batgrbproduct Analysis for Trigger=321174

Analysis Summary

Notes:

======================================================================
                  BAT GRB EVENT DATA PROCESSING REPORT
    Process Script Ver: batgrbproduct v2.41
    Process Start Time (local time): Fri Aug 22 19:25:34 EDT 2008
             Host Name: gcn5
   Current Working Dir: /local/data/raid2/prebascript/trigger321174/GCN5_download_cron
======================================================================

  Trigger: 00321174      Segment: 000

  BAT Trigger Time: 241101722.496   [s; MET]
      Trigger Stop: 241101722.56   [s; MET]
               UTC: 2008-08-22T12:41:59.457500    [includes UTCF correction] 
       Where From?: (*SHORT BURST*) TDRSS scaled map message

  BAT 
    RA: 75.2705886198806   Dec: 45.2723231104941  [deg; J2000]

     Catalogged Source?: NO
     Point Source?:      YES
     GRB Indicated?:     YES    [ by BAT flight software ]
     Image S/N Ratio:    17.33
     Image Trigger?:     NO
     Rate S/N Ratio:     72.6636084983398  [ if not an image trigger ]
     Image S/N Ratio:    17.33

  Flight Position:   [ source = BAT ]
    RA: 75.2705886198806   Dec: 45.2723231104941  [deg; J2000]

  Ground Position:   [ source = BAT pre-slew burst ]
    RA: 75.2658650404187   Dec: 45.2715038976962  [deg; J2000]  
        { 05h 01m 03.8s , +45d 16' 17.4" }
         +/- 1.24067258807296 [arcmin] (estimated 90% radius based on SNR)
         +/- 0.517042149098597 [arcmin] (formal 1-sigma fit error)
    SNR: 22.3523093209146
 
  Angular difference between Flight and Ground position is 0.205419 arcmin
 
  Partial Coding Fraction: 0.6796875    [ including projection effects ]

  Duration
     T90: 0.0760000050067902 +/- 0.0144222095322683
        Measured from: -0.00799989700317383
                   to: 0.0680001080036163     [s; relative to TRIGTIME]
     T50: 0.0280000269412994 +/- 0.00565684464005017
        Measured from: 0.0160000920295715
                   to: 0.044000118970871     [s; relative to TRIGTIME]



  Fluence
     Peak Flux  (peak 1 second)
        Measured from: -0.467999994754791     
                   to: 0.532000005245209     [s; relative to TRIGTIME]
     Total Fluence        
        Measured from: -0.0199999809265137     
                   to: 0.0800000131130219     [s; relative to TRIGTIME]
     
             Band 1     Band 2     Band 3     Band 4
              15-25      25-50     50-100    100-350     keV
 Total     0.049562   0.078156   0.019972   0.001360
           0.003798   0.004472   0.002684   0.001639 [error]
 Peak      0.050060   0.078695   0.019513   0.001524
           0.003824   0.004502   0.002720   0.001654 [error]

     [ fluence units of on-axis counts / fully illuminated detector ] 

======================================================================
 
=== Fluence/Peak Flux Summary ===
 
              Model    Band1    Band2    Band3    Band4    Band5    Total      
                       15-25    25-50   50-100  100-350   15-150   15-350   keV
Fluence   Power-law 2.02e-08 2.18e-08 1.67e-08 2.09e-08 6.65e-08 8.21e-08   erg/cm2
              Error 0.00e+00 0.00e+00 0.00e+00 0.00e+00 0.00e+00 0.00e+00   erg/cm2
Peak flux Power-law 7.06e-01 4.81e-01 2.15e-01 1.33e-01 1.47e+00 1.53e+00   ph/cm2/s
              Error 9.80e-02 5.74e-02 4.46e-02 4.89e-02 1.68e-01 1.80e-01   ph/cm2/s
 
Fluence   Cutoff-PL 1.55e-08 3.60e-08 1.23e-08 2.15e-10 6.41e-08 6.41e-08   erg/cm2
              Error 2.29e-09 3.37e-09 2.93e-09 2.91e-10 5.27e-09 5.27e-09   erg/cm2
Peak flux Cutoff-PL 6.12e-01 6.81e-01 1.41e-01 2.42e-03 1.44e+00 1.44e+00   ph/cm2/s
              Error 1.16e-01 9.75e-02 5.90e-02 6.55e-03 1.63e-01 1.63e-01   ph/cm2/s
 
Fluence        Band 1.53e-08 3.62e-08 1.29e-08 3.09e-09 6.63e-08 7.18e-08   erg/cm2
              Error 0.00e+00 0.00e+00 0.00e+00 0.00e+00 0.00e+00 0.00e+00   erg/cm2
Peak flux      Band 4.93e+00 6.26e+00 1.28e+00 1.23e-01 1.23e+01 1.26e+01   ph/cm2/s
              Error 0.00e+00 0.00e+00 0.00e+00 0.00e+00 0.00e+00 0.00e+00   ph/cm2/s
 
=== Time-averaged spectral analysis ===
 
Model Ph_index Ph_90err Epeak  Epeak_90err Norm     Nomr_90err chi2   dof
PL    2.388    0.000    -      -           6.84e-02 0.00e+00  128.660 57
CPL  -2.066    1.376      35.3    1.9      3.29e+01 1.60e+02   61.590 56
 
 
=== 1-s peak spectral analysis ===
 
Model Ph_index Ph_90err Epeak  Epeak_90err Norm     Nomr_90err chi2   dof
PL    2.163    0.201    -      -           9.04e-03 1.46e-03   67.260 57
CPL  -1.157    1.727      33.8    3.6      1.14e+00 1.19e+01   47.590 56
 
Model      : spectral model: simple power-law (PL) and cutoff power-law (CPL)
Ph_index   : photon index: E^-{Ph_index} (minus sign is not included in the index)
Ph_90err   : 90% error of the photon index
Epeak      : Epeak in keV
Epeak_90err: 90% error of Epeak
Norm       : normalization at 50 keV in PL model and at 1 keV in CPL model
Nomr_90err : 90% error of the normalization
chi2       : Chi-Squared
dof        : degree of freedom
 
=== T90/T50 calculation in the 50-300 keV band (BATSE band) using 64 ms lc ===
 
T90 in the 50-300 keV band: 0.000000 sec.
T50 in the 50-300 keV band: 0.000000 sec.
 
=== Table of the duration information ==
 
        Value   tstart    tstop
T100    0.100   -0.020    0.080
T90     0.076   -0.008    0.068
T50     0.028    0.016    0.044
Peak    1.000   -0.468    0.532
  • Click here for the BAT GCN circular template

    Image

    Pre-slew 15-350 keV image (Event data; bkg subtracted)

    #   RAcent  DECcent POSerr  Theta    Phi     Peak Cts     SNR  Name
       75.2659 +45.2715 0.0086   32.2  -38.0       0.1488    22.4  TRIG_00321174       
    ------------------------------------------
     
    Foreground time interval of the image:
     -0.020   0.080 (delta_t =   0.100 [sec])
    Background time interval of the image:
    -104.395  -0.020 (delta_t = 104.375 [sec])
    

    Lightcurves

    Notes:

    1 s binning

    From T0-310 s to T0+310 s
    From T100_start - 20 s to T100_end + 30 s
    Full time interval

    64 ms binning

    Full time interval
    From T100_start to T100_end
    From T0-5 sec to T0+5 sec

    16 ms binning

    From T100_start-5 s to T100_start+5 s
    Blue+Cyan dotted lines: Time interval of the scaled map
    From 0.000000 to 0.064000
    

    8 ms binning

    From T100_start-3 s to T100_start+3 s
    Blue+Cyan dotted lines: Time interval of the scaled map
    From 0.000000 to 0.064000
    

    2 ms binning

    From T100_start-1 s to T100_start+1 s
    Blue+Cyan dotted lines: Time interval of the scaled map
    From 0.000000 to 0.064000
    

    SN=5 or 10 sec. binning (whichever binning is satisfied first)

    SN=5 or 10 sec. binning (T < 200 sec)

    Flight mask-tagged light curves

    Caution: Mask-weight map is always using the same on-axis map

    Quad-rate summed light curves (from T0-300 to T0+1000)

    Spectra

    Notes:

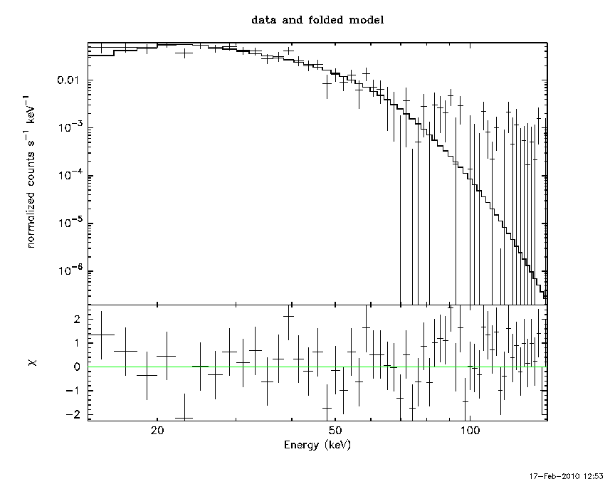
    Time averaged spectrum fit using the pre-slew DRM

    Power-law model
    Time interval is from   -0.020 sec. to    0.080 sec.
     
    Spectral model in power-law:
    ------------------------------------------------------------
    Parameters  : value       lower 90%   higher 90%
    Photon index: 2.38773     (     )
    Norm@50keV  : 6.83882E-02    (     )
    ------------------------------------------------------------
    # Chi-Squared =         128.66 using 59 PHA bins.
    # Reduced chi-squared =         2.2572 for     57 degrees of freedom 
    # Null hypothesis probability =   1.855522e-07
     
    Photon flux (15-150 keV)    in 0.1 sec: 12.5635 (    ) ph/cm2/s
    Energy fluence (15-150 keV)             : 6.65307e-08 ( 0  0 ) ergs/cm2
     
    
    Cutoff power-law model
    Time interval is from   -0.020 sec. to    0.080 sec.
    Spectral model in the cutoff power-law:
    ------------------------------------------------------------
    Parameters  : value       lower 90%   higher 90%
    Photon index: -2.06596     ( -1.4924   1.25888 )
    Epeak [keV] : 35.3031      ( -1.92048 1.93085 )
    Norm@50keV  : 32.9073    ( -35.593   284.77 )
    ------------------------------------------------------------
    # Chi-Squared =          61.59 using 59 PHA bins.
    # Reduced chi-squared =          1.100 for     56 degrees of freedom 
    # Null hypothesis probability =   2.830663e-01
     
    Photon flux (15-150 keV)    in 0.1 sec: 12.6065 ( -1.0296  1.0533 ) ph/cm2/s
    Energy fluence (15-150 keV)             : 6.40587e-08 ( -5.2122e-09  5.3271e-09 ) ergs/cm2
     
    
    Band function
    Time interval is from   -0.020 sec. to    0.080 sec.
     
    Spectral model in the Band function:
    ------------------------------------------------------------
    Parameters  : value       lower 90%   higher 90%
    alpha       : 2.58418   ( -0.936806   2.73528 )
    beta        : -4.64393    ( 4.90856   1.16892 )
    Epeak [keV] : 34.7527      ( -2.18829 2.32321 )
    Norm@50keV   : 73.7763    ( -73.1714   978.438 )
    ------------------------------------------------------------
    # Chi-Squared =          59.55 using 59 PHA bins.
    # Reduced chi-squared =          1.083 for     55 degrees of freedom 
    # Null hypothesis probability =   3.135127e-01
     
    Photon flux (15-150 keV)    in 0.1 sec: 12.7150 ( -1.0183  0.9912 ) ph/cm2/s
    Energy fluence (15-150 keV)             : 6.62829e-08 ( -5.1679e-09  5.1274e-09 ) ergs/cm2
     
    
    Single BB
     
    Spectral model blackbody:
    ------------------------------------------------------------
    Parameters  : value    Lower 90%  Upper 90%
    kT [keV]    : 9.03078  (-0.509868  0.532484)
    R^2/D10^2   : 10.2663  (-2.20418   2.76754)
    (R is the radius in km and D10 is the distance to the source in units of 10 kpc)
    ------------------------------------------------------------
    # Chi-Squared =          61.84 using 59 PHA bins.
    # Reduced chi-squared =          1.085 for     57 degrees of freedom 
    # Null hypothesis probability =   3.074414e-01
     
    Energy  Fluence     90% Error
    [keV]   [erg/cm2]   [erg/cm2]
    15- 25  1.633e-08   1.980e-09
    25- 50  3.490e-08   2.845e-09
    50-150  1.345e-08   2.535e-09
    15-150  6.468e-08   5.135e-09
    
    Thermal bremsstrahlung (OTTB)
     
     
    Spectral model: thermal bremsstrahlung
    ------------------------------------------------------------
    Parameters  : value         Lower 90%    Upper 90%
    kT [keV]    : 39.9221       (-5.20656      6.19689)
    Norm        : 87.5882       (-10.9209     12.1319)
    ------------------------------------------------------------
    # Chi-Squared =          93.66 using 59 PHA bins.
    # Reduced chi-squared =          1.643 for     57 degrees of freedom 
    # Null hypothesis probability =   1.589357e-03
     
    Energy  Fluence     90% Error
    [keV]   [erg/cm2]   [erg/cm2]
    15- 25  2.010e-08   2.065e-09
    25- 50  2.642e-08   2.105e-09
    50-150  2.040e-08   3.880e-09
    15-150  6.692e-08   6.060e-09
    
    Double BB
     
     
    Spectral model: bbodyrad<1> + bbodyrad<2>
    ------------------------------------------------------------
    Parameters  : value         Lower 90%    Upper 90%
    kT1 [keV]   : 0.756730        (-0.753662      3.02686)
    R1^2/D10^2  : 1.66056E+08        (-1.87932e+08      -1.87932e+08)
    kT2 [keV]   : 9.09851        (-0.525323      0.552261)
    R2^2/D10^2  : 9.88111    (-2.26841   2.47851)
    ------------------------------------------------------------
    # Chi-Squared =          60.78 using 59 PHA bins.
    # Reduced chi-squared =          1.105 for     55 degrees of freedom 
    # Null hypothesis probability =   2.755770e-01
     
    Energy  Fluence     90% Error
    [keV]   [erg/cm2]   [erg/cm2]
    15- 25  1.622e-08   1.805e-09
    25- 50  3.462e-08   2.965e-09
    50-150  1.365e-08   2.550e-09
    15-150  6.449e-08   5.585e-09
    

    Peak spectrum fit

    Power-law model
    Time interval is from   -0.468 sec. to    0.532 sec.
     
    Spectral model in power-law:
    ------------------------------------------------------------
    Parameters  : value       lower 90%   higher 90%
    Photon index: 2.16254     ( -0.192975   0.208897 )
    Norm@50keV  : 9.03631E-03    ( -0.00146743   0.00144516 )
    ------------------------------------------------------------
    # Chi-Squared =          67.26 using 59 PHA bins.
    # Reduced chi-squared =          1.180 for     57 degrees of freedom 
    # Null hypothesis probability =   1.660135e-01
     
    Photon flux (15-150 keV)    in 1 sec: 1.46711 ( -0.167673  0.167732 ) ph/cm2/s
    Energy fluence (15-150 keV)             : 8.45322e-08 ( -1.20491e-08  1.23888e-08 ) ergs/cm2
     
    
    Cutoff power-law model
    Time interval is from   -0.468 sec. to    0.532 sec.
    Spectral model in the cutoff power-law:
    ------------------------------------------------------------
    Parameters  : value       lower 90%   higher 90%
    Photon index: -1.15694     ( -2.00597   1.44834 )
    Epeak [keV] : 33.8355      ( -3.48556 3.7326 )
    Norm@50keV  : 1.14365    ( -1.20289   22.5657 )
    ------------------------------------------------------------
    # Chi-Squared =          47.59 using 59 PHA bins.
    # Reduced chi-squared =         0.8498 for     56 degrees of freedom 
    # Null hypothesis probability =   7.806817e-01
     
    Photon flux (15-150 keV)    in 1 sec: 1.43576 ( -0.16269  0.16354 ) ph/cm2/s
    Energy fluence (15-150 keV)             : 7.13271e-08 ( -9.3052e-09  1.00908e-08 ) ergs/cm2
     
    
    Band function
    Time interval is from   -0.468 sec. to    0.532 sec.
     
    Spectral model in the Band function:
    ------------------------------------------------------------
    Parameters  : value       lower 90%   higher 90%
    alpha       : 1.51773   ( -2.03504   2.1204 )
    beta        : -4.69357    ( 5.0431   2.04333 )
    Epeak [keV] : 33.8003      ( -3.88656 3.84491 )
    Norm@50keV   : 1.96797    ( -1.55187   68.2161 )
    ------------------------------------------------------------
    # Chi-Squared =          47.52 using 59 PHA bins.
    # Reduced chi-squared =         0.8640 for     55 degrees of freedom 
    # Null hypothesis probability =   7.530007e-01
     
    Photon flux (15-150 keV)    in 1 sec: 12.3068 ( -0.9809  0.9362 ) ph/cm2/s
    Energy fluence (15-150 keV)             : 6.38738e-07 ( -5.0489e-08  5.1751e-08 ) ergs/cm2
     
    
    Single BB
     
    Spectral model blackbody:
    ------------------------------------------------------------
    Parameters  : value    Lower 90%  Upper 90%
    kT [keV]    : 8.70219  (-0.825516  0.895851)
    R^2/D10^2   : 1.31177  (-0.420332   0.617086)
    (R is the radius in km and D10 is the distance to the source in units of 10 kpc)
    ------------------------------------------------------------
    # Chi-Squared =          47.48 using 59 PHA bins.
    # Reduced chi-squared =         0.8330 for     57 degrees of freedom 
    # Null hypothesis probability =   8.114072e-01
     
    Energy  Fluence     90% Error
    [keV]   [erg/cm2]   [erg/cm2]
    15- 25  1.899e-08   3.125e-09
    25- 50  3.826e-08   5.250e-09
    50-150  1.315e-08   4.431e-09
    15-150  7.040e-08   9.670e-09
    
    Thermal bremsstrahlung (OTTB)
     
     
    Spectral model: thermal bremsstrahlung
    ------------------------------------------------------------
    Parameters  : value         Lower 90%    Upper 90%
    kT [keV]    : 44.8254       (-10.3262      15.2286)
    Norm        : 9.17491       (-1.51101     1.89623)
    ------------------------------------------------------------
    # Chi-Squared =          57.11 using 59 PHA bins.
    # Reduced chi-squared =          1.002 for     57 degrees of freedom 
    # Null hypothesis probability =   4.710659e-01
     
    Energy  Fluence     90% Error
    [keV]   [erg/cm2]   [erg/cm2]
    15- 25  2.182e-08   3.000e-09
    25- 50  3.008e-08   3.850e-09
    50-150  2.625e-08   9.205e-09
    15-150  7.815e-08   1.271e-08
    
    Double BB
    ------------------------------------------------------------
    Parameters  : value         Lower 90%    Upper 90%
    kT1 [keV]   : 1.13116        (-1.47546      7.82088)
    R1^2/D10^2  : 6.38814E+04        (      )
    kT2 [keV]   : 8.94219        (-0.906863      -8.94159)
    R2^2/D10^2  : 1.15285    (-1.15354   0.599116)
    ------------------------------------------------------------
    # Chi-Squared =          46.00 using 59 PHA bins.
    # Chi-Squared =          45.88 using 59 PHA bins.
    # Reduced chi-squared =         0.8364 for     55 degrees of freedom 
    # Reduced chi-squared =         0.8342 for     55 degrees of freedom 
    # Null hypothesis probability =   8.010547e-01
    # Null hypothesis probability =   8.046912e-01
     
    Energy  Fluence     90% Error
    [keV]   [erg/cm2]   [erg/cm2]
    15- 25  1.910e-08   4.595e-09
    25- 50  3.751e-08   7.520e-09
    50-150  1.422e-08   5.136e-09
    15-150  7.083e-08   1.236e-08
    

    Pre-slew spectrum (Pre-slew PHA with pre-slew DRM)

    Power-law model
     
    Spectral model in power-law:
    ------------------------------------------------------------
    Parameters  : value       lower 90%   higher 90%
    Photon index: 2.38773     (     )
    Norm@50keV  : 6.83882E-02    (     )
    ------------------------------------------------------------
    # Chi-Squared =         128.66 using 59 PHA bins.
    # Reduced chi-squared =         2.2572 for     57 degrees of freedom 
    # Null hypothesis probability =   1.855522e-07
     
    Photon flux (15-150 keV)    in 0.1 sec: 12.5635 (    ) ph/cm2/s
    Energy fluence (15-150 keV)             : 6.65307e-08 ( 0  0 ) ergs/cm2
     
    
    Cutoff power-law model
    Spectral model in the cutoff power-law:
    ------------------------------------------------------------
    Parameters  : value       lower 90%   higher 90%
    Photon index: -2.06596     ( -1.4924   1.25888 )
    Epeak [keV] : 35.3031      ( -1.92048 1.93085 )
    Norm@50keV  : 32.9073    ( -35.593   284.77 )
    ------------------------------------------------------------
    # Chi-Squared =          61.59 using 59 PHA bins.
    # Reduced chi-squared =          1.100 for     56 degrees of freedom 
    # Null hypothesis probability =   2.830663e-01
     
    Photon flux (15-150 keV)    in 0.1 sec: 12.6065 ( -1.0296  1.0533 ) ph/cm2/s
    Energy fluence (15-150 keV)             : 6.40587e-08 ( -5.2122e-09  5.3271e-09 ) ergs/cm2
     
    
    Band function
     
    Spectral model in the Band function:
    ------------------------------------------------------------
    Parameters  : value       lower 90%   higher 90%
    alpha       : 2.58418   ( -0.936806   2.73528 )
    beta        : -4.64393    ( 4.90856   1.16892 )
    Epeak [keV] : 34.7527      ( -2.18829 2.32321 )
    Norm@50keV   : 73.7763    ( -73.1714   973.544 )
    ------------------------------------------------------------
    # Chi-Squared =          59.55 using 59 PHA bins.
    # Reduced chi-squared =          1.083 for     55 degrees of freedom 
    # Null hypothesis probability =   3.135127e-01
     
    Photon flux (15-150 keV)    in 0.1 sec: 12.7150 ( -1.0183  0.9912 ) ph/cm2/s
    Energy fluence (15-150 keV)             : 6.62829e-08 ( -5.1679e-09  5.1274e-09 ) ergs/cm2
     
    

    S(25-50 keV) vs. S(50-100 keV) plot

    S(25-50 keV)  = 2.17912e-08
    S(50-100 keV) = 1.67055e-08
    

    T90 vs. Hardness ratio plot

    T90                                   = 0.0760000050067902 sec.
    Hardness ratio (energy fluence ratio) = 0.766617
    

    Color vs. Color plot

    Count Ratio  (25-50 keV) / (15-25 keV) = 1.57693
    Count Ratio (50-100 keV) / (15-25 keV) = 0.40297
    

    Mask shadow pattern

    IMX = 0, IMY = 0
    

    TIME vs. PHA plot around the trigger time

    Blue+Cyan dotted lines: Time interval of the scaled map
    From 0.000000 to 0.064000
    

    TIME vs. DetID plot around the trigger time

    Blue+Cyan dotted lines: Time interval of the scaled map
    From 0.000000 to 0.064000
    

    100 us light curve (15-350 keV)

    Blue+Cyan dotted lines: Time interval of the scaled map
    From 0.000000 to 0.064000
    

    Spacecraft aspect plot

    Bright source in the pre-burst/pre-slew/post-slew images

    Pre-burst image of 15-350 keV band

    Time interval of the image:
    -104.395400 -0.020000
     
    # RAcent  DECcent POSerr Theta    Phi  PeakCts   SNR AngSep     Name
    #  [deg]    [deg]    ['] [deg]  [deg]                   [']
     83.6444  22.0149    1.3  55.3  -27.0   3.4900   9.1    0.6	Crab                          
    308.3223  40.8588    5.3  49.5  147.3   0.9890   2.2   11.1	Cyg X-3                       
    326.0259  38.4444   14.8  43.1  130.4  -0.2987  -0.8   10.1	Cyg X-2                       
    110.5888  78.4344    2.1  29.2 -111.8   0.7244   5.5 ------	UNKNOWN                       
    

    Pre-slew background subtracted image of 15-350 keV band

    Time interval of the image:
    -0.020000 0.080000
     
    # RAcent  DECcent POSerr Theta    Phi  PeakCts   SNR AngSep     Name
    #  [deg]    [deg]    ['] [deg]  [deg]                   [']
     83.5892  22.0173   23.9  55.3  -26.9   0.0114   0.5    2.5	Crab                          
    307.8773  41.0433   18.2  49.6  147.8   0.0099   0.6   11.9	Cyg X-3                       
    326.0040  38.3275   22.0  43.2  130.3  -0.0067  -0.5    7.9	Cyg X-2                       
     75.2659  45.2715    0.5  32.2  -38.0   0.1488  22.3 ------	UNKNOWN                       
    

    Post-slew image of 15-350 keV band

    Time interval of the image:
    60.204600 358.054000
     
    # RAcent  DECcent POSerr Theta    Phi  PeakCts   SNR AngSep     Name
    #  [deg]    [deg]    ['] [deg]  [deg]                   [']
     83.6324  22.0219    0.2  24.2  -20.2  12.6787  62.6    0.5	Crab                          
     85.4084  38.0676    2.4  10.4  -51.0   0.9842   4.9 ------	UNKNOWN                       
     94.3379  45.2741    2.6  13.4  -97.8   0.9170   4.4 ------	UNKNOWN                       
    102.9765  55.9338    2.0  20.4 -132.5   1.1351   5.7 ------	UNKNOWN                       
    106.5497   1.0975    3.0  52.1  -42.2   4.4851   3.8 ------	UNKNOWN                       
    
    Plot creation:
    Wed Feb 17 12:55:02 EST 2010