batgrbproduct Analysis for Trigger=296805

Analysis Summary

Notes:

======================================================================
                  BAT GRB EVENT DATA PROCESSING REPORT
    Process Script Ver: batgrbproduct v2.46
    Process Start Time (local time): Mon Jan 20 05:30:04 EST 2014
             Host Name: batevent1
   Current Working Dir: /local/data/batevent/batevent_reproc/trigger296805
======================================================================

  Trigger: 00296805      Segment: 000

  BAT Trigger Time: 217003809.28   [s; MET]
      Trigger Stop: 217003810.304   [s; MET]
               UTC: 2007-11-17T14:50:06.911640    [includes UTCF correction] 
       Where From?: TDRSS position message

  BAT 
    RA: 335.020304401352   Dec: -63.4411756875453  [deg; J2000]

     Catalogged Source?: NO
     Point Source?:      YES
     GRB Indicated?:     YES    [ by BAT flight software ]
     Image S/N Ratio:    25.57
     Image Trigger?:     NO
     Rate S/N Ratio:     152.613891897166  [ if not an image trigger ]
     Image S/N Ratio:    25.57

  Flight Position:   [ source = BAT ]
    RA: 335.020304401352   Dec: -63.4411756875453  [deg; J2000]

  Ground Position:   [ source = BAT pre-slew burst ]
    RA: 335.025668133934   Dec: -63.442203128655  [deg; J2000]  
        { 22h 20m 06.2s , -63d 26' 31.9" }
         +/- 0.700197995943178 [arcmin] (estimated 90% radius based on SNR)
         +/- 0.177234995796319 [arcmin] (formal 1-sigma fit error)
    SNR: 50.6094283965341
 
  Angular difference between Flight and Ground position is 0.156540 arcmin
 
  Partial Coding Fraction: 0.53125    [ including projection effects ]

  Duration
     T90: 6.07600000500679 +/- 2.14872985913844
        Measured from: -0.203999996185303
                   to: 5.87200000882149     [s; relative to TRIGTIME]
     T50: 1.72400000691414 +/- 0.11986659574832
        Measured from: 0.400000005960464
                   to: 2.1240000128746     [s; relative to TRIGTIME]



  Fluence
     Peak Flux  (peak 1 second)
        Measured from: 0.0200000107288361     
                   to: 1.02000001072884     [s; relative to TRIGTIME]
     Total Fluence        
        Measured from: -0.439999997615814     
                   to: 13.8840000033379     [s; relative to TRIGTIME]
     
             Band 1     Band 2     Band 3     Band 4
              15-25      25-50     50-100    100-350     keV
 Total     0.903487   1.363095   1.109023   0.297271
           0.031112   0.033836   0.030673   0.024507 [error]
 Peak      0.194130   0.465865   0.533625   0.155147
           0.010782   0.013958   0.014608   0.009921 [error]

     [ fluence units of on-axis counts / fully illuminated detector ] 

======================================================================
 
=== Fluence/Peak Flux Summary ===
 
              Model    Band1    Band2    Band3    Band4    Band5    Total      
                       15-25    25-50   50-100  100-350   15-150   15-350   keV
Fluence   Power-law 3.38e-07 6.15e-07 8.60e-07 2.52e-06 2.47e-06 4.33e-06   erg/cm2
              Error 1.96e-08 2.09e-08 3.15e-08 2.07e-07 7.74e-08 2.25e-07   erg/cm2
Peak flux Power-law 2.51e+00 3.39e+00 3.38e+00 6.09e+00 1.13e+01 1.54e+01   ph/cm2/s
              Error 1.63e-01 1.38e-01 1.15e-01 4.25e-01 3.77e-01 5.26e-01   ph/cm2/s
 
Fluence   Cutoff-PL 3.14e-07 6.29e-07 8.84e-07 1.66e-06 2.42e-06 3.49e-06   erg/cm2
              Error 2.47e-08 2.31e-08 3.58e-08 4.52e-07 8.43e-08 4.55e-07   erg/cm2
Peak flux Cutoff-PL 2.09e+00 3.53e+00 3.71e+00 3.40e+00 1.11e+01 1.27e+01   ph/cm2/s
              Error 2.01e-01 1.54e-01 1.56e-01 6.11e-01 3.82e-01 7.02e-01   ph/cm2/s
 
Fluence        Band 3.05e-07 6.34e-07 8.67e-07 2.15e-06 2.42e-06 3.97e-06   erg/cm2
              Error 3.54e-08 -------- 4.60e-08 -------- 9.05e-08 --------   erg/cm2
Peak flux      Band -------- -------- -------- -------- -------- --------   ph/cm2/s
              Error -------- -------- -------- -------- -------- --------   ph/cm2/s
 
=== Time-averaged spectral analysis ===
 
Model Ph_index Ph_90err Epeak  Epeak_90err Norm     Nomr_90err chi2   dof
PL    1.516    0.055    -      -           1.82e-02 5.42e-04   53.440 57
CPL   1.196    0.220     136.6   94.2      2.57e-02 5.96e-03   46.790 56
 
 
=== 1-s peak spectral analysis ===
 
Model Ph_index Ph_90err Epeak  Epeak_90err Norm     Nomr_90err chi2   dof
PL    1.004    0.052    -      -           9.78e-02 3.21e-03   82.330 57
CPL   0.314    0.236     143.4   32.1      1.97e-01 4.63e-02   53.380 56
 
Model      : spectral model: simple power-law (PL) and cutoff power-law (CPL)
Ph_index   : photon index: E^-{Ph_index} (minus sign is not included in the index)
Ph_90err   : 90% error of the photon index
Epeak      : Epeak in keV
Epeak_90err: 90% error of Epeak
Norm       : normalization at 50 keV in PL model and at 1 keV in CPL model
Nomr_90err : 90% error of the normalization
chi2       : Chi-Squared
dof        : degree of freedom
 
=== T90/T50 calculation in the 50-300 keV band (BATSE band) using 64 ms lc ===
 
T90 in the 50-300 keV band: 3.456000 sec.
T50 in the 50-300 keV band: 1.088000 sec.
 
=== Table of the duration information ==
 
        Value   tstart    tstop
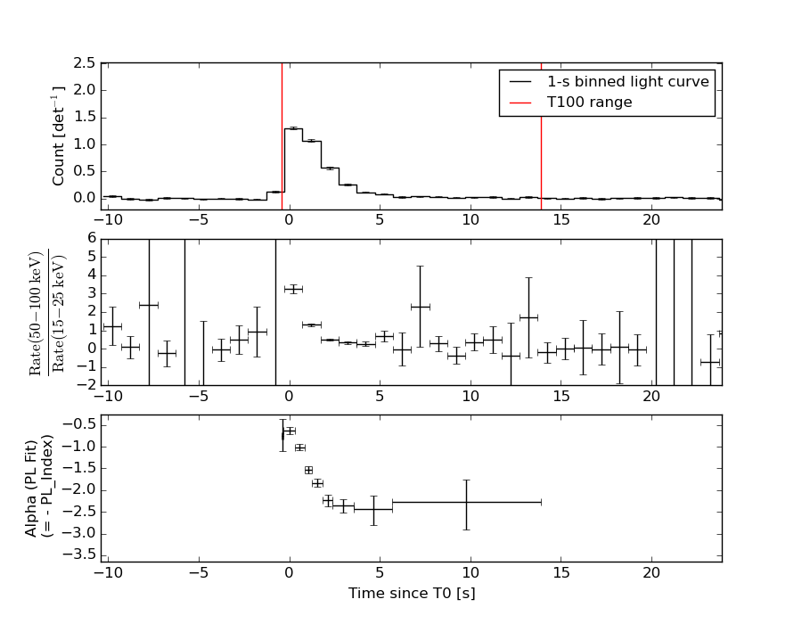
T100   14.324   -0.440   13.884
T90     6.076   -0.204    5.872
T50     1.724    0.400    2.124
Peak    1.000    0.020    1.020
  • Click here for the BAT GCN circular template
  • Special notes of this burst

    Image

    Pre-slew 15.0-350.0 keV image (Event data)

    #   RAcent    DECcent   POSerr    Theta     Phi              Peak Cts       SNR   Name
      335.0257   -63.4422   0.0038    39.4005   -25.0701         3.7955244     50.609 TRIG_00296805                 
     
    Foreground time interval of the image:
     -0.440  13.884 (delta_t =  14.324 [sec])
    Background time interval of the image:
    -239.280  -0.440 (delta_t = 238.840 [sec])
    

    Lightcurves

    Notes:

    1 s binning

    From T0-310 s to T0+310 s
    From T100_start - 20 s to T100_end + 30 s
    Full time interval

    64 ms binning

    Full time interval
    From T100_start to T100_end
    From T0-5 sec to T0+5 sec

    16 ms binning

    From T100_start-5 s to T100_start+5 s
    Blue+Cyan dotted lines: Time interval of the scaled map
    From 0.000000 to 1.024000
    

    8 ms binning

    From T100_start-3 s to T100_start+3 s
    Blue+Cyan dotted lines: Time interval of the scaled map
    From 0.000000 to 1.024000
    

    2 ms binning

    From T100_start-1 s to T100_start+1 s
    Blue+Cyan dotted lines: Time interval of the scaled map
    From 0.000000 to 1.024000
    

    SN=5 or 10 sec. binning (whichever binning is satisfied first)

    SN=5 or 10 sec. binning (T < 200 sec)

    Quad-rate summed light curves (from T0-300s to T0+1000s)

    Spectral Evolution

    Spectra

    Notes:

    Time averaged spectrum fit using the average DRM

    Power-law model
    Time interval is from   -0.440 sec. to   13.884 sec.
     
    Spectral model in power-law:
    ------------------------------------------------------------
    Parameters  : value       lower 90%   higher 90%
    Photon index: 1.51625     ( -0.0545142   0.0545532 )
    Norm@50keV  : 1.82115E-02    ( -0.000542311   0.000542269 )
    ------------------------------------------------------------
    #Fit statistic : Chi-Squared =          53.44 using 59 PHA bins.
    # Reduced chi-squared =         0.9375 for     57 degrees of freedom 
    # Null hypothesis probability =   6.095474e-01
     
    Photon flux (15-150 keV)    in 14.32 sec: 2.28358 ( -0.0745553  0.0747673 ) ph/cm2/s
    Energy fluence (15-150 keV)             : 2.46754e-06 ( -7.73611e-08  7.74653e-08 ) ergs/cm2
     
    
    Cutoff power-law model
    Time interval is from   -0.440 sec. to   13.884 sec.
    Spectral model in the cutoff power-law:
    ------------------------------------------------------------
    Parameters  : value       lower 90%   higher 90%
    Photon index: 1.19556     ( -0.225837   0.21488 )
    Epeak [keV] : 136.625      ( -35.0036 153.342 )
    Norm@50keV  : 2.56521E-02    ( -0.00513402   0.0067933 )
    ------------------------------------------------------------
    #Fit statistic : Chi-Squared =          46.79 using 59 PHA bins.
    # Reduced chi-squared =         0.8355 for     56 degrees of freedom 
    # Null hypothesis probability =   8.048790e-01
     
    Photon flux (15-150 keV)    in 14.32 sec: 2.23493 ( -0.08049  0.08077 ) ph/cm2/s
    Energy fluence (15-150 keV)             : 2.42055e-06 ( -8.45596e-08  8.40727e-08 ) ergs/cm2
     
    
    Band function
    Time interval is from   -0.440 sec. to   13.884 sec.
     
    Spectral model in the Band function:
    ------------------------------------------------------------
    Parameters  : value       lower 90%   higher 90%
    alpha       : -0.199033   ( -1.40009   4.19274 )
    beta        : -1.61033    ( 1.61037   0.085932 )
    Epeak [keV] : 47.4262      ( -20.3084 160.911 )
    Norm@50keV   : 0.117131    ( -0.113051   245.323 )
    ------------------------------------------------------------
    #Fit statistic : Chi-Squared =          45.82 using 59 PHA bins.
    # Reduced chi-squared =         0.8330 for     55 degrees of freedom 
    # Null hypothesis probability =   8.065416e-01
     
    Photon flux (15-150 keV)    in 14.32 sec: 2.23864 (    ) ph/cm2/s
    Energy fluence (15-150 keV)             : 2.4171e-06 ( -2.417e-06  -8.39725e-08 ) ergs/cm2
     
    
    Single BB
     
    Spectral model blackbody:
    ------------------------------------------------------------
    Parameters  : value    Lower 90%  Upper 90%
    kT [keV]    : 16.4893  (  )
    R^2/D10^2   : 0.180763  (   )
    (R is the radius in km and D10 is the distance to the source in units of 10 kpc)
    ------------------------------------------------------------
    #Fit statistic : Chi-Squared =         269.65 using 59 PHA bins.
    # Reduced chi-squared =         4.7308 for     57 degrees of freedom 
    # Null hypothesis probability =   2.257754e-29
     
    Energy  Fluence     90% Error
    [keV]   [erg/cm2]   [erg/cm2]
    15- 25  1.445e-07   8.420e-09
    25- 50  6.236e-07   2.821e-08
    50-150  1.198e-06   6.859e-08
    15-150  1.966e-06   6.730e-08
    
    Thermal bremsstrahlung (OTTB)
     
     
    Spectral model: thermal bremsstrahlung
    ------------------------------------------------------------
    Parameters  : value         Lower 90%    Upper 90%
    kT [keV]    : 200.000       (      )
    Norm        : 9.35796       (-0.278216     0.278213)
    ------------------------------------------------------------
    #Fit statistic : Chi-Squared =          50.84 using 59 PHA bins.
    # Reduced chi-squared =         0.8919 for     57 degrees of freedom 
    # Null hypothesis probability =   7.041455e-01
     
    Energy  Fluence     90% Error
    [keV]   [erg/cm2]   [erg/cm2]
    15- 25  3.337e-07   1.024e-08
    25- 50  6.420e-07   2.012e-08
    50-150  1.408e-06   4.590e-08
    15-150  2.384e-06   8.091e-08
    
    Double BB
     
     
    Spectral model: bbodyrad<1> + bbodyrad<2>
    ------------------------------------------------------------
    Parameters  : value         Lower 90%    Upper 90%
    kT1 [keV]   : 7.65775        (-0.826108      0.8901)
    R1^2/D10^2  : 1.67214        (-0.50253      0.794715)
    kT2 [keV]   : 27.8510        (-2.8167      3.81052)
    R2^2/D10^2  : 2.28162E-02    (-0.00845714   0.0111601)
    ------------------------------------------------------------
    #Fit statistic : Chi-Squared =          47.05 using 59 PHA bins.
    # Reduced chi-squared =         0.8554 for     55 degrees of freedom 
    # Null hypothesis probability =   7.685385e-01
     
    Energy  Fluence     90% Error
    [keV]   [erg/cm2]   [erg/cm2]
    15- 25  2.868e-07   2.878e-08
    25- 50  6.451e-07   4.797e-08
    50-150  1.482e-06   1.370e-07
    15-150  2.414e-06   1.554e-07
    

    Peak spectrum fit

    Power-law model
    Time interval is from    0.020 sec. to    1.020 sec.
     
    Spectral model in power-law:
    ------------------------------------------------------------
    Parameters  : value       lower 90%   higher 90%
    Photon index: 1.00389     ( -0.0525137   0.0520721 )
    Norm@50keV  : 9.77956E-02    ( -0.00321003   0.00320571 )
    ------------------------------------------------------------
    #Fit statistic : Chi-Squared =          82.33 using 59 PHA bins.
    # Reduced chi-squared =          1.444 for     57 degrees of freedom 
    # Null hypothesis probability =   1.573321e-02
     
    Photon flux (15-150 keV)    in 1 sec: 11.2576 ( -0.372961  0.380842 ) ph/cm2/s
    Energy fluence (15-150 keV)             : 1.05612e-06 ( -3.58867e-08  3.57984e-08 ) ergs/cm2
     
    
    Cutoff power-law model
    Time interval is from    0.020 sec. to    1.020 sec.
    Spectral model in the cutoff power-law:
    ------------------------------------------------------------
    Parameters  : value       lower 90%   higher 90%
    Photon index: 0.313758     ( -0.242363   0.229815 )
    Epeak [keV] : 143.397      ( -22.6061 41.657 )
    Norm@50keV  : 0.197149    ( -0.0399291   0.0527351 )
    ------------------------------------------------------------
    #Fit statistic : Chi-Squared =          53.38 using 59 PHA bins.
    # Reduced chi-squared =         0.9532 for     56 degrees of freedom 
    # Null hypothesis probability =   5.746726e-01
     
    Photon flux (15-150 keV)    in 1 sec: 11.0734 ( -0.3815  0.3819 ) ph/cm2/s
    Energy fluence (15-150 keV)             : 1.03948e-06 ( 0  0 ) ergs/cm2
     
    
    Band function
    Time interval is from    0.020 sec. to    1.020 sec.
     
    Spectral model in the Band function:
    ------------------------------------------------------------
    Parameters  : value       lower 90%   higher 90%
    alpha       : 1.75368   ( -3.91379   -3.69548 )
    beta        : -1.22029    ( -0.141094   0.0844745 )
    Epeak [keV] : 50.6718      ( -9.44726 62.7264 )
    Norm@50keV   : 4.08621    ( -4.18215   333.8 )
    ------------------------------------------------------------
    #Fit statistic : Chi-Squared =          46.23 using 59 PHA bins.
    # Reduced chi-squared =         0.8405 for     55 degrees of freedom 
    # Null hypothesis probability =   7.941999e-01
     
    Photon flux (15-150 keV)    in 1 sec:  (    ) ph/cm2/s
    Energy fluence (15-150 keV)             : 0 ( 0  0 ) ergs/cm2
     
    
    Single BB
     
    Spectral model blackbody:
    ------------------------------------------------------------
    Parameters  : value    Lower 90%  Upper 90%
    kT [keV]    : 22.0145  (  )
    R^2/D10^2   : 0.418553  (   )
    (R is the radius in km and D10 is the distance to the source in units of 10 kpc)
    ------------------------------------------------------------
    #Fit statistic : Chi-Squared =         151.80 using 59 PHA bins.
    # Reduced chi-squared =         2.6632 for     57 degrees of freedom 
    # Null hypothesis probability =   1.498194e-10
     
    Energy  Fluence     90% Error
    [keV]   [erg/cm2]   [erg/cm2]
    15- 25  3.753e-08   2.395e-09
    25- 50  1.985e-07   9.100e-09
    50-150  7.189e-07   3.590e-08
    15-150  9.549e-07   3.410e-08
    
    Thermal bremsstrahlung (OTTB)
     
     
    Spectral model: thermal bremsstrahlung
    ------------------------------------------------------------
    Parameters  : value         Lower 90%    Upper 90%
    kT [keV]    : 199.363       (      )
    Norm        : 46.1662       (     )
    ------------------------------------------------------------
    #Fit statistic : Chi-Squared =         364.93 using 59 PHA bins.
    # Reduced chi-squared =         6.4023 for     57 degrees of freedom 
    # Null hypothesis probability =   1.780928e-46
     
    Energy  Fluence     90% Error
    [keV]   [erg/cm2]   [erg/cm2]
    15- 25  1.150e-07   3.650e-09
    25- 50  2.211e-07   8.700e-09
    50-150  4.850e-07   1.630e-08
    15-150  8.211e-07   2.935e-08
    
    Double BB
     
     
    Spectral model: bbodyrad<1> + bbodyrad<2>
    ------------------------------------------------------------
    Parameters  : value         Lower 90%    Upper 90%
    kT1 [keV]   : 11.7679        (-1.9029      2.06755)
    R1^2/D10^2  : 1.69958        (-0.504437      0.857131)
    kT2 [keV]   : 40.3204        (-7.53141      17.5804)
    R2^2/D10^2  : 4.64198E-02    (-0.0306241   0.047837)
    ------------------------------------------------------------
    #Fit statistic : Chi-Squared =          46.64 using 59 PHA bins.
    # Reduced chi-squared =         0.8481 for     55 degrees of freedom 
    # Null hypothesis probability =   7.813295e-01
     
    Energy  Fluence     90% Error
    [keV]   [erg/cm2]   [erg/cm2]
    15- 25  5.937e-08   7.130e-09
    25- 50  2.190e-07   2.460e-08
    50-150  7.645e-07   1.994e-07
    15-150  1.043e-06   2.033e-07
    

    Pre-slew spectrum (Pre-slew PHA with pre-slew DRM)

    Power-law model
     
    Spectral model in power-law:
    ------------------------------------------------------------
    Parameters  : value       lower 90%   higher 90%
    Photon index: 1.51625     ( -0.0545142   0.0545532 )
    Norm@50keV  : 1.82115E-02    ( -0.000542311   0.000542269 )
    ------------------------------------------------------------
    #Fit statistic : Chi-Squared =          53.44 using 59 PHA bins.
    # Reduced chi-squared =         0.9375 for     57 degrees of freedom 
    # Null hypothesis probability =   6.095474e-01
     
    Photon flux (15-150 keV)    in 14.32 sec: 2.28358 ( -0.0745553  0.0747673 ) ph/cm2/s
    Energy fluence (15-150 keV)             : 2.46754e-06 ( -7.73611e-08  7.74653e-08 ) ergs/cm2
     
    
    Cutoff power-law model
    Spectral model in the cutoff power-law:
    ------------------------------------------------------------
    Parameters  : value       lower 90%   higher 90%
    Photon index: 1.19556     ( -0.225837   0.21488 )
    Epeak [keV] : 136.625      ( -35.0036 153.342 )
    Norm@50keV  : 2.56521E-02    ( -0.00513402   0.0067933 )
    ------------------------------------------------------------
    #Fit statistic : Chi-Squared =          46.79 using 59 PHA bins.
    # Reduced chi-squared =         0.8355 for     56 degrees of freedom 
    # Null hypothesis probability =   8.048790e-01
     
    Photon flux (15-150 keV)    in 14.32 sec: 2.23493 ( -0.08049  0.08077 ) ph/cm2/s
    Energy fluence (15-150 keV)             : 2.42055e-06 ( -8.45596e-08  8.40727e-08 ) ergs/cm2
     
    
    Band function
     
    Spectral model in the Band function:
    ------------------------------------------------------------
    Parameters  : value       lower 90%   higher 90%
    alpha       : -0.212077   ( -1.38933   4.19975 )
    beta        : -1.61040    ( 1.61041   0.0859037 )
    Epeak [keV] : 47.6506      ( -20.4769 164.007 )
    Norm@50keV   : 0.114744    ( -0.111608   240.594 )
    ------------------------------------------------------------
    #Fit statistic : Chi-Squared =          45.81 using 59 PHA bins.
    # Reduced chi-squared =         0.8330 for     55 degrees of freedom 
    # Null hypothesis probability =   8.065993e-01
     
    Photon flux (15-150 keV)    in 14.32 sec: 2.23864 (    ) ph/cm2/s
    Energy fluence (15-150 keV)             : 2.4171e-06 ( -2.417e-06  -8.39725e-08 ) ergs/cm2
     
    

    S(25-50 keV) vs. S(50-100 keV) plot

    S(25-50 keV)  = 6.15e-07
    S(50-100 keV) = 8.60e-07
    

    T90 vs. Hardness ratio plot

    T90                                   = 6.07600000500679 sec.
    Hardness ratio (energy fluence ratio) = 1.39837
    

    Color vs. Color plot

    Count Ratio  (25-50 keV) / (15-25 keV) = 1.5087
    Count Ratio (50-100 keV) / (15-25 keV) = 1.22749
    

    Mask shadow pattern

    IMX = 7.440379484351372E-01, IMY = 3.480602275669307E-01
    

    TIME vs. PHA plot around the trigger time

    Blue+Cyan dotted lines: Time interval of the scaled map
    From 0.000000 to 1.024000
    

    TIME vs. DetID plot around the trigger time

    Blue+Cyan dotted lines: Time interval of the scaled map
    From 0.000000 to 1.024000
    

    100 us light curve (15-350 keV)

    Blue+Cyan dotted lines: Time interval of the scaled map
    From 0.000000 to 1.024000
    

    Spacecraft aspect plot

    Bright source in the pre-burst/pre-slew/post-slew images

    Pre-burst image of 15-350 keV band

    Time interval of the image:
    -239.280000 -0.440000
     
    # RAcent  DECcent POSerr Theta    Phi  PeakCts   SNR AngSep     Name
    #  [deg]    [deg]    ['] [deg]  [deg]                   [']
    135.4995 -40.6230    2.2  38.1 -176.9   1.2666   5.4    4.3	Vela X-1                      
    170.2461 -60.6372    2.3  34.1 -126.7   1.3145   4.9    2.2	Cen X-3                       
    186.8072 -62.6123   25.5  37.5 -114.1   0.1868   0.4   10.3	GX 301-2                      
     87.5473 -31.9592    3.0  36.4  116.1   1.5208   3.9 ------	UNKNOWN                       
    331.0136 -45.3677    3.5  56.5  -16.4   2.3164   3.3 ------	UNKNOWN                       
    171.2657 -35.9414    3.1  55.3 -145.3   4.3966   3.8 ------	UNKNOWN                       
    

    Pre-slew background subtracted image of 15-350 keV band

    Time interval of the image:
    -0.440000 13.884000
     
    # RAcent  DECcent POSerr Theta    Phi  PeakCts   SNR AngSep     Name
    #  [deg]    [deg]    ['] [deg]  [deg]                   [']
    135.6171 -40.5410    4.8  38.2 -176.8   0.1545   2.4    4.1	Vela X-1                      
    170.3675 -60.7549    7.2  34.1 -126.5  -0.1180  -1.6    8.1	Cen X-3                       
    186.3199 -62.7068    6.2  37.3 -114.3  -0.1933  -1.9   10.0	GX 301-2                      
     75.7058 -50.7477    3.0  18.3   92.8   0.2236   3.9 ------	UNKNOWN                       
    335.0257 -63.4422    0.2  39.4  -25.1   3.7955  50.6 ------	UNKNOWN                       
    300.2007 -61.0299    2.2  48.3  -44.8   0.9663   5.3 ------	UNKNOWN                       
    262.1498 -69.1993    3.5  42.4  -68.2   0.6213   3.3 ------	UNKNOWN                       
    

    Post-slew image of 15-350 keV band

    Time interval of the image:
    484.720580 951.420600
     
    # RAcent  DECcent POSerr Theta    Phi  PeakCts   SNR AngSep     Name
    #  [deg]    [deg]    ['] [deg]  [deg]                   [']
    210.2271  47.4559    2.7  55.6  177.2   5.2219   4.3 ------	UNKNOWN                       
    169.5098 -31.1279    2.9  31.7  -15.6   1.1762   4.0 ------	UNKNOWN                       
    161.6884 -41.7601    2.8  43.8  -11.7   1.7351   4.1 ------	UNKNOWN                       
    212.7500  33.2307    3.0  47.1 -168.0   2.0058   3.9 ------	UNKNOWN                       
    190.0953 -49.9774    3.6  50.7  -39.2   3.7844   3.3 ------	UNKNOWN                       
    
    Plot creation:
    Sun May 31 08:40:24 EDT 2015