batgrbproduct Analysis for Trigger=317393

Analysis Summary

Notes:

======================================================================
                  BAT GRB EVENT DATA PROCESSING REPORT
    Process Script Ver: batgrbproduct v2.41
    Process Start Time (local time): Sun Jul 20 12:31:12 EDT 2008
             Host Name: gcn5
   Current Working Dir: /local/data/raid2/prebascript/trigger317393/GCN5_download_cron
======================================================================

  Trigger: 00317393      Segment: 000

  BAT Trigger Time: 238206224   [s; MET]
      Trigger Stop: 238206288   [s; MET]
               UTC: 2008-07-20T00:23:41.046060    [includes UTCF correction] 
       Where From?: TDRSS position message

  BAT 
    RA: 162.521270856645   Dec: -10.4954986010427  [deg; J2000]

     Catalogged Source?: NO
     Point Source?:      YES
     GRB Indicated?:     YES    [ by BAT flight software ]
     Image S/N Ratio:    7.29
     Image Trigger?:     YES
     Rate S/N Ratio:     0  [ if not an image trigger ]
     Image S/N Ratio:    7.29

  Flight Position:   [ source = BAT ]
    RA: 162.521270856645   Dec: -10.4954986010427  [deg; J2000]

  Ground Position:   [ source = BAT pre-slew burst ]
    RA: 162.480725114924   Dec: -10.4613242630678  [deg; J2000]  
        { 10h 49m 55.4s , -10d 27' 40.8" }
         +/- 4.59839780762902 [arcmin] (estimated 90% radius based on SNR)
         +/- 3.25673368512284 [arcmin] (formal 1-sigma fit error)
    SNR: 3.43983498680394
 
  Angular difference between Flight and Ground position is 3.150696 arcmin
 
  Partial Coding Fraction: 0.4296875    [ including projection effects ]

  Duration
     T90: 64 +/- 
        Measured from: 0
                   to: 64     [s; relative to TRIGTIME]
     T50: 64 +/- 
        Measured from: 0
                   to: 64     [s; relative to TRIGTIME]

    WARNING: battblocks failed.  Used TDRSS fore/background intervals

  Fluence
     Peak Flux  (peak 64 second)
        Measured from: 0     
                   to: 64     [s; relative to TRIGTIME]
     Total Fluence        
        Measured from: 0     
                   to: 64     [s; relative to TRIGTIME]
     
             Band 1     Band 2     Band 3     Band 4
              15-25      25-50     50-100    100-350     keV
 Total     0.307138   0.274598  -0.059842  -0.064364
           0.066157   0.066828   0.061328   0.057485 [error]
 Peak      0.307138   0.274598  -0.059842  -0.064364
           0.066157   0.066828   0.061328   0.057485 [error]

     [ fluence units of on-axis counts / fully illuminated detector ] 

======================================================================
 
=== Fluence/Peak Flux Summary ===
 
              Model    Band1    Band2    Band3    Band4    Band5    Total      
                       15-25    25-50   50-100  100-350   15-150   15-350   keV
Fluence   Power-law 9.60e-08 9.10e-08 5.98e-08 6.10e-08 2.72e-07 3.11e-07   erg/cm2
              Error 3.41e-08 3.46e-08 4.12e-08 8.75e-08 1.09e-07 1.54e-07   erg/cm2
Peak flux Power-law 4.96e-02 2.63e-02 8.67e-03 3.69e-03 8.67e-02 8.84e-02   ph/cm2/s
              Error 1.77e-02 9.62e-03 5.75e-03 4.92e-03 2.77e-02 2.84e-02   ph/cm2/s
 
Fluence   Cutoff-PL 9.69e-08 1.29e-07 1.55e-08 3.28e-11 2.41e-07 2.41e-07   erg/cm2
              Error 2.82e-08 4.54e-08 2.58e-08 1.50e-09 7.40e-08 7.40e-08   erg/cm2
Peak flux Cutoff-PL 4.84e-02 3.82e-02 2.58e-03 2.89e-06 8.90e-02 8.91e-02   ph/cm2/s
              Error 1.46e-02 1.23e-02 4.04e-03 1.24e-04 2.51e-02 2.51e-02   ph/cm2/s
 
Fluence        Band 7.75e-08 1.29e-07 1.23e-08 8.81e-11 2.39e-07 2.54e-07   erg/cm2
              Error 0.00e+00 0.00e+00 0.00e+00 0.00e+00 0.00e+00 0.00e+00   erg/cm2
Peak flux      Band 5.34e-02 2.78e-02 7.68e-03 1.29e-03 8.90e-02 8.52e-02   ph/cm2/s
              Error 0.00e+00 0.00e+00 0.00e+00 0.00e+00 0.00e+00 0.00e+00   ph/cm2/s
 
=== Time-averaged spectral analysis ===
 
Model Ph_index Ph_90err Epeak  Epeak_90err Norm     Nomr_90err chi2   dof
PL    2.587    0.634    -      -           4.17e-04 3.19e-04   50.100 57
CPL  -4.252    0.000      27.4    5.3      2.27e+01 0.00e+00   42.610 56
 
 
=== 1-s peak spectral analysis ===
 
Model Ph_index Ph_90err Epeak  Epeak_90err Norm     Nomr_90err chi2   dof
PL    2.583    0.628    -      -           4.20e-04 3.20e-04   50.400 57
CPL  -4.256    0.000      27.4    5.3      2.29e+01 0.00e+00   42.790 56
 
Model      : spectral model: simple power-law (PL) and cutoff power-law (CPL)
Ph_index   : photon index: E^-{Ph_index} (minus sign is not included in the index)
Ph_90err   : 90% error of the photon index
Epeak      : Epeak in keV
Epeak_90err: 90% error of Epeak
Norm       : normalization at 50 keV in PL model and at 1 keV in CPL model
Nomr_90err : 90% error of the normalization
chi2       : Chi-Squared
dof        : degree of freedom
 
=== T90/T50 calculation in the 50-300 keV band (BATSE band) using 64 ms lc ===
 
T90 in the 50-300 keV band: 0.000000 sec.
T50 in the 50-300 keV band: 0.000000 sec.
 
=== Table of the duration information ==
 
        Value   tstart    tstop
T100   64.000    0.000   64.000
T90    64.000    0.000   64.000
T50    64.000    0.000   64.000
Peak   64.000    0.000   64.000
  • Click here for the BAT GCN circular template

    Image

    Pre-slew 15-350 keV image (Event data; bkg subtracted)

    #   RAcent  DECcent POSerr  Theta    Phi     Peak Cts     SNR  Name
      162.4807 -10.4613 0.0558   43.0 -155.8       0.4636     3.4  TRIG_00317393       
    ------------------------------------------
     
    Foreground time interval of the image:
      0.000  64.000 (delta_t =  64.000 [sec])
    Background time interval of the image:
    

    Lightcurves

    Notes:

    1 s binning

    From T0-310 s to T0+310 s
    From T100_start - 20 s to T100_end + 30 s
    Full time interval

    64 ms binning

    Full time interval
    From T100_start to T100_end
    From T0-5 sec to T0+5 sec

    16 ms binning

    From T100_start-5 s to T100_start+5 s
    Blue+Cyan dotted lines: Time interval of the scaled map
    From 0.000000 to 64.000000
    

    8 ms binning

    From T100_start-3 s to T100_start+3 s
    Blue+Cyan dotted lines: Time interval of the scaled map
    From 0.000000 to 64.000000
    

    2 ms binning

    From T100_start-1 s to T100_start+1 s
    Blue+Cyan dotted lines: Time interval of the scaled map
    From 0.000000 to 64.000000
    

    SN=5 or 10 sec. binning (whichever binning is satisfied first)

    SN=5 or 10 sec. binning (T < 200 sec)

    Flight mask-tagged light curves

    Caution: Mask-weight map is always using the same on-axis map

    Quad-rate summed light curves (from T0-300 to T0+1000)

    Spectra

    Notes:

    Time averaged spectrum fit using the pre-slew DRM

    Power-law model
    Time interval is from    0.000 sec. to   64.000 sec.
     
    Spectral model in power-law:
    ------------------------------------------------------------
    Parameters  : value       lower 90%   higher 90%
    Photon index: 2.58677     ( -0.548835   0.71847 )
    Norm@50keV  : 4.17195E-04    ( -0.000414814   0.000223238 )
    ------------------------------------------------------------
    # Chi-Squared =          50.10 using 59 PHA bins.
    # Reduced chi-squared =         0.8790 for     57 degrees of freedom 
    # Null hypothesis probability =   7.293619e-01
     
    Photon flux (15-150 keV)    in 64 sec: 8.64009E-02 ( -0.027807  0.0280516 ) ph/cm2/s
    Energy fluence (15-150 keV)             : 2.7179e-07 ( -1.02424e-07  1.15044e-07 ) ergs/cm2
     
    
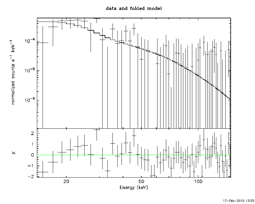
    Cutoff power-law model
    Time interval is from    0.000 sec. to   64.000 sec.
    Spectral model in the cutoff power-law:
    ------------------------------------------------------------
    Parameters  : value       lower 90%   higher 90%
    Photon index: -4.25202     (     )
    Epeak [keV] : 27.3675      ( -4.89471 5.7319 )
    Norm@50keV  : 22.6672    (     )
    ------------------------------------------------------------
    # Chi-Squared =          42.61 using 59 PHA bins.
    # Reduced chi-squared =         0.7608 for     56 degrees of freedom 
    # Null hypothesis probability =   9.064221e-01
     
    Photon flux (15-150 keV)    in 64 sec: 8.87979E-02 ( -0.0252902  0.0252811 ) ph/cm2/s
    Energy fluence (15-150 keV)             : 2.41478e-07 ( -7.23014e-08  7.5751e-08 ) ergs/cm2
     
    
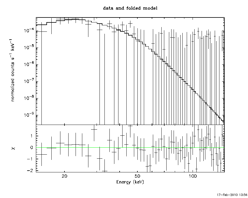
    Band function
    Time interval is from    0.000 sec. to   64.000 sec.
     
    Spectral model in the Band function:
    ------------------------------------------------------------
    Parameters  : value       lower 90%   higher 90%
    alpha       : 4.53876   ( -6.50224   -6.05989 )
    beta        : -9.37167    ( 10   19.9939 )
    Epeak [keV] : 27.5363      ( -5.12292 5.63534 )
    Norm@50keV   : 34.8338    ( -34.8731   16.7718 )
    ------------------------------------------------------------
    # Chi-Squared =          42.62 using 59 PHA bins.
    # Reduced chi-squared =         0.7750 for     55 degrees of freedom 
    # Null hypothesis probability =   8.882729e-01
     
    Photon flux (15-150 keV)    in 64 sec: 8.901737E-02 ( -0.0254795  0.0253836 ) ph/cm2/s
    Energy fluence (15-150 keV)             : 2.38764e-07 ( -6.80653e-08  6.78355e-08 ) ergs/cm2
     
    

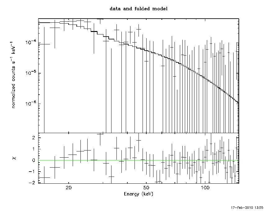
    Peak spectrum fit

    Power-law model
    Time interval is from    0.000 sec. to   64.000 sec.
     
    Spectral model in power-law:
    ------------------------------------------------------------
    Parameters  : value       lower 90%   higher 90%
    Photon index: 2.58276     ( -0.54316   0.713431 )
    Norm@50keV  : 4.19544E-04    ( -0.000417059   0.000222604 )
    ------------------------------------------------------------
    # Chi-Squared =          50.40 using 59 PHA bins.
    # Reduced chi-squared =         0.8841 for     57 degrees of freedom 
    # Null hypothesis probability =   7.193937e-01
     
    Photon flux (15-150 keV)    in 64 sec: 8.66577E-02 ( -0.0275757  0.0278371 ) ph/cm2/s
    Energy fluence (15-150 keV)             : 2.72884e-07 ( -1.02113e-07  1.14767e-07 ) ergs/cm2
     
    
    Cutoff power-law model
    Time interval is from    0.000 sec. to   64.000 sec.
    Spectral model in the cutoff power-law:
    ------------------------------------------------------------
    Parameters  : value       lower 90%   higher 90%
    Photon index: -4.25613     (     )
    Epeak [keV] : 27.3737      ( -4.85329 5.66122 )
    Norm@50keV  : 22.8622    (     )
    ------------------------------------------------------------
    # Chi-Squared =          42.79 using 59 PHA bins.
    # Reduced chi-squared =         0.7641 for     56 degrees of freedom 
    # Null hypothesis probability =   9.028504e-01
     
    Photon flux (15-150 keV)    in 64 sec: 8.90414E-02 ( -0.0250904  0.0251036 ) ph/cm2/s
    Energy fluence (15-150 keV)             : 2.42458e-07 ( -7.21434e-08  4.1433e-08 ) ergs/cm2
     
    
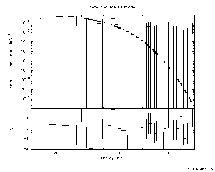
    Band function
    Time interval is from    0.000 sec. to   64.000 sec.
     
    Spectral model in the Band function:
    ------------------------------------------------------------
    Parameters  : value       lower 90%   higher 90%
    alpha       : 4.53274   ( -6.41541   -6.00549 )
    beta        : -9.36425    ( 9.98654   19.98 )
    Epeak [keV] : 27.2641      ( -4.84518 5.80241 )
    Norm@50keV   : 36.9730    ( -36.5503   14.59 )
    ------------------------------------------------------------
    # Chi-Squared =          42.81 using 59 PHA bins.
    # Reduced chi-squared =         0.7783 for     55 degrees of freedom 
    # Null hypothesis probability =   8.842670e-01
     
    Photon flux (15-150 keV)    in 64 sec: 8.901737E-02 ( -0.0254795  0.0253836 ) ph/cm2/s
    Energy fluence (15-150 keV)             : 2.38764e-07 ( -6.80653e-08  6.78355e-08 ) ergs/cm2
     
    

    Pre-slew spectrum (Pre-slew PHA with pre-slew DRM)

    Power-law model
     
    Spectral model in power-law:
    ------------------------------------------------------------
    Parameters  : value       lower 90%   higher 90%
    Photon index: 2.58677     ( -0.548835   0.71847 )
    Norm@50keV  : 4.17195E-04    ( -0.000414814   0.000223238 )
    ------------------------------------------------------------
    # Chi-Squared =          50.10 using 59 PHA bins.
    # Reduced chi-squared =         0.8790 for     57 degrees of freedom 
    # Null hypothesis probability =   7.293619e-01
     
    Photon flux (15-150 keV)    in 64 sec: 8.64009E-02 ( -0.027807  0.0280516 ) ph/cm2/s
    Energy fluence (15-150 keV)             : 2.7179e-07 ( -1.02424e-07  1.15044e-07 ) ergs/cm2
     
    
    Cutoff power-law model
    Spectral model in the cutoff power-law:
    ------------------------------------------------------------
    Parameters  : value       lower 90%   higher 90%
    Photon index: -4.25202     (     )
    Epeak [keV] : 27.3675      ( -4.89471 5.7319 )
    Norm@50keV  : 22.6672    (     )
    ------------------------------------------------------------
    # Chi-Squared =          42.61 using 59 PHA bins.
    # Reduced chi-squared =         0.7608 for     56 degrees of freedom 
    # Null hypothesis probability =   9.064221e-01
     
    Photon flux (15-150 keV)    in 64 sec: 8.87979E-02 ( -0.0252902  0.0252811 ) ph/cm2/s
    Energy fluence (15-150 keV)             : 2.41478e-07 ( -7.23014e-08  7.5751e-08 ) ergs/cm2
     
    
    Band function
     
    Spectral model in the Band function:
    ------------------------------------------------------------
    Parameters  : value       lower 90%   higher 90%
    alpha       : 4.53876   ( -15.9143   -6.05989 )
    beta        : -9.37167    ( 10   19.9939 )
    Epeak [keV] : 27.5363      ( -5.12292 5.63534 )
    Norm@50keV   : 34.8338    ( -34.8731   16.7718 )
    ------------------------------------------------------------
    # Chi-Squared =          42.62 using 59 PHA bins.
    # Reduced chi-squared =         0.7750 for     55 degrees of freedom 
    # Null hypothesis probability =   8.882729e-01
     
    Photon flux (15-150 keV)    in 64 sec: 8.901737E-02 ( -0.0254795  0.0253836 ) ph/cm2/s
    Energy fluence (15-150 keV)             : 2.38764e-07 ( -6.80653e-08  6.78355e-08 ) ergs/cm2
     
    

    S(25-50 keV) vs. S(50-100 keV) plot

    S(25-50 keV)  = 9.09619e-08
    S(50-100 keV) = 5.97948e-08
    

    T90 vs. Hardness ratio plot

    T90                                   = 64 sec.
    Hardness ratio (energy fluence ratio) = 0.657361
    

    Color vs. Color plot

    Count Ratio  (25-50 keV) / (15-25 keV) = 0.894054
    Count Ratio (50-100 keV) / (15-25 keV) = -0.194837
    

    Mask shadow pattern

    IMX = 0, IMY = 0
    

    TIME vs. PHA plot around the trigger time

    Blue+Cyan dotted lines: Time interval of the scaled map
    From 0.000000 to 64.000000
    

    TIME vs. DetID plot around the trigger time

    Blue+Cyan dotted lines: Time interval of the scaled map
    From 0.000000 to 64.000000
    

    100 us light curve (15-350 keV)

    Blue+Cyan dotted lines: Time interval of the scaled map
    From 0.000000 to 64.000000
    

    Spacecraft aspect plot

    Bright source in the pre-burst/pre-slew/post-slew images

    Pre-burst image of 15-350 keV band

    Time interval of the image:
     
    

    Pre-slew background subtracted image of 15-350 keV band

    Time interval of the image:
    0.000000 64.000000
     
    # RAcent  DECcent POSerr Theta    Phi  PeakCts   SNR AngSep     Name
    #  [deg]    [deg]    ['] [deg]  [deg]                   [']
    

    Post-slew image of 15-350 keV band

    Time interval of the image:
    135.500590 415.390000
    416.000000 869.450000
    871.000000 963.007100
     
    # RAcent  DECcent POSerr Theta    Phi  PeakCts   SNR AngSep     Name
    #  [deg]    [deg]    ['] [deg]  [deg]                   [']
    135.5043 -40.5540    0.6  38.4  177.4  12.5746  18.6    1.1	Vela X-1                      
    171.8285 -28.5563    2.8  20.1  119.2   2.0351   4.1 ------	UNKNOWN                       
    194.1717  24.7705    3.7  46.8    4.4   3.0887   3.1 ------	UNKNOWN                       
    122.2418 -46.5141    3.5  49.6  179.4   3.9002   3.3 ------	UNKNOWN                       
    177.8622  21.5971    2.8  35.4  -11.3   2.4676   4.2 ------	UNKNOWN                       
    122.3393 -28.1736    2.9  41.6 -157.4   3.2079   4.0 ------	UNKNOWN                       
    154.3650  39.6617    3.6  50.7  -44.5   9.7988   3.2 ------	UNKNOWN                       
    
    Plot creation:
    Wed Feb 17 13:57:49 EST 2010