batgrbproduct Analysis for Trigger=330353

Analysis Summary

Notes:

======================================================================
                  BAT GRB EVENT DATA PROCESSING REPORT
    Process Script Ver: batgrbproduct v2.41
    Process Start Time (local time): Fri Oct  3 19:02:29 EDT 2008
             Host Name: gcn5
   Current Working Dir: /local/data/raid2/prebascript/trigger330353/GCN5_download_cron
======================================================================

  Trigger: 00330353      Segment: 000

  BAT Trigger Time: 244718892.024   [s; MET]
      Trigger Stop: 244718892.088   [s; MET]
               UTC: 2008-10-03T09:28:08.878460    [includes UTCF correction] 
       Where From?: (*SHORT BURST*) TDRSS scaled map message

  BAT 
    RA: 237.711315745411   Dec: -54.3193323736566  [deg; J2000]

     Catalogged Source?: NO
     Point Source?:      YES
     GRB Indicated?:     YES    [ by BAT flight software ]
     Image S/N Ratio:    12.49
     Image Trigger?:     NO
     Rate S/N Ratio:     24.2487113059643  [ if not an image trigger ]
     Image S/N Ratio:    12.49

  Flight Position:   [ source = BAT ]
    RA: 237.711315745411   Dec: -54.3193323736566  [deg; J2000]

  Ground Position:   [ source = BAT pre-slew burst ]
    RA: 237.856536437009   Dec: -54.4460064770027  [deg; J2000]  
        { 15h 51m 25.6s , -54d 26' 45.6" }
         +/- 8.35798274186355 [arcmin] (estimated 90% radius based on SNR)
         +/- 7.73295957271479 [arcmin] (formal 1-sigma fit error)
    SNR: 1.46497618796714
 
  Angular difference between Flight and Ground position is 9.138678 arcmin
 
  Partial Coding Fraction: 0.953125    [ including projection effects ]

  Duration
     T90: 615.06400001049 +/- 264.583602352755
        Measured from: -2.46399989724159
                   to: 612.600000113249     [s; relative to TRIGTIME]
     T50: 615.06400001049 +/- 368.347903742417
        Measured from: -2.46399989724159
                   to: 612.600000113249     [s; relative to TRIGTIME]



  Fluence
     Peak Flux  (peak 1 second)
        Measured from: 523.636000007391     
                   to: 524.636000007391     [s; relative to TRIGTIME]
     Total Fluence        
        Measured from: -2.46399998664856     
                   to: 612.600000023842     [s; relative to TRIGTIME]
     
             Band 1     Band 2     Band 3     Band 4
              15-25      25-50     50-100    100-350     keV
 Total     0.473923   0.174253   0.462314   0.112436
           0.132465   0.124164   0.115849   0.120782 [error]
 Peak      0.086870   0.154902   0.054773  -0.006048
           0.006336   0.006617   0.005218   0.004788 [error]

     [ fluence units of on-axis counts / fully illuminated detector ] 

======================================================================
 
=== Fluence/Peak Flux Summary ===
 
              Model    Band1    Band2    Band3    Band4    Band5    Total      
                       15-25    25-50   50-100  100-350   15-150   15-350   keV
Fluence   Power-law 1.10e-07 1.85e-07 2.35e-07 5.99e-07 6.96e-07 1.13e-06   erg/cm2
              Error 5.95e-08 5.71e-08 1.27e-07 8.62e-07 2.84e-07 8.92e-07   erg/cm2
Peak flux Power-law 1.04e+00 8.42e-01 4.59e-01 3.66e-01 2.51e+00 2.67e+00   ph/cm2/s
              Error 0.00e+00 0.00e+00 0.00e+00 0.00e+00 0.00e+00 0.00e+00   ph/cm2/s
 
Fluence   Cutoff-PL 1.10e-07 1.85e-07 2.35e-07 5.93e-07 6.95e-07 1.12e-06   erg/cm2
              Error 5.95e-08 5.72e-08 1.27e-07 8.55e-07 2.84e-07 8.86e-07   erg/cm2
Peak flux Cutoff-PL 6.89e-01 1.18e+00 4.41e-01 1.78e-02 2.32e+00 2.32e+00   ph/cm2/s
              Error 9.91e-02 8.00e-02 5.72e-02 1.19e-02 1.46e-01 1.46e-01   ph/cm2/s
 
Fluence        Band 1.18e-07 1.79e-07 2.33e-07 5.81e-07 6.91e-07 9.92e-07   erg/cm2
              Error 0.00e+00 0.00e+00 0.00e+00 0.00e+00 0.00e+00 0.00e+00   erg/cm2
Peak flux      Band 6.49e-01 1.18e+00 4.31e-01 1.41e-02 2.27e+00 2.27e+00   ph/cm2/s
              Error 0.00e+00 0.00e+00 0.00e+00 0.00e+00 0.00e+00 0.00e+00   ph/cm2/s
 
=== Time-averaged spectral analysis ===
 
Model Ph_index Ph_90err Epeak  Epeak_90err Norm     Nomr_90err chi2   dof
PL    1.652    0.752    -      -           1.22e-04 4.64e-05   69.510 57
CPL   2.616    0.000     201.2    0.0      4.18e-05 0.00e+00   68.480 56
 
 
=== 1-s peak spectral analysis ===
 
Model Ph_index Ph_90err Epeak  Epeak_90err Norm     Nomr_90err chi2   dof
PL    1.815    0.000    -      -           1.77e-02 0.00e+00  168.290 57
CPL  -1.732    0.796      43.8    2.3      1.89e+00 2.51e+00   55.310 56
 
Model      : spectral model: simple power-law (PL) and cutoff power-law (CPL)
Ph_index   : photon index: E^-{Ph_index} (minus sign is not included in the index)
Ph_90err   : 90% error of the photon index
Epeak      : Epeak in keV
Epeak_90err: 90% error of Epeak
Norm       : normalization at 50 keV in PL model and at 1 keV in CPL model
Nomr_90err : 90% error of the normalization
chi2       : Chi-Squared
dof        : degree of freedom
 
=== T90/T50 calculation in the 50-300 keV band (BATSE band) using 64 ms lc ===
 
T90 in the 50-300 keV band: 310.080000 sec.
T50 in the 50-300 keV band: 0.000000 sec.
 
=== Table of the duration information ==
 
        Value   tstart    tstop
T100  615.064   -2.464  612.600
T90   615.064   -2.464  612.600
T50   615.064   -2.464  612.600
Peak    1.000  523.636  524.636
  • Click here for the BAT GCN circular template

    Image

    Pre-slew 15-350 keV image (Event data; bkg subtracted)

    #   RAcent  DECcent POSerr  Theta    Phi     Peak Cts     SNR  Name
      237.8565 -54.4460 0.1300   19.3 -146.2       0.0873     1.5  TRIG_00330353       
    ------------------------------------------
     
    Foreground time interval of the image:
     -2.464  12.777 (delta_t =  15.241 [sec])
    Background time interval of the image:
    -14.723  -2.464 (delta_t =  12.259 [sec])
    

    Lightcurves

    Notes:

    1 s binning

    From T0-310 s to T0+310 s
    From T100_start - 20 s to T100_end + 30 s
    Full time interval

    64 ms binning

    Full time interval
    From T100_start to T100_end
    From T0-5 sec to T0+5 sec

    16 ms binning

    From T100_start-5 s to T100_start+5 s
    Blue+Cyan dotted lines: Time interval of the scaled map
    From 0.000000 to 0.064000
    

    8 ms binning

    From T100_start-3 s to T100_start+3 s
    Blue+Cyan dotted lines: Time interval of the scaled map
    From 0.000000 to 0.064000
    

    2 ms binning

    From T100_start-1 s to T100_start+1 s
    Blue+Cyan dotted lines: Time interval of the scaled map
    From 0.000000 to 0.064000
    

    SN=5 or 10 sec. binning (whichever binning is satisfied first)

    SN=5 or 10 sec. binning (T < 200 sec)

    Spectra

    Notes:

    Time averaged spectrum fit using the pre-slew DRM

    Power-law model
    Multiple GTIs in the spectrum
    tstart tstop
    -2.464000 147.086000
    147.976000 386.466000
    387.976000 612.600000
     
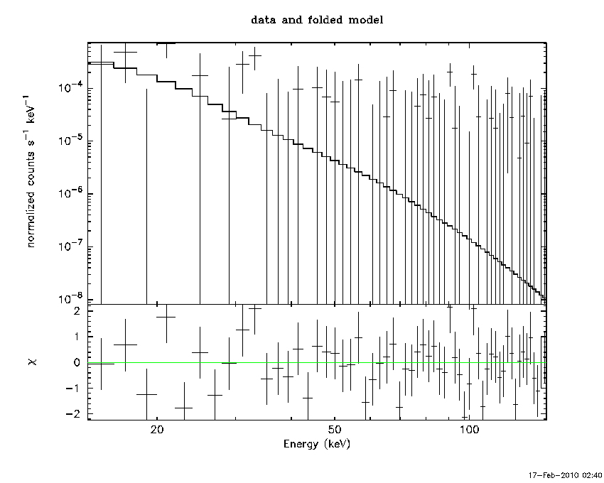
    Spectral model in power-law:
    ------------------------------------------------------------
    Parameters  : value       lower 90%   higher 90%
    Photon index: 1.65181     ( -0.709717   0.79439 )
    Norm@50keV  : 1.22079E-04    ( -4.97536e-05   4.29649e-05 )
    ------------------------------------------------------------
    # Chi-Squared =          69.51 using 59 PHA bins.
    # Reduced chi-squared =          1.220 for     57 degrees of freedom 
    # Null hypothesis probability =   1.236257e-01
     
    Photon flux (15-150 keV)    in 612.7 sec: 1.59560E-02 ( -0.00491208  0.00491505 ) ph/cm2/s
    Energy fluence (15-150 keV)             : 6.95623e-07 ( -2.73719e-07  2.94834e-07 ) ergs/cm2
     
    
    Cutoff power-law model
    Multiple GTIs in the spectrum
    tstart tstop
    -2.464000 147.086000
    147.976000 386.466000
    387.976000 612.600000
    Spectral model in the cutoff power-law:
    ------------------------------------------------------------
    Parameters  : value       lower 90%   higher 90%
    Photon index: 2.61580     (     )
    Epeak [keV] : 201.208      (   )
    Norm@50keV  : 4.17699E-05    (     )
    ------------------------------------------------------------
    # Chi-Squared =          68.48 using 59 PHA bins.
    # Reduced chi-squared =          1.223 for     56 degrees of freedom 
    # Null hypothesis probability =   1.223455e-01
     
    Photon flux (15-150 keV)    in 612.7 sec: 1.59473E-02 ( -0.0049103  0.0049135 ) ph/cm2/s
    Energy fluence (15-150 keV)             : 6.95365e-07 ( -2.73724e-07  2.94935e-07 ) ergs/cm2
     
    
    Band function
    Multiple GTIs in the spectrum
    tstart tstop
    -2.464000 147.086000
    147.976000 386.466000
    387.976000 612.600000
     
    Spectral model in the Band function:
    ------------------------------------------------------------
    Parameters  : value       lower 90%   higher 90%
    alpha       : -1.25597   ( 1.2617   1.2617 )
    beta        : -1.63429    ( 1.64229   0.700141 )
    Epeak [keV] : 30.4819      ( -28.605 -28.605 )
    Norm@50keV   : 2.80747E-04    ( -0.000283184   1.60741 )
    ------------------------------------------------------------
    # Chi-Squared =          69.52 using 59 PHA bins.
    # Reduced chi-squared =          1.264 for     55 degrees of freedom 
    # Null hypothesis probability =   9.004391e-02
     
    Photon flux (15-150 keV)    in 612.7 sec: 1.589168E-02 ( -0.00488435  0.00487876 ) ph/cm2/s
    Energy fluence (15-150 keV)             : 6.90721e-07 ( -2.20719e-07  2.12693e-07 ) ergs/cm2
     
    

    Peak spectrum fit

    Power-law model
    Time interval is from  523.636 sec. to  524.636 sec.
     
    Spectral model in power-law:
    ------------------------------------------------------------
    Parameters  : value       lower 90%   higher 90%
    Photon index: 1.81504     (     )
    Norm@50keV  : 1.76737E-02    (     )
    ------------------------------------------------------------
    # Chi-Squared =         168.29 using 59 PHA bins.
    # Reduced chi-squared =         2.9524 for     57 degrees of freedom 
    # Null hypothesis probability =   6.374573e-13
     
    Photon flux (15-150 keV)    in 1 sec: 2.50760 (    ) ph/cm2/s
    Energy fluence (15-150 keV)             : 1.62283e-07 ( 0  0 ) ergs/cm2
     
    
    Cutoff power-law model
    Time interval is from  523.636 sec. to  524.636 sec.
    Spectral model in the cutoff power-law:
    ------------------------------------------------------------
    Parameters  : value       lower 90%   higher 90%
    Photon index: -1.73208     ( -0.853474   0.738465 )
    Epeak [keV] : 43.7872      ( -2.15117 2.4213 )
    Norm@50keV  : 1.88543    ( -1.16509   3.85352 )
    ------------------------------------------------------------
    # Chi-Squared =          55.31 using 59 PHA bins.
    # Reduced chi-squared =         0.9876 for     56 degrees of freedom 
    # Null hypothesis probability =   5.011096e-01
     
    Photon flux (15-150 keV)    in 1 sec: 2.32305 ( -0.1461  0.1463 ) ph/cm2/s
    Energy fluence (15-150 keV)             : 1.37648e-07 ( -9.523e-09  9.897e-09 ) ergs/cm2
     
    
    Band function
    Time interval is from  523.636 sec. to  524.636 sec.
     
    Spectral model in the Band function:
    ------------------------------------------------------------
    Parameters  : value       lower 90%   higher 90%
    alpha       : 1.74100   ( -0.615055   0.97589 )
    beta        : -9.99952    ( 6678.11   6688.11 )
    Epeak [keV] : 43.7078      ( -2.07973 2.49199 )
    Norm@50keV   : 1.91722    ( -1.19541   3.80281 )
    ------------------------------------------------------------
    # Chi-Squared =          55.31 using 59 PHA bins.
    # Reduced chi-squared =          1.006 for     55 degrees of freedom 
    # Null hypothesis probability =   4.628416e-01
     
    Photon flux (15-150 keV)    in 1 sec: 2.26725 ( -0.06987  0.13474 ) ph/cm2/s
    Energy fluence (15-150 keV)             : 1.35457e-07 ( -9.415e-09  8.147e-09 ) ergs/cm2
     
    

    Pre-slew spectrum (Pre-slew PHA with pre-slew DRM)

    Power-law model
     
    Spectral model in power-law:
    ------------------------------------------------------------
    Parameters  : value       lower 90%   higher 90%
    Photon index: 4.17364     ( -4.17727   -4.17727 )
    Norm@50keV  : 3.07916E-05    ( -3.05668e-05   0.000292517 )
    ------------------------------------------------------------
    # Chi-Squared =          53.44 using 59 PHA bins.
    # Reduced chi-squared =         0.9376 for     57 degrees of freedom 
    # Null hypothesis probability =   6.093299e-01
     
    Photon flux (15-150 keV)    in 15.24 sec: 2.16198E-02 ( -0.0216198  0.0320491 ) ph/cm2/s
    Energy fluence (15-150 keV)             : 1.12468e-08 ( -1.12468e-08  3.40285e-08 ) ergs/cm2
     
    
    Cutoff power-law model
    Spectral model in the cutoff power-law:
    ------------------------------------------------------------
    Parameters  : value       lower 90%   higher 90%
    Photon index: 1.90756     (     )
    Epeak [keV] : 0.950965      (   )
    Norm@50keV  : 1.87689E-03    (     )
    ------------------------------------------------------------
    # Chi-Squared =          53.51 using 59 PHA bins.
    # Reduced chi-squared =         0.9555 for     56 degrees of freedom 
    # Null hypothesis probability =   5.697737e-01
     
    Photon flux (15-150 keV)    in 15.24 sec: 2.16052E-02 ( -0.0216052  0.0320426 ) ph/cm2/s
    Energy fluence (15-150 keV)             : 1.12448e-08 ( -1.12448e-08  3.40236e-08 ) ergs/cm2
     
    
    Band function
     
    Spectral model in the Band function:
    ------------------------------------------------------------
    Parameters  : value       lower 90%   higher 90%
    alpha       : -7.97910   ( 5.05184   5.05184 )
    beta        : -4.93270    ( 4.72754   4.72754 )
    Epeak [keV] : 18.6390      ( -18.639 -18.639 )
    Norm@50keV   : 1.91447E-03    ( -0.00275044   0.0411852 )
    ------------------------------------------------------------
    # Chi-Squared =          53.46 using 59 PHA bins.
    # Reduced chi-squared =         0.9720 for     55 degrees of freedom 
    # Null hypothesis probability =   5.336842e-01
     
    Photon flux (15-150 keV)    in 15.24 sec: 2.151528E-02 ( -0.0215153  0.0290744 ) ph/cm2/s
    Energy fluence (15-150 keV)             : 1.1182e-08 ( -1.1182e-08  3.40349e-08 ) ergs/cm2
     
    

    S(25-50 keV) vs. S(50-100 keV) plot

    S(25-50 keV)  = 1.84554e-07
    S(50-100 keV) = 2.34838e-07
    

    T90 vs. Hardness ratio plot

    T90                                   = 615.06400001049 sec.
    Hardness ratio (energy fluence ratio) = 1.27246
    

    Color vs. Color plot

    Count Ratio  (25-50 keV) / (15-25 keV) = 0.367682
    Count Ratio (50-100 keV) / (15-25 keV) = 0.975504
    

    Mask shadow pattern

    IMX = 0, IMY = 0
    

    TIME vs. PHA plot around the trigger time

    Blue+Cyan dotted lines: Time interval of the scaled map
    From 0.000000 to 0.064000
    

    TIME vs. DetID plot around the trigger time

    Blue+Cyan dotted lines: Time interval of the scaled map
    From 0.000000 to 0.064000
    

    100 us light curve (15-350 keV)

    Blue+Cyan dotted lines: Time interval of the scaled map
    From 0.000000 to 0.064000
    

    Spacecraft aspect plot

    Bright source in the pre-burst/pre-slew/post-slew images

    Pre-burst image of 15-350 keV band

    Time interval of the image:
    -14.723400 -2.464000
     
    # RAcent  DECcent POSerr Theta    Phi  PeakCts   SNR AngSep     Name
    #  [deg]    [deg]    ['] [deg]  [deg]                   [']
    170.2368 -60.6501    5.1  54.4 -144.8  -0.4855  -2.3    2.8	Cen X-3                       
    186.5734 -62.6523    6.8  46.4 -145.1  -0.1457  -1.7    7.4	GX 301-2                      
    244.9125 -15.6942    1.0  26.7  -28.9   0.4561  11.3    5.0	Sco X-1                       
    255.9748 -37.6936    5.0   2.6  -23.1   0.0832   2.3    9.0	4U 1700-377                   
    256.4929 -36.4988    5.3   3.7  -10.4   0.0795   2.2    5.3	GX 349+2                      
    263.0203 -24.7988    4.5  16.1   17.7   0.0933   2.6    3.3	GX 1+4                        
    264.6369 -44.4790    2.5   7.0  128.8   0.1636   4.6    4.9	4U 1735-44                    
    268.3767  -1.4549    3.8  40.0   15.8   0.1845   3.0    0.5	SW J1753.5-0127               
    270.3886 -25.1539    7.4  18.6   38.6  -0.0621  -1.6    7.2	GX 5-1                        
    270.2534 -25.8935   11.3  17.9   39.6   0.0412   1.0    9.4	GRS 1758-258                  
    273.9330 -14.1841    7.8  29.8   32.4  -0.0773  -1.5    9.8	GX 17+2                       
    275.9412 -30.2325   66.6  18.2   61.1  -0.0069  -0.2    8.1	H1820-303                     
    285.1797 -24.8434    7.1  28.0   63.6  -0.0866  -1.6    9.1	HT1900.1-2455                 
    330.3379 -62.7700    3.1  47.6  141.8   0.5990   3.7 ------	UNKNOWN                       
    274.0263  11.6666    2.1  54.1   18.7   1.1946   5.5 ------	UNKNOWN                       
    266.6137 -32.3053    2.3  10.9   45.3   0.1813   4.9 ------	UNKNOWN                       
    150.5113 -81.5191    2.3  52.8 -171.6   0.5028   5.0 ------	UNKNOWN                       
    141.8306 -74.9042    2.2  57.5 -165.6   0.9001   5.2 ------	UNKNOWN                       
    

    Pre-slew background subtracted image of 15-350 keV band

    Time interval of the image:
    -2.464000 12.776630
     
    # RAcent  DECcent POSerr Theta    Phi  PeakCts   SNR AngSep     Name
    #  [deg]    [deg]    ['] [deg]  [deg]                   [']
    170.4111 -60.6272    6.7  54.4 -144.8   0.6038   1.7    2.8	Cen X-3                       
    186.6429 -62.6187   10.8  46.4 -145.1   0.1543   1.1    9.1	GX 301-2                      
    244.8757 -15.7122    4.1  26.6  -29.2  -0.1927  -2.9    7.4	Sco X-1                       
    256.0198 -37.8749    6.2   2.4  -24.8   0.1075   1.8    2.4	4U 1700-377                   
    256.2553 -36.3104    6.1   3.9  -13.4   0.1114   1.9   11.0	GX 349+2                      
    263.0219 -24.7033    5.3  16.2   17.4  -0.1307  -2.2    2.6	GX 1+4                        
    264.6965 -44.4170    4.0   7.0  128.5  -0.1653  -2.9    2.8	4U 1735-44                    
    268.3027  -1.5216   70.8  39.9   15.6   0.0161   0.2    5.7	SW J1753.5-0127               
    270.2740 -25.0086    7.1  18.6   38.0   0.1055   1.6    4.3	GX 5-1                        
    270.4149 -25.8834    6.5  18.0   39.9  -0.1155  -1.8   10.4	GRS 1758-258                  
    273.9569 -14.1831   11.5  29.8   32.4   0.0841   1.0    9.3	GX 17+2                       
    275.7624 -30.4250    4.3  17.9   61.2   0.1737   2.7    9.1	H1820-303                     
    285.1927 -24.8837    3.5  27.9   63.6   0.2781   3.3    8.8	HT1900.1-2455                 
    

    Post-slew image of 15-350 keV band

    Time interval of the image:
    61.176600 147.086000
    147.976000 386.466000
    387.976000 828.936000
    829.976000 962.990900
     
    # RAcent  DECcent POSerr Theta    Phi  PeakCts   SNR AngSep     Name
    #  [deg]    [deg]    ['] [deg]  [deg]                   [']
    170.3161 -60.6230  595.5  35.2 -161.9  -0.0137  -0.0    0.0	Cen X-3                       
    186.4125 -62.7481    5.2  27.3 -162.4   1.1980   2.2    6.8	GX 301-2                      
    244.9851 -15.6453    0.3  39.1  -22.6  33.1600  43.5    0.4	Sco X-1                       
    256.0115 -37.8593    1.3  20.6   10.9   4.2549   8.7    1.5	4U 1700-377                   
    256.4468 -36.4931    3.0  22.0    9.8   2.0229   3.8    4.2	GX 349+2                      
    263.0808 -24.7699    5.1  35.0    8.9   1.5051   2.2    4.2	GX 1+4                        
    264.7081 -44.5951   13.9  19.9   38.1   0.4564   0.8    8.8	4U 1735-44                    
    270.3934 -25.1269    6.5  37.8   19.0   1.3843   1.8    6.6	GX 5-1                        
    270.3658 -25.7731    4.9  37.3   19.5   1.7976   2.3    3.9	GRS 1758-258                  
    274.0353 -14.0298    6.1  49.2   15.6   2.6913   1.9    1.8	GX 17+2                       
    276.0059 -30.4125    4.0  36.3   30.8   2.3477   2.9    5.0	H1820-303                     
    285.0191 -24.9493    5.6  45.4   35.4   3.2664   2.1    2.0	HT1900.1-2455                 
    266.5711 -32.2294    1.3  30.1   20.8   5.4212   8.7 ------	UNKNOWN                       
    263.0181 -33.7861    1.9  27.1   17.4   3.5829   6.1 ------	UNKNOWN                       
    
    Plot creation:
    Wed Feb 17 02:44:10 EST 2010