batgrbproduct Analysis for Trigger=322590

Analysis Summary

Notes:

======================================================================
                  BAT GRB EVENT DATA PROCESSING REPORT
    Process Script Ver: batgrbproduct v2.41
    Process Start Time (local time): Thu Aug 28 18:31:17 EDT 2008
             Host Name: gcn5
   Current Working Dir: /local/data/raid2/prebascript/trigger322590/GCN5_download_cron
======================================================================

  Trigger: 00322590      Segment: 000

  BAT Trigger Time: 241604112.384   [s; MET]
      Trigger Stop: 241604113.408   [s; MET]
               UTC: 2008-08-28T08:15:09.330680    [includes UTCF correction] 
       Where From?: TDRSS position message

  BAT 
    RA: 323.467313774246   Dec: 42.0014163182813  [deg; J2000]

     Catalogged Source?: NO
     Point Source?:      YES
     GRB Indicated?:     YES    [ by BAT flight software ]
     Image S/N Ratio:    6.76
     Image Trigger?:     NO
     Rate S/N Ratio:     7  [ if not an image trigger ]
     Image S/N Ratio:    6.76

  Flight Position:   [ source = BAT ]
    RA: 323.467313774246   Dec: 42.0014163182813  [deg; J2000]

  Ground Position:   [ source = BAT pre-slew burst ]
    RA: 323.458151268726   Dec: 41.9684720403909  [deg; J2000]  
        { 21h 33m 50.0s , +41d 58' 06.5" }
         +/- 3.22561505867292 [arcmin] (estimated 90% radius based on SNR)
         +/- 1.66330616091508 [arcmin] (formal 1-sigma fit error)
    SNR: 5.70859246708579
 
  Angular difference between Flight and Ground position is 2.018455 arcmin
 
  Partial Coding Fraction: 1.015625    [ including projection effects ]

  Duration
     T90: 0.640000015497208 +/- 0.181019323508289
        Measured from: 0.296000093221664
                   to: 0.936000108718872     [s; relative to TRIGTIME]
     T50: 0.448000013828278 +/- 0.181019323508289
        Measured from: 0.424000084400177
                   to: 0.872000098228455     [s; relative to TRIGTIME]



  Fluence
     Peak Flux  (peak 1 second)
        Measured from: 0.148000001907349     
                   to: 1.14800000190735     [s; relative to TRIGTIME]
     Total Fluence        
        Measured from: 0.296000003814697     
                   to: 1     [s; relative to TRIGTIME]
     
             Band 1     Band 2     Band 3     Band 4
              15-25      25-50     50-100    100-350     keV
 Total     0.004172   0.020776   0.014416   0.003197
           0.003930   0.004043   0.003616   0.003040 [error]
 Peak      0.004172   0.020776   0.014416   0.003197
           0.003930   0.004043   0.003616   0.003040 [error]

     [ fluence units of on-axis counts / fully illuminated detector ] 

======================================================================
 
=== Fluence/Peak Flux Summary ===
 
              Model    Band1    Band2    Band3    Band4    Band5    Total      
                       15-25    25-50   50-100  100-350   15-150   15-350   keV
Fluence   Power-law 2.71e-09 5.67e-09 9.27e-09 3.41e-08 2.56e-08 5.18e-08   erg/cm2
              Error 1.29e-09 1.73e-09 3.21e-09 2.58e-08 8.10e-09 2.81e-08   erg/cm2
Peak flux Power-law 9.39e-02 1.07e-01 8.67e-02 1.18e-01 3.30e-01 4.05e-01   ph/cm2/s
              Error 5.00e-02 3.67e-02 3.25e-02 9.08e-02 1.05e-01 1.34e-01   ph/cm2/s
 
Fluence   Cutoff-PL 2.24e-09 6.37e-09 9.97e-09 8.75e-09 2.37e-08 2.73e-08   erg/cm2
              Error 1.47e-09 2.22e-09 3.90e-09 2.86e-08 8.65e-09 2.83e-08   erg/cm2
Peak flux Cutoff-PL 7.01e-02 1.18e-01 9.81e-02 3.78e-02 4.21e-01 3.24e-01   ph/cm2/s
              Error 5.78e-02 4.56e-02 4.04e-02 1.64e-01 0.00e+00 0.00e+00   ph/cm2/s
 
Fluence        Band 2.22e-09 6.62e-09 9.24e-09 2.20e-08 2.44e-08 4.01e-08   erg/cm2
              Error 0.00e+00 0.00e+00 0.00e+00 0.00e+00 0.00e+00 0.00e+00   erg/cm2
Peak flux      Band 1.01e-01 1.56e-01 1.26e-01 5.41e-02 4.21e-01 3.48e-01   ph/cm2/s
              Error 0.00e+00 0.00e+00 0.00e+00 0.00e+00 0.00e+00 0.00e+00   ph/cm2/s
 
=== Time-averaged spectral analysis ===
 
Model Ph_index Ph_90err Epeak  Epeak_90err Norm     Nomr_90err chi2   dof
PL    1.291    0.470    -      -           3.67e-03 1.04e-03   47.540 57
CPL   0.161    2.158      82.2   -8.8      1.35e-02 1.99e-01   46.470 56
 
 
=== 1-s peak spectral analysis ===
 
Model Ph_index Ph_90err Epeak  Epeak_90err Norm     Nomr_90err chi2   dof
PL    1.298    0.525    -      -           2.77e-03 8.74e-04   43.950 57
CPL  -0.090    2.151      79.0    0.0      1.29e-02 2.88e-01   42.760 56
 
Model      : spectral model: simple power-law (PL) and cutoff power-law (CPL)
Ph_index   : photon index: E^-{Ph_index} (minus sign is not included in the index)
Ph_90err   : 90% error of the photon index
Epeak      : Epeak in keV
Epeak_90err: 90% error of Epeak
Norm       : normalization at 50 keV in PL model and at 1 keV in CPL model
Nomr_90err : 90% error of the normalization
chi2       : Chi-Squared
dof        : degree of freedom
 
=== T90/T50 calculation in the 50-300 keV band (BATSE band) using 64 ms lc ===
 
T90 in the 50-300 keV band: 0.000000 sec.
T50 in the 50-300 keV band: 0.000000 sec.
 
=== Table of the duration information ==
 
        Value   tstart    tstop
T100    0.704    0.296    1.000
T90     0.640    0.296    0.936
T50     0.448    0.424    0.872
Peak    1.000    0.148    1.148
  • Click here for the BAT GCN circular template

    Image

    Pre-slew 15-350 keV image (Event data; bkg subtracted)

    #   RAcent  DECcent POSerr  Theta    Phi     Peak Cts     SNR  Name
      323.4582 +41.9685 0.0339    5.4  179.8       0.0410     5.7  TRIG_00322590       
    ------------------------------------------
     
    Foreground time interval of the image:
      0.296   1.000 (delta_t =   0.704 [sec])
    Background time interval of the image:
    -239.384   0.296 (delta_t = 239.680 [sec])
    

    Lightcurves

    Notes:

    1 s binning

    From T0-310 s to T0+310 s
    From T100_start - 20 s to T100_end + 30 s
    Full time interval

    64 ms binning

    Full time interval
    From T100_start to T100_end
    From T0-5 sec to T0+5 sec

    16 ms binning

    From T100_start-5 s to T100_start+5 s
    Blue+Cyan dotted lines: Time interval of the scaled map
    From 0.000000 to 1.024000
    

    8 ms binning

    From T100_start-3 s to T100_start+3 s
    Blue+Cyan dotted lines: Time interval of the scaled map
    From 0.000000 to 1.024000
    

    2 ms binning

    From T100_start-1 s to T100_start+1 s
    Blue+Cyan dotted lines: Time interval of the scaled map
    From 0.000000 to 1.024000
    

    SN=5 or 10 sec. binning (whichever binning is satisfied first)

    SN=5 or 10 sec. binning (T < 200 sec)

    Flight mask-tagged light curves

    Caution: Mask-weight map is always using the same on-axis map

    Quad-rate summed light curves (from T0-300 to T0+1000)

    Spectra

    Notes:

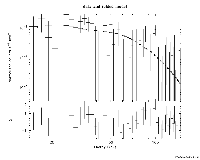
    Time averaged spectrum fit using the pre-slew DRM

    Power-law model
    Time interval is from    0.296 sec. to    1.000 sec.
     
    Spectral model in power-law:
    ------------------------------------------------------------
    Parameters  : value       lower 90%   higher 90%
    Photon index: 1.29123     ( -0.472792   0.467923 )
    Norm@50keV  : 3.67179E-03    ( -0.00104653   0.00104267 )
    ------------------------------------------------------------
    # Chi-Squared =          47.54 using 59 PHA bins.
    # Reduced chi-squared =         0.8341 for     57 degrees of freedom 
    # Null hypothesis probability =   8.096628e-01
     
    Photon flux (15-150 keV)    in 0.704 sec: 0.437353 ( -0.125132  0.125533 ) ph/cm2/s
    Energy fluence (15-150 keV)             : 2.5598e-08 ( -7.98653e-09  8.20906e-09 ) ergs/cm2
     
    
    Cutoff power-law model
    Time interval is from    0.296 sec. to    1.000 sec.
    Spectral model in the cutoff power-law:
    ------------------------------------------------------------
    Parameters  : value       lower 90%   higher 90%
    Photon index: 0.161375     ( -2.83101   1.48495 )
    Epeak [keV] : 82.2118      ( -64.5392 -82.2119 )
    Norm@50keV  : 1.35064E-02    ( -0.0135064   0.383921 )
    ------------------------------------------------------------
    # Chi-Squared =          46.47 using 59 PHA bins.
    # Reduced chi-squared =         0.8298 for     56 degrees of freedom 
    # Null hypothesis probability =   8.142027e-01
     
    Photon flux (15-150 keV)    in 0.704 sec: 0.420822 ( -0.127128  0.128352 ) ph/cm2/s
    Energy fluence (15-150 keV)             : 2.36931e-08 ( -8.46933e-09  8.82915e-09 ) ergs/cm2
     
    
    Band function
    Time interval is from    0.296 sec. to    1.000 sec.
     
    Spectral model in the Band function:
    ------------------------------------------------------------
    Parameters  : value       lower 90%   higher 90%
    alpha       : -0.160316   ( -0.931548   2.76163 )
    beta        : -10.00000    ( 3.04662e+11   3.04662e+11 )
    Epeak [keV] : 82.1564      ( -36.227 -82.1563 )
    Norm@50keV   : 1.35258E-02    ( -0.0135259   0.377909 )
    ------------------------------------------------------------
    # Chi-Squared =          46.47 using 59 PHA bins.
    # Reduced chi-squared =         0.8449 for     55 degrees of freedom 
    # Null hypothesis probability =   7.867733e-01
     
    Photon flux (15-150 keV)    in 0.704 sec: 0.420556 ( -0.126862  0.128627 ) ph/cm2/s
    Energy fluence (15-150 keV)             : 2.44334e-08 ( -8.80979e-09  8.1167e-09 ) ergs/cm2
     
    
    Single BB
     
    Spectral model blackbody:
    ------------------------------------------------------------
    Parameters  : value    Lower 90%  Upper 90%
    kT [keV]    : 16.4163  (-5.033  7.60365)
    R^2/D10^2   : 3.93209E-02  (-0.0392131   0.0967338)
    (R is the radius in km and D10 is the distance to the source in units of 10 kpc)
    ------------------------------------------------------------
    # Chi-Squared =          47.73 using 59 PHA bins.
    # Reduced chi-squared =         0.8374 for     57 degrees of freedom 
    # Null hypothesis probability =   8.042798e-01
     
    Energy  Fluence     90% Error
    [keV]   [erg/cm2]   [erg/cm2]
    15- 25  1.533e-09   9.719e-10
    25- 50  6.593e-09   3.861e-09
    50-150  1.254e-08   7.753e-09
    15-150  2.066e-08   1.272e-08
    
    Thermal bremsstrahlung (OTTB)
     
     
    Spectral model: thermal bremsstrahlung
    ------------------------------------------------------------
    Parameters  : value         Lower 90%    Upper 90%
    kT [keV]    : 199.362       (-199.936      -199.936)
    Norm        : 1.80913       (-0.513804     0.513808)
    ------------------------------------------------------------
    # Chi-Squared =          47.91 using 59 PHA bins.
    # Reduced chi-squared =         0.8404 for     57 degrees of freedom 
    # Null hypothesis probability =   7.991174e-01
     
    Energy  Fluence     90% Error
    [keV]   [erg/cm2]   [erg/cm2]
    15- 25  3.171e-09   1.829e-09
    25- 50  6.101e-09   3.569e-09
    50-150  1.338e-08   7.772e-09
    15-150  2.265e-08   1.343e-08
    
    Double BB
     
     
    Spectral model: bbodyrad<1> + bbodyrad<2>
    ------------------------------------------------------------
    Parameters  : value         Lower 90%    Upper 90%
    kT1 [keV]   : 8.74087        (-8.7793      -8.7793)
    R1^2/D10^2  : 0.171901        (-0.170422      -0.170422)
    kT2 [keV]   : 25.1450        (-25.7745      -25.7745)
    R2^2/D10^2  : 6.74362E-03    (-0.00599099   0.0766015)
    ------------------------------------------------------------
    # Chi-Squared =          46.01 using 59 PHA bins.
    # Reduced chi-squared =         0.8366 for     55 degrees of freedom 
    # Null hypothesis probability =   8.007244e-01
     
    Energy  Fluence     90% Error
    [keV]   [erg/cm2]   [erg/cm2]
    15- 25  2.292e-09   1.537e-09
    25- 50  6.554e-09   3.918e-09
    50-150  1.511e-08   9.469e-09
    15-150  2.396e-08   1.338e-08
    

    Peak spectrum fit

    Power-law model
    Time interval is from    0.148 sec. to    1.148 sec.
     
    Spectral model in power-law:
    ------------------------------------------------------------
    Parameters  : value       lower 90%   higher 90%
    Photon index: 1.29781     ( -0.524269   0.525716 )
    Norm@50keV  : 2.76880E-03    ( -0.000876275   0.000871979 )
    ------------------------------------------------------------
    # Chi-Squared =          43.95 using 59 PHA bins.
    # Reduced chi-squared =         0.7711 for     57 degrees of freedom 
    # Null hypothesis probability =   8.972779e-01
     
    Photon flux (15-150 keV)    in 1 sec: 0.330192 ( -0.104574  0.104946 ) ph/cm2/s
    Energy fluence (15-150 keV)             : 2.73756e-08 ( -9.46135e-09  9.75398e-09 ) ergs/cm2
     
    
    Cutoff power-law model
    Time interval is from    0.148 sec. to    1.148 sec.
    Spectral model in the cutoff power-law:
    ------------------------------------------------------------
    Parameters  : value       lower 90%   higher 90%
    Photon index: -8.97163E-02     ( -2.28477   2.01818 )
    Epeak [keV] : 79.0261      ( -79.035 -79.035 )
    Norm@50keV  : 1.29040E-02    ( -0.0129007   0.562641 )
    ------------------------------------------------------------
    # Chi-Squared =          42.76 using 59 PHA bins.
    # Reduced chi-squared =         0.7636 for     56 degrees of freedom 
    # Null hypothesis probability =   9.033901e-01
     
    Photon flux (15-150 keV)    in 1 sec: 0.420797 ( 0.128267  -0.420797 ) ph/cm2/s
    Energy fluence (15-150 keV)             : 3.3699e-08 ( 1.25043e-08  -3.3699e-08 ) ergs/cm2
     
    
    Band function
    Time interval is from    0.148 sec. to    1.148 sec.
     
    Spectral model in the Band function:
    ------------------------------------------------------------
    Parameters  : value       lower 90%   higher 90%
    alpha       : 9.16317E-02   ( 0.540982   2.83662 )
    beta        : -10.00000    ( 2.85033e+11   2.85033e+11 )
    Epeak [keV] : 78.9593      ( -30.5607 -78.9579 )
    Norm@50keV   : 1.29362E-02    ( -0.0129368   0.553026 )
    ------------------------------------------------------------
    # Chi-Squared =          42.76 using 59 PHA bins.
    # Reduced chi-squared =         0.7775 for     55 degrees of freedom 
    # Null hypothesis probability =   8.852351e-01
     
    Photon flux (15-150 keV)    in 1 sec: 0.420556 ( -0.126862  0.128627 ) ph/cm2/s
    Energy fluence (15-150 keV)             : 3.47065e-08 ( -1.25139e-08  1.15294e-08 ) ergs/cm2
     
    
    Single BB
     
    Spectral model blackbody:
    ------------------------------------------------------------
    Parameters  : value    Lower 90%  Upper 90%
    kT [keV]    : 17.3471  (-5.33347  8.08266)
    R^2/D10^2   : 2.50384E-02  (-0.0181702   0.0610995)
    (R is the radius in km and D10 is the distance to the source in units of 10 kpc)
    ------------------------------------------------------------
    # Chi-Squared =          43.37 using 59 PHA bins.
    # Reduced chi-squared =         0.7609 for     57 degrees of freedom 
    # Null hypothesis probability =   9.084891e-01
     
    Energy  Fluence     90% Error
    [keV]   [erg/cm2]   [erg/cm2]
    15- 25  1.526e-09   9.735e-10
    25- 50  6.860e-09   4.207e-09
    50-150  1.483e-08   1.003e-08
    15-150  2.321e-08   1.577e-08
    
    Thermal bremsstrahlung (OTTB)
     
     
    Spectral model: thermal bremsstrahlung
    ------------------------------------------------------------
    Parameters  : value         Lower 90%    Upper 90%
    kT [keV]    : 199.363       (-199.99      -199.99)
    Norm        : 1.36619       (-0.429439     0.429439)
    ------------------------------------------------------------
    # Chi-Squared =          44.19 using 59 PHA bins.
    # Reduced chi-squared =         0.7753 for     57 degrees of freedom 
    # Null hypothesis probability =   8.924357e-01
     
    Energy  Fluence     90% Error
    [keV]   [erg/cm2]   [erg/cm2]
    15- 25  3.402e-09   1.962e-09
    25- 50  6.544e-09   3.765e-09
    50-150  1.435e-08   8.555e-09
    15-150  2.430e-08   1.439e-08
    
    Double BB
    ------------------------------------------------------------
    Parameters  : value         Lower 90%    Upper 90%
    kT1 [keV]   : 1.29697        (-1.71697      24.364)
    R1^2/D10^2  : 5368.68        (      )
    kT2 [keV]   : 18.1248        (-5.5848      8.8941)
    R2^2/D10^2  : 2.11929E-02    (-0.0211848   0.0241927)
    ------------------------------------------------------------
    # Chi-Squared =          42.45 using 59 PHA bins.
    # Chi-Squared =          42.42 using 59 PHA bins.
    # Reduced chi-squared =         0.7718 for     55 degrees of freedom 
    # Reduced chi-squared =         0.7713 for     55 degrees of freedom 
    # Null hypothesis probability =   8.919631e-01
    # Null hypothesis probability =   8.926023e-01
     
    Energy  Fluence     90% Error
    [keV]   [erg/cm2]   [erg/cm2]
    15- 25  2.081e-09   9.300e-10
    25- 50  6.385e-09   3.957e-09
    50-150  1.559e-08   1.014e-08
    15-150  2.405e-08   1.421e-08
    

    Pre-slew spectrum (Pre-slew PHA with pre-slew DRM)

    Power-law model
     
    Spectral model in power-law:
    ------------------------------------------------------------
    Parameters  : value       lower 90%   higher 90%
    Photon index: 1.29123     ( -0.472792   0.467923 )
    Norm@50keV  : 3.67179E-03    ( -0.00104653   0.00104267 )
    ------------------------------------------------------------
    # Chi-Squared =          47.54 using 59 PHA bins.
    # Reduced chi-squared =         0.8341 for     57 degrees of freedom 
    # Null hypothesis probability =   8.096628e-01
     
    Photon flux (15-150 keV)    in 0.704 sec: 0.437353 ( -0.125132  0.125533 ) ph/cm2/s
    Energy fluence (15-150 keV)             : 2.5598e-08 ( -7.98653e-09  8.20906e-09 ) ergs/cm2
     
    
    Cutoff power-law model
    Spectral model in the cutoff power-law:
    ------------------------------------------------------------
    Parameters  : value       lower 90%   higher 90%
    Photon index: 0.161375     ( -2.83101   1.48495 )
    Epeak [keV] : 82.2118      ( -64.5392 -82.2119 )
    Norm@50keV  : 1.35064E-02    ( -0.0135064   0.383921 )
    ------------------------------------------------------------
    # Chi-Squared =          46.47 using 59 PHA bins.
    # Reduced chi-squared =         0.8298 for     56 degrees of freedom 
    # Null hypothesis probability =   8.142027e-01
     
    Photon flux (15-150 keV)    in 0.704 sec: 0.420822 ( -0.127128  0.128352 ) ph/cm2/s
    Energy fluence (15-150 keV)             : 2.36931e-08 ( -8.46933e-09  8.82915e-09 ) ergs/cm2
     
    
    Band function
     
    Spectral model in the Band function:
    ------------------------------------------------------------
    Parameters  : value       lower 90%   higher 90%
    alpha       : -0.160316   ( -0.931548   2.76163 )
    beta        : -10.00000    ( 3.04662e+11   3.04662e+11 )
    Epeak [keV] : 82.1564      ( -36.227 -82.1563 )
    Norm@50keV   : 1.35258E-02    ( -0.0135259   0.377909 )
    ------------------------------------------------------------
    # Chi-Squared =          46.47 using 59 PHA bins.
    # Reduced chi-squared =         0.8449 for     55 degrees of freedom 
    # Null hypothesis probability =   7.867733e-01
     
    Photon flux (15-150 keV)    in 0.704 sec: 0.420556 ( -0.126862  0.128627 ) ph/cm2/s
    Energy fluence (15-150 keV)             : 2.44334e-08 ( -8.80979e-09  8.1167e-09 ) ergs/cm2
     
    

    S(25-50 keV) vs. S(50-100 keV) plot

    S(25-50 keV)  = 5.66963e-09
    S(50-100 keV) = 9.26612e-09
    

    T90 vs. Hardness ratio plot

    T90                                   = 0.640000015497208 sec.
    Hardness ratio (energy fluence ratio) = 1.63434
    

    Color vs. Color plot

    Count Ratio  (25-50 keV) / (15-25 keV) = 4.97987
    Count Ratio (50-100 keV) / (15-25 keV) = 3.45542
    

    Mask shadow pattern

    IMX = 0, IMY = 0
    

    TIME vs. PHA plot around the trigger time

    Blue+Cyan dotted lines: Time interval of the scaled map
    From 0.000000 to 1.024000
    

    TIME vs. DetID plot around the trigger time

    Blue+Cyan dotted lines: Time interval of the scaled map
    From 0.000000 to 1.024000
    

    100 us light curve (15-350 keV)

    Blue+Cyan dotted lines: Time interval of the scaled map
    From 0.000000 to 1.024000
    

    Spacecraft aspect plot

    Bright source in the pre-burst/pre-slew/post-slew images

    Pre-burst image of 15-350 keV band

    Time interval of the image:
    -239.384000 0.296000
     
    # RAcent  DECcent POSerr Theta    Phi  PeakCts   SNR AngSep     Name
    #  [deg]    [deg]    ['] [deg]  [deg]                   [']
    254.5151  35.4610   14.1  57.7 -158.6   0.8839   0.8    7.6	Her X-1                       
    288.7916  10.9289    1.9  48.1  152.6   3.6779   6.2    1.1	GRS 1915+105                  
    299.5878  35.2060    0.2  25.1  174.8   8.6233  47.0    0.3	Cyg X-1                       
    308.1076  40.9655    1.1  16.9 -176.1   1.8253  11.0    0.8	Cyg X-3                       
    326.2885  38.4773    6.3   5.1  133.7  -0.3279  -1.8   10.8	Cyg X-2                       
    345.7343  18.7332    2.2  26.8   57.7   1.2269   5.2 ------	UNKNOWN                       
     14.5015  73.3980    3.3  37.1  -70.2   1.4320   3.5 ------	UNKNOWN                       
     39.0942  71.6674    3.0  43.6  -64.2   3.3058   3.9 ------	UNKNOWN                       
    

    Pre-slew background subtracted image of 15-350 keV band

    Time interval of the image:
    0.296000 1.000000
     
    # RAcent  DECcent POSerr Theta    Phi  PeakCts   SNR AngSep     Name
    #  [deg]    [deg]    ['] [deg]  [deg]                   [']
    254.3529  35.3777    7.9  57.9 -158.6  -0.0554  -1.5    5.5	Her X-1                       
    288.8138  10.9228    6.4  48.1  152.5  -0.0457  -1.8    1.6	GRS 1915+105                  
    299.5858  35.1395    4.5  25.2  174.6   0.0199   2.6    3.7	Cyg X-1                       
    308.3522  40.8554    0.0  16.7 -176.6  -0.0191  -2.6   12.4	Cyg X-3                       
    325.9943  38.1630    0.0   5.5  133.4  -0.0048  -0.7   12.7	Cyg X-2                       
     30.6095  17.3862    2.1  56.3    7.7   0.2428   5.5 ------	UNKNOWN                       
    274.4024  22.1940    2.9  50.6  175.8   0.0795   4.0 ------	UNKNOWN                       
    323.4583  41.9684    2.0   5.4  179.8   0.0410   5.7 ------	UNKNOWN                       
     26.3211  62.5281    2.6  37.8  -50.9   0.0570   4.4 ------	UNKNOWN                       
    

    Post-slew image of 15-350 keV band

    Time interval of the image:
    52.116620 262.576000
    263.616000 422.646000
     
    # RAcent  DECcent POSerr Theta    Phi  PeakCts   SNR AngSep     Name
    #  [deg]    [deg]    ['] [deg]  [deg]                   [']
    254.3787  35.4579  109.7  52.8 -145.5   0.3743   0.1    7.9	Her X-1                       
    288.7918  10.9871    3.0  43.3  161.7   7.7242   3.9    2.5	GRS 1915+105                  
    299.5830  35.1988    0.8  19.8 -175.0  11.4124  14.4    0.4	Cyg X-1                       
    308.1760  40.9760    3.0  11.5 -162.8   2.7687   3.8    3.3	Cyg X-3                       
    326.2017  38.4104    8.6   4.2   76.3   1.0454   1.3    5.5	Cyg X-2                       
    263.6862  32.2527    3.4  47.7 -154.1   5.9591   3.4 ------	UNKNOWN                       
    
    Plot creation:
    Wed Feb 17 12:29:07 EST 2010