ( -3.48834   382.253 )
    ------------------------------------------------------------
    #Fit statistic : Chi-Squared =          45.40 using 59 PHA bins.
    # Reduced chi-squared =         0.8254 for     55 degrees of freedom 
    # Null hypothesis probability =   8.187089e-01
     
    Photon flux (15-150 keV)    in 13.87 sec:  (    ) ph/cm2/s
    Energy fluence (15-150 keV)             : 7.00851e-07 ( -7.00754e-07  -3.86501e-08 ) ergs/cm2
     
    
    Single BB
     
    Spectral model blackbody:
    ------------------------------------------------------------
    Parameters  : value    Lower 90%  Upper 90%
    kT [keV]    : 10.0624  (  )
    R^2/D10^2   : 0.374946  (   )
    (R is the radius in km and D10 is the distance to the source in units of 10 kpc)
    ------------------------------------------------------------
    #Fit statistic : Chi-Squared =         140.15 using 59 PHA bins.
    # Reduced chi-squared =         2.4588 for     57 degrees of freedom 
    # Null hypothesis probability =   5.904208e-09
     
    Energy  Fluence     90% Error
    [keV]   [erg/cm2]   [erg/cm2]
    15- 25  1.075e-07   8.620e-09
    25- 50  2.695e-07   1.325e-08
    50-150  1.432e-07   1.830e-08
    15-150  5.202e-07   2.628e-08
    
    Thermal bremsstrahlung (OTTB)
     
     
    Spectral model: thermal bremsstrahlung
    ------------------------------------------------------------
    Parameters  : value         Lower 90%    Upper 90%
    kT [keV]    : 64.6727       (-8.46613      10.5344)
    Norm        : 4.33042       (-0.33744     0.374126)
    ------------------------------------------------------------
    #Fit statistic : Chi-Squared =          51.71 using 59 PHA bins.
    # Reduced chi-squared =         0.9071 for     57 degrees of freedom 
    # Null hypothesis probability =   6.732584e-01
     
    Energy  Fluence     90% Error
    [keV]   [erg/cm2]   [erg/cm2]
    15- 25  1.526e-07   9.848e-09
    25- 50  2.376e-07   1.026e-08
    50-150  2.872e-07   3.079e-08
    15-150  6.774e-07   3.676e-08
    
    Double BB
     
     
    Spectral model: bbodyrad<1> + bbodyrad<2>
    ------------------------------------------------------------
    Parameters  : value         Lower 90%    Upper 90%
    kT1 [keV]   : 6.48167        (-0.76834      0.780858)
    R1^2/D10^2  : 1.55589        (-0.510299      0.882206)
    kT2 [keV]   : 21.8226        (-3.73843      5.59615)
    R2^2/D10^2  : 1.25090E-02    (-0.00727311   0.0144313)
    ------------------------------------------------------------
    #Fit statistic : Chi-Squared =          45.94 using 59 PHA bins.
    # Reduced chi-squared =         0.8352 for     55 degrees of freedom 
    # Null hypothesis probability =   8.029111e-01
     
    Energy  Fluence     90% Error
    [keV]   [erg/cm2]   [erg/cm2]
    15- 25  1.489e-07   1.691e-08
    25- 50  2.376e-07   2.788e-08
    50-150  3.068e-07   1.048e-07
    15-150  6.932e-07   1.334e-07
    

    Peak spectrum fit

    Power-law model
    Time interval is from    6.800 sec. to    7.800 sec.
     
    Spectral model in power-law:
    ------------------------------------------------------------
    Parameters  : value       lower 90%   higher 90%
    Photon index: 1.92549     ( -0.172683   0.181261 )
    Norm@50keV  : 9.11579E-03    ( -0.0011069   0.00108567 )
    ------------------------------------------------------------
    #Fit statistic : Chi-Squared =          43.21 using 59 PHA bins.
    # Reduced chi-squared =         0.7580 for     57 degrees of freedom 
    # Null hypothesis probability =   9.114864e-01
     
    Photon flux (15-150 keV)    in 1 sec: 1.32260 ( -0.126399  0.126405 ) ph/cm2/s
    Energy fluence (15-150 keV)             : 8.38382e-08 ( -9.79003e-09  1.00026e-08 ) ergs/cm2
     
    
    Cutoff power-law model
    Time interval is from    6.800 sec. to    7.800 sec.
    Spectral model in the cutoff power-law:
    ------------------------------------------------------------
    Parameters  : value       lower 90%   higher 90%
    Photon index: 1.04580     ( -1.01328   0.788868 )
    Epeak [keV] : 44.0687      ( -10.9851 36.7094 )
    Norm@50keV  : 2.99708E-02    ( -0.0299896   0.0910342 )
    ------------------------------------------------------------
    #Fit statistic : Chi-Squared =          39.52 using 59 PHA bins.
    # Reduced chi-squared =         0.7056 for     56 degrees of freedom 
    # Null hypothesis probability =   9.534204e-01
     
    Photon flux (15-150 keV)    in 1 sec: 1.28177 ( -0.13012  0.13125 ) ph/cm2/s
    Energy fluence (15-150 keV)             : 7.62465e-08 ( -1.10215e-08  1.18597e-08 ) ergs/cm2
     
    
    Band function
    Time interval is from    6.800 sec. to    7.800 sec.
     
    Spectral model in the Band function:
    ------------------------------------------------------------
    Parameters  : value       lower 90%   higher 90%
    alpha       : -0.222402   ( -1.47176   4.43278 )
    beta        : -2.38990    ( 2.39383   0.437597 )
    Epeak [keV] : 36.2917      ( -10.6461 24.3018 )
    Norm@50keV   : 0.109313    ( -0.111813   373.195 )
    ------------------------------------------------------------
    #Fit statistic : Chi-Squared =          38.50 using 59 PHA bins.
    # Reduced chi-squared =         0.7000 for     55 degrees of freedom 
    # Null hypothesis probability =   9.554700e-01
     
    Photon flux (15-150 keV)    in 1 sec: 1.28774 ( 5.71226  -0.13005 ) ph/cm2/s
    Energy fluence (15-150 keV)             : 7.8412e-08 ( 0  0 ) ergs/cm2
     
    
    Single BB
     
    Spectral model blackbody:
    ------------------------------------------------------------
    Parameters  : value    Lower 90%  Upper 90%
    kT [keV]    : 9.88458  (-1.01635  1.14935)
    R^2/D10^2   : 0.658421  (-0.225604   0.33728)
    (R is the radius in km and D10 is the distance to the source in units of 10 kpc)
    ------------------------------------------------------------
    #Fit statistic : Chi-Squared =          52.16 using 59 PHA bins.
    # Reduced chi-squared =         0.9150 for     57 degrees of freedom 
    # Null hypothesis probability =   6.570174e-01
     
    Energy  Fluence     90% Error
    [keV]   [erg/cm2]   [erg/cm2]
    15- 25  1.305e-08   2.080e-09
    25- 50  3.191e-08   3.740e-09
    50-150  1.610e-08   4.125e-09
    15-150  6.106e-08   7.065e-09
    
    Thermal bremsstrahlung (OTTB)
     
     
    Spectral model: thermal bremsstrahlung
    ------------------------------------------------------------
    Parameters  : value         Lower 90%    Upper 90%
    kT [keV]    : 71.3030       (-19.056      30.9578)
    Norm        : 6.49638       (-0.922101     1.1143)
    ------------------------------------------------------------
    #Fit statistic : Chi-Squared =          39.73 using 59 PHA bins.
    # Reduced chi-squared =         0.6971 for     57 degrees of freedom 
    # Null hypothesis probability =   9.602085e-01
     
    Energy  Fluence     90% Error
    [keV]   [erg/cm2]   [erg/cm2]
    15- 25  1.670e-08   2.140e-09
    25- 50  2.670e-08   2.780e-09
    50-150  3.476e-08   1.096e-08
    15-150  7.816e-08   1.242e-08
    
    Double BB
     
     
    Spectral model: bbodyrad<1> + bbodyrad<2>
    ------------------------------------------------------------
    Parameters  : value         Lower 90%    Upper 90%
    kT1 [keV]   : 7.19025        (-2.29391      1.78558)
    R1^2/D10^2  : 1.66489        (-0.82819      3.57734)
    kT2 [keV]   : 22.9888        (-9.29166      38.3295)
    R2^2/D10^2  : 1.50723E-02    (-0.0143786   0.127659)
    ------------------------------------------------------------
    #Fit statistic : Chi-Squared =          39.03 using 59 PHA bins.
    # Reduced chi-squared =         0.7097 for     55 degrees of freedom 
    # Null hypothesis probability =   9.490565e-01
     
    Energy  Fluence     90% Error
    [keV]   [erg/cm2]   [erg/cm2]
    15- 25  1.565e-08   5.474e-09
    25- 50  2.831e-08   1.043e-08
    50-150  3.465e-08   1.950e-08
    15-150  7.862e-08   3.016e-08
    

    Pre-slew spectrum (Pre-slew PHA with pre-slew DRM)

    Power-law model
     
    Spectral model in power-law:
    ------------------------------------------------------------
    Parameters  : value       lower 90%   higher 90%
    Photon index: 2.03359     ( -0.0856606   0.0871251 )
    Norm@50keV  : 5.70601E-03    ( -0.000296124   0.000293604 )
    ------------------------------------------------------------
    #Fit statistic : Chi-Squared =          57.80 using 59 PHA bins.
    # Reduced chi-squared =          1.014 for     57 degrees of freedom 
    # Null hypothesis probability =   4.454705e-01
     
    Photon flux (15-150 keV)    in 13.87 sec: 0.869392 ( -0.0389364  0.0390076 ) ph/cm2/s
    Energy fluence (15-150 keV)             : 7.31314e-07 ( -3.54821e-08  3.57456e-08 ) ergs/cm2
     
    
    Cutoff power-law model
    Spectral model in the cutoff power-law:
    ------------------------------------------------------------
    Parameters  : value       lower 90%   higher 90%
    Photon index: 1.51158     ( -0.392622   0.35511 )
    Epeak [keV] : 40.0347      ( -12.2418 9.19576 )
    Norm@50keV  : 1.11693E-02    ( -0.00402107   0.00727837 )
    ------------------------------------------------------------
    #Fit statistic : Chi-Squared =          51.20 using 59 PHA bins.
    # Reduced chi-squared =         0.9143 for     56 degrees of freedom 
    # Null hypothesis probability =   6.567911e-01
     
    Photon flux (15-150 keV)    in 13.87 sec: 0.842357 ( -0.042643  0.042687 ) ph/cm2/s
    Energy fluence (15-150 keV)             : 6.90317e-07 ( -4.37002e-08  4.43979e-08 ) ergs/cm2
     
    
    Band function
     
    Spectral model in the Band function:
    ------------------------------------------------------------
    Parameters  : value       lower 90%   higher 90%
    alpha       : 1.84461   ( -2.93486   -1.84653 )
    beta        : -2.20030    ( -0.194674   0.129204 )
    Epeak [keV] : 26.5569      ( -3.36176 11.2273 )
    Norm@50keV   : 3.44175    ( -3.48834   382.254 )
    ------------------------------------------------------------
    #Fit statistic : Chi-Squared =          45.40 using 59 PHA bins.
    # Reduced chi-squared =         0.8254 for     55 degrees of freedom 
    # Null hypothesis probability =   8.187089e-01
     
    Photon flux (15-150 keV)    in 13.87 sec:  (    ) ph/cm2/s
    Energy fluence (15-150 keV)             : 7.00851e-07 ( -7.00754e-07  -3.86501e-08 ) ergs/cm2
     
    

    S(25-50 keV) vs. S(50-100 keV) plot

    S(25-50 keV)  = 2.22e-07
    S(50-100 keV) = 2.17e-07
    

    T90 vs. Hardness ratio plot

    T90                                   = 11.080000013113 sec.
    Hardness ratio (energy fluence ratio) = 0.977477
    

    Color vs. Color plot

    Count Ratio  (25-50 keV) / (15-25 keV) = 1.05727
    Count Ratio (50-100 keV) / (15-25 keV) = 0.512335
    

    Mask shadow pattern

    IMX = 2.341320456674236E-01, IMY = 1.234435913118846E-01
    

    TIME vs. PHA plot around the trigger time

    Blue+Cyan dotted lines: Time interval of the scaled map
    From 0.000000 to 1.024000
    

    TIME vs. DetID plot around the trigger time

    Blue+Cyan dotted lines: Time interval of the scaled map
    From 0.000000 to 1.024000
    

    100 us light curve (15-350 keV)

    Blue+Cyan dotted lines: Time interval of the scaled map
    From 0.000000 to 1.024000
    

    Spacecraft aspect plot

    Bright source in the pre-burst/pre-slew/post-slew images

    Pre-burst image of 15-350 keV band

    Time interval of the image:
    -239.848000 -0.180000
     
    # RAcent  DECcent POSerr Theta    Phi  PeakCts   SNR AngSep     Name
    #  [deg]    [deg]    ['] [deg]  [deg]                   [']
     30.9837 -64.1733    3.0  34.9   58.2   1.1925   3.8 ------	UNKNOWN                       
     33.0087 -17.2165    2.2  23.4  -49.8   0.8398   5.3 ------	UNKNOWN                       
     56.1165  -1.8399    3.1  50.7  -44.4   3.2386   3.7 ------	UNKNOWN                       
    

    Pre-slew background subtracted image of 15-350 keV band

    Time interval of the image:
    -0.180000 13.688000
     
    # RAcent  DECcent POSerr Theta    Phi  PeakCts   SNR AngSep     Name
    #  [deg]    [deg]    ['] [deg]  [deg]                   [']
    327.4157 -42.1454    3.2  37.2  132.3   0.2655   3.6 ------	UNKNOWN                       
    333.4571 -30.5571    2.1  33.2  153.1   0.2729   5.4 ------	UNKNOWN                       
     28.8777 -27.6052    0.3  14.8  -27.8   1.4580  42.6 ------	UNKNOWN                       
    

    Post-slew image of 15-350 keV band

    Time interval of the image:
    400.252580 962.170200
     
    # RAcent  DECcent POSerr Theta    Phi  PeakCts   SNR AngSep     Name
    #  [deg]    [deg]    ['] [deg]  [deg]                   [']
    135.5117 -40.5469    3.1  46.3  156.6   3.1759   3.7    0.9	Vela X-1                      
    148.4035  27.7680    3.2  26.2    9.8   1.0327   3.6 ------	UNKNOWN                       
     94.3564 -20.9690    2.9  46.7 -147.2   2.8067   3.9 ------	UNKNOWN                       
    
    Plot creation:
    Sun May 31 10:27:42 EDT 2015