batgrbproduct Analysis for Trigger=316063

Analysis Summary

Notes:

======================================================================
                  BAT GRB EVENT DATA PROCESSING REPORT
    Process Script Ver: batgrbproduct v2.41
    Process Start Time (local time): Sun Jul  6 02:29:44 EDT 2008
             Host Name: gcn5
   Current Working Dir: /local/data/raid2/prebascript/trigger316063/GCN5_download_cron
======================================================================

  Trigger: 00316063      Segment: 000

  BAT Trigger Time: 236985256   [s; MET]
      Trigger Stop: 236985320   [s; MET]
               UTC: 2008-07-05T21:14:13.081460    [includes UTCF correction] 
       Where From?: TDRSS position message

  BAT 
    RA: 130.245732251692   Dec: -45.0982244424741  [deg; J2000]

     Catalogged Source?: NO
     Point Source?:      YES
     GRB Indicated?:     YES    [ by BAT flight software ]
     Image S/N Ratio:    7.38
     Image Trigger?:     YES
     Rate S/N Ratio:     0  [ if not an image trigger ]
     Image S/N Ratio:    7.38

  Flight Position:   [ source = BAT ]
    RA: 130.245732251692   Dec: -45.0982244424741  [deg; J2000]

  Ground Position:   [ source = BAT pre-slew burst ]
    RA: 130.225048436572   Dec: -45.0536272354055  [deg; J2000]  
        { 08h 40m 54.0s , -45d 03' 13.1" }
         +/- 4.40966712812757 [arcmin] (estimated 90% radius based on SNR)
         +/- 3.6429403187616 [arcmin] (formal 1-sigma fit error)
    SNR: 3.65206631914481
 
  Angular difference between Flight and Ground position is 2.815691 arcmin
 
  Partial Coding Fraction: 0.8046875    [ including projection effects ]

  Duration
     T90: 256 +/- 80
        Measured from: -31
                   to: 225     [s; relative to TRIGTIME]
     T50: 144 +/- 71.5541752799933
        Measured from: 33
                   to: 177     [s; relative to TRIGTIME]



  Fluence
     Peak Flux  (peak 1 second)
        Measured from: 88.5     
                   to: 89.5     [s; relative to TRIGTIME]
     Total Fluence        
        Measured from: -31     
                   to: 257     [s; relative to TRIGTIME]
     
             Band 1     Band 2     Band 3     Band 4
              15-25      25-50     50-100    100-350     keV
 Total     0.835488   0.840214   0.119619   0.001047
           0.088834   0.087956   0.077708   0.069869 [error]
 Peak      0.053907   0.069850   0.024677   0.020596
           0.021075   0.020906   0.018094   0.016262 [error]

     [ fluence units of on-axis counts / fully illuminated detector ] 

======================================================================
 
=== Fluence/Peak Flux Summary ===
 
              Model    Band1    Band2    Band3    Band4    Band5    Total      
                       15-25    25-50   50-100  100-350   15-150   15-350   keV
Fluence   Power-law 2.93e-07 2.91e-07 2.03e-07 2.23e-07 8.76e-07 1.01e-06   erg/cm2
              Error 4.41e-08 4.44e-08 6.06e-08 1.22e-07 1.46e-07 2.17e-07   erg/cm2
Peak flux Power-law 6.68e-02 7.33e-02 5.73e-02 7.37e-02 2.25e-01 2.71e-01   ph/cm2/s
              Error 6.94e-02 5.83e-02 4.79e-02 1.65e-01 1.75e-01 1.61e-01   ph/cm2/s
 
Fluence   Cutoff-PL 2.82e-07 3.56e-07 7.28e-08 9.21e-10 7.12e-07 7.12e-07   erg/cm2
              Error 4.91e-08 6.17e-08 6.77e-08 1.03e-08 1.18e-07 1.19e-07   erg/cm2
Peak flux Cutoff-PL 6.68e-02 7.33e-02 5.73e-02 7.31e-02 2.25e-01 2.70e-01   ph/cm2/s
              Error 6.94e-02 5.84e-02 4.79e-02 1.64e-01 1.75e-01 1.61e-01   ph/cm2/s
 
Fluence        Band 2.88e-07 3.37e-07 1.22e-07 1.40e-08 7.60e-07 7.42e-07   erg/cm2
              Error 0.00e+00 0.00e+00 0.00e+00 0.00e+00 0.00e+00 0.00e+00   erg/cm2
Peak flux      Band 3.27e-02 3.30e-02 1.13e-02 4.19e-03 7.99e-02 8.22e-02   ph/cm2/s
              Error 0.00e+00 0.00e+00 0.00e+00 0.00e+00 0.00e+00 0.00e+00   ph/cm2/s
 
=== Time-averaged spectral analysis ===
 
Model Ph_index Ph_90err Epeak  Epeak_90err Norm     Nomr_90err chi2   dof
PL    2.523    0.275    -      -           3.02e-04 6.71e-05   63.840 57
CPL  -0.445    2.544      25.6    4.4      3.16e-02 4.12e+00   54.040 56
 
 
=== 1-s peak spectral analysis ===
 
Model Ph_index Ph_90err Epeak  Epeak_90err Norm     Nomr_90err chi2   dof
PL    1.356    1.443    -      -           1.86e-03 1.08e-03   55.020 57
CPL   1.367    1.806    9999.3    0.0      1.87e-03 6.47e+00   55.030 56
 
Model      : spectral model: simple power-law (PL) and cutoff power-law (CPL)
Ph_index   : photon index: E^-{Ph_index} (minus sign is not included in the index)
Ph_90err   : 90% error of the photon index
Epeak      : Epeak in keV
Epeak_90err: 90% error of Epeak
Norm       : normalization at 50 keV in PL model and at 1 keV in CPL model
Nomr_90err : 90% error of the normalization
chi2       : Chi-Squared
dof        : degree of freedom
 
=== T90/T50 calculation in the 50-300 keV band (BATSE band) using 64 ms lc ===
 
T90 in the 50-300 keV band: 0.000000 sec.
T50 in the 50-300 keV band: 0.000000 sec.
 
=== Table of the duration information ==
 
        Value   tstart    tstop
T100  288.000  -31.000  257.000
T90   256.000  -31.000  225.000
T50   144.000   33.000  177.000
Peak    1.000   88.500   89.500
  • Click here for the BAT GCN circular template

    Image

    Pre-slew 15-350 keV image (Event data; bkg subtracted)

    #   RAcent  DECcent POSerr  Theta    Phi     Peak Cts     SNR  Name
      130.2250 -45.0536 0.0523   24.2  -44.4       0.4497     3.7  TRIG_00316063       
    ------------------------------------------
     
    Foreground time interval of the image:
    -31.000  70.401 (delta_t = 101.401 [sec])
    Background time interval of the image:
    -239.000 -199.500 (delta_t =  39.500 [sec])
    -198.000 -31.000 (delta_t = 167.000 [sec])
    

    Lightcurves

    Notes:

    1 s binning

    From T0-310 s to T0+310 s
    From T100_start - 20 s to T100_end + 30 s
    Full time interval

    64 ms binning

    Full time interval
    From T100_start to T100_end
    From T0-5 sec to T0+5 sec

    16 ms binning

    From T100_start-5 s to T100_start+5 s
    Blue+Cyan dotted lines: Time interval of the scaled map
    From 0.000000 to 64.000000
    

    8 ms binning

    From T100_start-3 s to T100_start+3 s
    Blue+Cyan dotted lines: Time interval of the scaled map
    From 0.000000 to 64.000000
    

    2 ms binning

    From T100_start-1 s to T100_start+1 s
    Blue+Cyan dotted lines: Time interval of the scaled map
    From 0.000000 to 64.000000
    

    SN=5 or 10 sec. binning (whichever binning is satisfied first)

    SN=5 or 10 sec. binning (T < 200 sec)

    Flight mask-tagged light curves

    Caution: Mask-weight map is always using the same on-axis map

    Quad-rate summed light curves (from T0-300 to T0+1000)

    Spectra

    Notes:

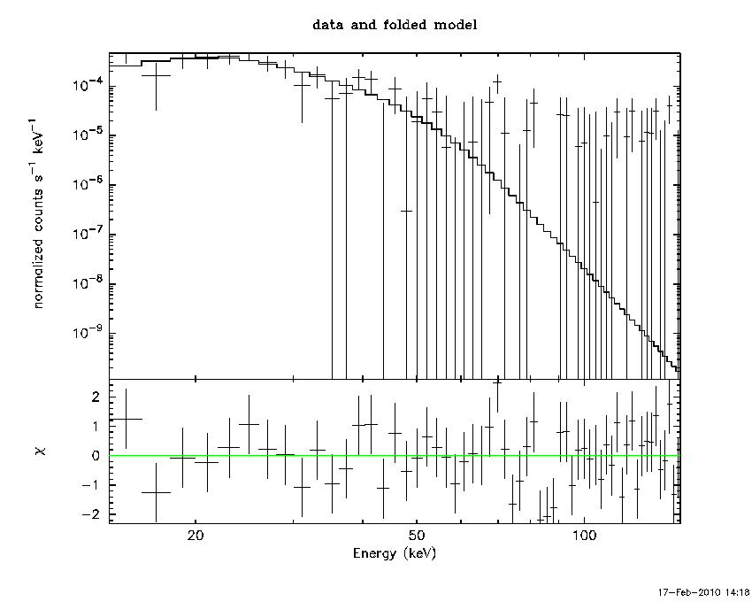
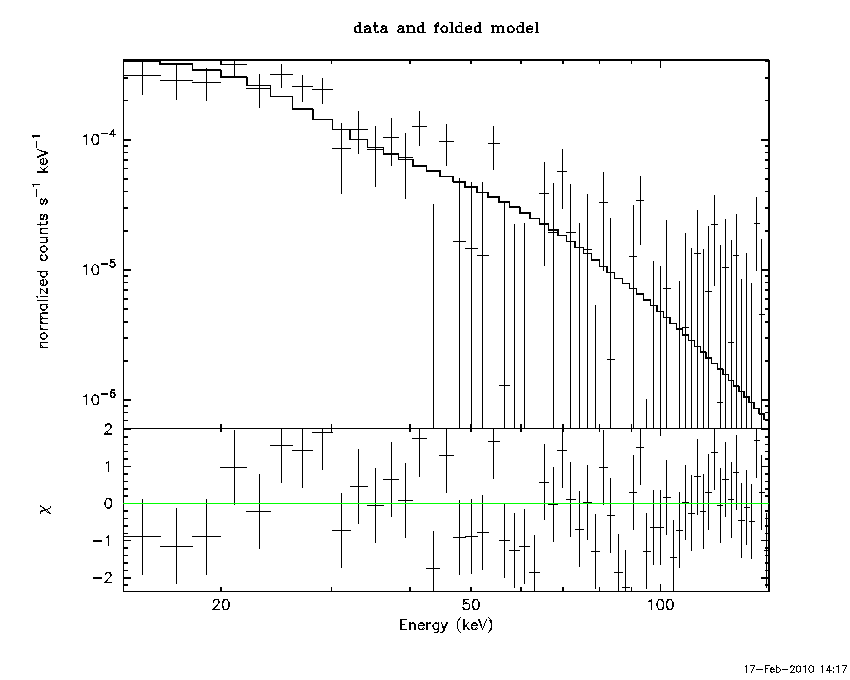
    Time averaged spectrum fit using the pre-slew DRM

    Power-law model
    Time interval is from  -31.000 sec. to  257.000 sec.
     
    Spectral model in power-law:
    ------------------------------------------------------------
    Parameters  : value       lower 90%   higher 90%
    Photon index: 2.52312     ( -0.260932   0.288846 )
    Norm@50keV  : 3.02297E-04    ( -6.66712e-05   6.75868e-05 )
    ------------------------------------------------------------
    # Chi-Squared =          63.84 using 59 PHA bins.
    # Reduced chi-squared =          1.120 for     57 degrees of freedom 
    # Null hypothesis probability =   2.488365e-01
     
    Photon flux (15-150 keV)    in 288 sec: 6.02341E-02 ( -0.00774661  0.00775252 ) ph/cm2/s
    Energy fluence (15-150 keV)             : 8.7607e-07 ( -1.42148e-07  1.49477e-07 ) ergs/cm2
     
    
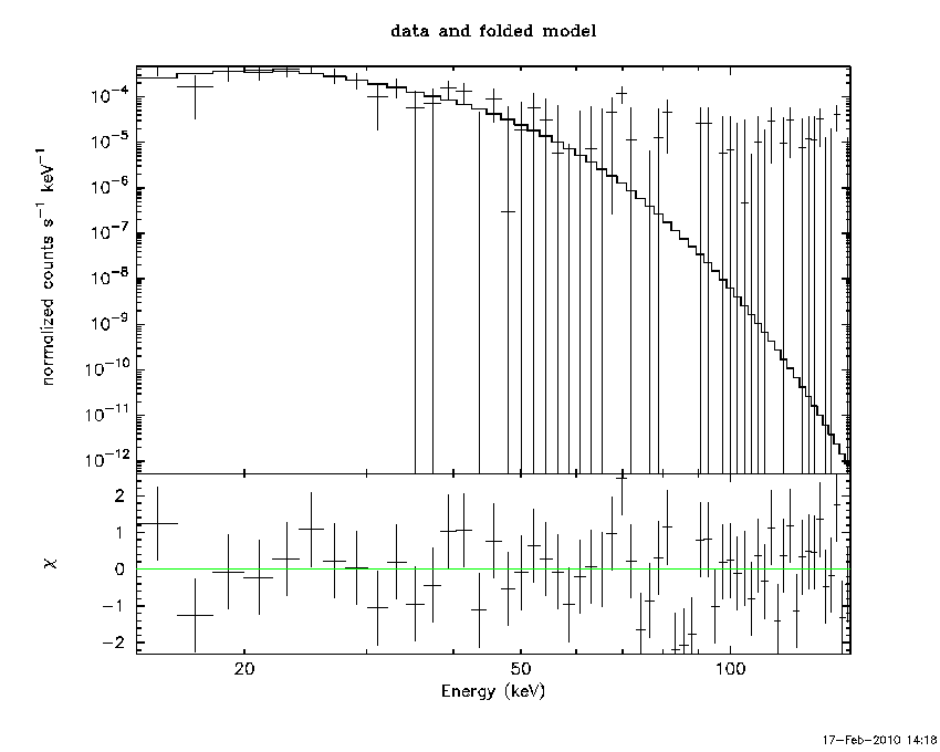
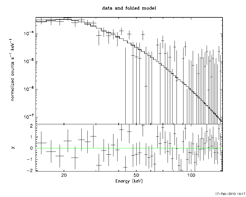
    Cutoff power-law model
    Time interval is from  -31.000 sec. to  257.000 sec.
    Spectral model in the cutoff power-law:
    ------------------------------------------------------------
    Parameters  : value       lower 90%   higher 90%
    Photon index: -0.445071     ( -3.40631   1.68168 )
    Epeak [keV] : 25.6191      ( -4.40346 4.31863 )
    Norm@50keV  : 3.15743E-02    ( -0.0347401   8.20377 )
    ------------------------------------------------------------
    # Chi-Squared =          54.04 using 59 PHA bins.
    # Reduced chi-squared =         0.9650 for     56 degrees of freedom 
    # Null hypothesis probability =   5.493185e-01
     
    Photon flux (15-150 keV)    in 288 sec: 5.71574E-02 ( -0.0075382  0.0075892 ) ph/cm2/s
    Energy fluence (15-150 keV)             : 7.11893e-07 ( -1.09708e-07  1.27244e-07 ) ergs/cm2
     
    
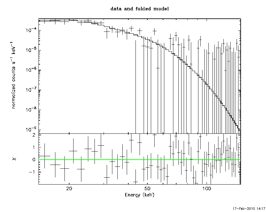
    Band function
    Time interval is from  -31.000 sec. to  257.000 sec.
     
    Spectral model in the Band function:
    ------------------------------------------------------------
    Parameters  : value       lower 90%   higher 90%
    alpha       : 1.07160   ( -2.65701   -1.11841 )
    beta        : -4.35660    ( 4.34245   1.46953 )
    Epeak [keV] : 25.7970      ( -4.34274 3.89669 )
    Norm@50keV   : 9.00768E-02    ( -0.110357   30.5917 )
    ------------------------------------------------------------
    # Chi-Squared =          53.72 using 59 PHA bins.
    # Reduced chi-squared =         0.9766 for     55 degrees of freedom 
    # Null hypothesis probability =   5.238089e-01
     
    Photon flux (15-150 keV)    in 288 sec: 5.796069E-02 ( -0.00721914  0.00812469 ) ph/cm2/s
    Energy fluence (15-150 keV)             : 7.60352e-07 ( -1.02995e-07  1.56102e-07 ) ergs/cm2
     
    

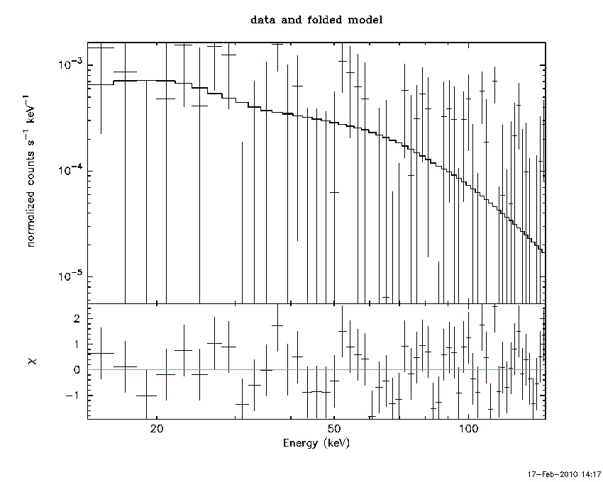
    Peak spectrum fit

    Power-law model
    Time interval is from   88.500 sec. to   89.500 sec.
     
    Spectral model in power-law:
    ------------------------------------------------------------
    Parameters  : value       lower 90%   higher 90%
    Photon index: 1.35599     ( -1.55254   1.33372 )
    Norm@50keV  : 1.86429E-03    ( -0.00114235   0.00101381 )
    ------------------------------------------------------------
    # Chi-Squared =          55.02 using 59 PHA bins.
    # Reduced chi-squared =         0.9653 for     57 degrees of freedom 
    # Null hypothesis probability =   5.495900e-01
     
    Photon flux (15-150 keV)    in 1 sec: 0.224834 ( -0.224834  0.124746 ) ph/cm2/s
    Energy fluence (15-150 keV)             : 1.81855e-08 ( -1.11257e-08  1.1755e-08 ) ergs/cm2
     
    
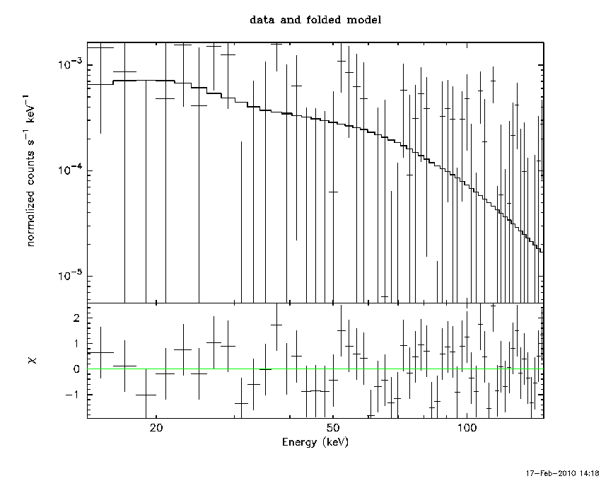
    Cutoff power-law model
    Time interval is from   88.500 sec. to   89.500 sec.
    Spectral model in the cutoff power-law:
    ------------------------------------------------------------
    Parameters  : value       lower 90%   higher 90%
    Photon index: 1.36697     ( -2.28339   1.32888 )
    Epeak [keV] : 9999.34      ( -9975.03 -9975.03 )
    Norm@50keV  : 1.86732E-03    ( -0.00186774   12.9446 )
    ------------------------------------------------------------
    # Chi-Squared =          55.03 using 59 PHA bins.
    # Reduced chi-squared =         0.9826 for     56 degrees of freedom 
    # Null hypothesis probability =   5.117087e-01
     
    Photon flux (15-150 keV)    in 1 sec: 0.224728 ( -0.224728  0.124708 ) ph/cm2/s
    Energy fluence (15-150 keV)             : 1.81796e-08 ( -1.11266e-08  1.17648e-08 ) ergs/cm2
     
    
    Band function
    Time interval is from   88.500 sec. to   89.500 sec.
     
    Spectral model in the Band function:
    ------------------------------------------------------------
    Parameters  : value       lower 90%   higher 90%
    alpha       : -1.12864   ( 1.13192   1.13192 )
    beta        : -1.33972    ( 1.35427   1.55102 )
    Epeak [keV] : 25.0656      ( -26.2505 -26.2505 )
    Norm@50keV   : 3.64555E-03    ( -0.00363559   0.386122 )
    ------------------------------------------------------------
    # Chi-Squared =          55.03 using 59 PHA bins.
    # Reduced chi-squared =          1.000 for     55 degrees of freedom 
    # Null hypothesis probability =   4.736609e-01
     
    Photon flux (15-150 keV)    in 1 sec: 7.990231E-02 ( -0.0305131  0.0310747 ) ph/cm2/s
    Energy fluence (15-150 keV)             : 4.3532e-09 ( -2.02161e-09  2.45705e-09 ) ergs/cm2
     
    

    Pre-slew spectrum (Pre-slew PHA with pre-slew DRM)

    Power-law model
     
    Spectral model in power-law:
    ------------------------------------------------------------
    Parameters  : value       lower 90%   higher 90%
    Photon index: 2.60731     ( -0.380543   0.481502 )
    Norm@50keV  : 3.10230E-04    ( -0.000111389   0.000111985 )
    ------------------------------------------------------------
    # Chi-Squared =          62.77 using 59 PHA bins.
    # Reduced chi-squared =          1.101 for     57 degrees of freedom 
    # Null hypothesis probability =   2.792140e-01
     
    Photon flux (15-150 keV)    in 101.4 sec: 6.50859E-02 ( -0.0132382  0.0132907 ) ph/cm2/s
    Energy fluence (15-150 keV)             : 3.22323e-07 ( -8.17004e-08  8.89852e-08 ) ergs/cm2
     
    
    Cutoff power-law model
    Spectral model in the cutoff power-law:
    ------------------------------------------------------------
    Parameters  : value       lower 90%   higher 90%
    Photon index: -3.14910     ( 2.01467   2.78802 )
    Epeak [keV] : 26.4387      ( -4.82617 4.63744 )
    Norm@50keV  : 3.14785    (     )
    ------------------------------------------------------------
    # Chi-Squared =          53.70 using 59 PHA bins.
    # Reduced chi-squared =         0.9589 for     56 degrees of freedom 
    # Null hypothesis probability =   5.623827e-01
     
    Photon flux (15-150 keV)    in 101.4 sec: 6.35377E-02 ( -0.0119705  0.0122528 ) ph/cm2/s
    Energy fluence (15-150 keV)             : 2.69703e-07 ( -5.44873e-08  6.37918e-08 ) ergs/cm2
     
    
    Band function
     
    Spectral model in the Band function:
    ------------------------------------------------------------
    Parameters  : value       lower 90%   higher 90%
    alpha       : 3.25014   ( -3.59135   -2.81492 )
    beta        : -9.98479    ( 214.279   224.279 )
    Epeak [keV] : 26.4767      ( -4.09383 4.23412 )
    Norm@50keV   : 3.71101    ( -3.71101   32.8325 )
    ------------------------------------------------------------
    # Chi-Squared =          53.72 using 59 PHA bins.
    # Reduced chi-squared =         0.9767 for     55 degrees of freedom 
    # Null hypothesis probability =   5.237877e-01
     
    Photon flux (15-150 keV)    in 101.4 sec: 6.525826E-02 ( -0.0123474  0.0123597 ) ph/cm2/s
    Energy fluence (15-150 keV)             : 2.68193e-07 ( -5.55307e-08  8.5825e-08 ) ergs/cm2
     
    

    S(25-50 keV) vs. S(50-100 keV) plot

    S(25-50 keV)  = 2.91309e-07
    S(50-100 keV) = 2.02709e-07
    

    T90 vs. Hardness ratio plot

    T90                                   = 256 sec.
    Hardness ratio (energy fluence ratio) = 0.695856
    

    Color vs. Color plot

    Count Ratio  (25-50 keV) / (15-25 keV) = 1.00566
    Count Ratio (50-100 keV) / (15-25 keV) = 0.143173
    

    Mask shadow pattern

    IMX = 0, IMY = 0
    

    TIME vs. PHA plot around the trigger time

    Blue+Cyan dotted lines: Time interval of the scaled map
    From 0.000000 to 64.000000
    

    TIME vs. DetID plot around the trigger time

    Blue+Cyan dotted lines: Time interval of the scaled map
    From 0.000000 to 64.000000
    

    100 us light curve (15-350 keV)

    Blue+Cyan dotted lines: Time interval of the scaled map
    From 0.000000 to 64.000000
    

    Spacecraft aspect plot

    Bright source in the pre-burst/pre-slew/post-slew images

    Pre-burst image of 15-350 keV band

    Time interval of the image:
    -239.000000 -199.500000
    -198.000000 -31.000000
     
    # RAcent  DECcent POSerr Theta    Phi  PeakCts   SNR AngSep     Name
    #  [deg]    [deg]    ['] [deg]  [deg]                   [']
    135.5337 -40.5529    0.6  30.1  -42.1   3.5726  18.1    0.3	Vela X-1                      
    170.2882 -60.5886    3.6  30.8   17.6   0.6067   3.2    2.2	Cen X-3                       
    186.6638 -62.7884    3.0  35.7   29.3   0.8820   3.9    1.1	GX 301-2                      
    187.1111 -35.3782    3.8  56.8    4.6   2.7639   3.1 ------	UNKNOWN                       
    144.4672 -47.2771    2.5  28.3  -23.3   0.7693   4.6 ------	UNKNOWN                       
    165.9839 -23.2280    3.1  57.8  -21.6   3.5912   3.7 ------	UNKNOWN                       
     76.4994 -17.1855    1.7  49.2 -132.0   4.8854   6.9 ------	UNKNOWN                       
    

    Pre-slew background subtracted image of 15-350 keV band

    Time interval of the image:
    -31.000000 70.400600
     
    # RAcent  DECcent POSerr Theta    Phi  PeakCts   SNR AngSep     Name
    #  [deg]    [deg]    ['] [deg]  [deg]                   [']
    135.5643 -40.4993    6.3  30.1  -42.1  -0.2595  -1.8    3.7	Vela X-1                      
    170.3571 -60.6958   11.1  30.8   17.8   0.1509   1.0    4.5	Cen X-3                       
    186.8301 -62.9679    0.0  35.6   29.7  -0.2939  -1.6   12.8	GX 301-2                      
    180.5533 -76.5326    2.3  27.3   50.8   0.7821   5.0 ------	UNKNOWN                       
    184.0718 -55.3846    2.3  39.7   19.0   0.9486   5.0 ------	UNKNOWN                       
    145.9448 -48.8774    2.6  27.7  -19.5   0.5320   4.5 ------	UNKNOWN                       
     42.0881 -20.3764    2.6  58.4 -171.2   2.8404   4.4 ------	UNKNOWN                       
     92.6934 -36.9108    2.3  26.9 -115.6   0.7178   5.1 ------	UNKNOWN                       
    

    Post-slew image of 15-350 keV band

    Time interval of the image:
    118.800580 963.040000
     
    # RAcent  DECcent POSerr Theta    Phi  PeakCts   SNR AngSep     Name
    #  [deg]    [deg]    ['] [deg]  [deg]                   [']
    135.5280 -40.5556    0.6   6.0  -23.5   9.1956  20.0    0.1	Vela X-1                      
    170.3383 -60.6723    8.0  28.1   72.3   1.0516   1.4    3.0	Cen X-3                       
    186.6792 -62.7277    2.1  36.1   73.9   6.3086   5.4    2.6	GX 301-2                      
    176.4439 -18.0694    3.5  46.8    4.5   3.2606   3.3 ------	UNKNOWN                       
    168.8534 -17.4738    3.1  42.4   -3.7   2.7772   3.8 ------	UNKNOWN                       
     66.4311 -41.7029    2.8  45.3 -175.1   3.5476   4.2 ------	UNKNOWN                       
     64.4819 -33.8767    2.7  50.6 -167.0   5.6892   4.4 ------	UNKNOWN                       
    109.2750  -8.2040    5.2  41.1  -98.3   7.3965   2.3 ------	UNKNOWN                       
    
    Plot creation:
    Wed Feb 17 14:20:07 EST 2010