batgrbproduct Analysis for Trigger=333320

Analysis Summary

Notes:

======================================================================
                  BAT GRB EVENT DATA PROCESSING REPORT
    Process Script Ver: batgrbproduct v2.46
    Process Start Time (local time): Sun Jan 19 21:05:27 EST 2014
             Host Name: batevent1
   Current Working Dir: /local/data/batevent/batevent_reproc/trigger333320
======================================================================

  Trigger: 00333320      Segment: 000

  BAT Trigger Time: 247232795.2   [s; MET]
      Trigger Stop: 247232795.456   [s; MET]
               UTC: 2008-11-01T11:46:31.979160    [includes UTCF correction] 
       Where From?: TDRSS position message

  BAT 
    RA: 95.8265748344563   Dec: -0.0822079532699427  [deg; J2000]

     Catalogged Source?: YES
     Point Source?:      YES
     GRB Indicated?:     NO    [ by BAT flight software ]
     Image S/N Ratio:    11.53
     Image Trigger?:     NO
     Rate S/N Ratio:     28.1780056072107  [ if not an image trigger ]
     Image S/N Ratio:    11.53

  Flight Position:   [ source = BAT ]
    RA: 95.8265748344563   Dec: -0.0822079532699427  [deg; J2000]

  Ground Position:   [ source = BAT pre-slew burst ]
    RA: 95.8345010494422   Dec: -0.104849436558215  [deg; J2000]  
        { 06h 23m 20.3s , -00d 06' 17.5" }
         +/- 1.7319386987136 [arcmin] (estimated 90% radius based on SNR)
         +/- 0.69879226567323 [arcmin] (formal 1-sigma fit error)
    SNR: 13.8789829567745
 
  Angular difference between Flight and Ground position is 1.439327 arcmin
 
  Partial Coding Fraction: 0.5078125    [ including projection effects ]

  Duration
     T90: 0.180000007152557 +/- 0.042520585314364
        Measured from: 0.0160000026226044
                   to: 0.196000009775162     [s; relative to TRIGTIME]
     T50: 0.0879999995231628 +/- 0.0200000166893085
        Measured from: 0.0720000267028809
                   to: 0.160000026226044     [s; relative to TRIGTIME]



  Fluence
     Peak Flux  (peak 1 second)
        Measured from: -0.387999981641769     
                   to: 0.612000018358231     [s; relative to TRIGTIME]
     Total Fluence        
        Measured from: 0     
                   to: 0.219999998807907     [s; relative to TRIGTIME]
     
             Band 1     Band 2     Band 3     Band 4
              15-25      25-50     50-100    100-350     keV
 Total     0.018346   0.038698   0.041203   0.010372
           0.003746   0.004787   0.004665   0.003443 [error]
 Peak      0.021107   0.047949   0.050620   0.010743
           0.006979   0.007627   0.006903   0.005900 [error]

     [ fluence units of on-axis counts / fully illuminated detector ] 

======================================================================
 
=== Fluence/Peak Flux Summary ===
 
              Model    Band1    Band2    Band3    Band4    Band5    Total      
                       15-25    25-50   50-100  100-350   15-150   15-350   keV
Fluence   Power-law 5.82e-09 1.39e-08 2.65e-08 1.23e-07 7.18e-08 1.70e-07   erg/cm2
              Error 1.34e-09 2.06e-09 4.04e-09 3.91e-08 1.06e-08 4.20e-08   erg/cm2
Peak flux Power-law 2.53e-01 3.15e-01 2.86e-01 4.50e-01 1.01e+00 1.30e+00   ph/cm2/s
              Error 7.85e-02 6.19e-02 5.42e-02 1.74e-01 1.74e-01 2.35e-01   ph/cm2/s
 
Fluence   Cutoff-PL 4.54e-09 1.60e-08 3.03e-08 2.97e-08 6.81e-08 8.05e-08   erg/cm2
              Error 1.60e-09 2.68e-09 5.16e-09 3.09e-08 1.11e-08 3.16e-08   erg/cm2
Peak flux Cutoff-PL 1.68e-01 3.45e-01 3.34e-01 1.30e-01 9.44e-01 9.78e-01   ph/cm2/s
              Error 9.57e-02 7.68e-02 7.02e-02 -------- 1.82e-01 2.26e-01   ph/cm2/s
 
Fluence        Band -------- -------- -------- -------- -------- --------   erg/cm2
              Error -------- -------- -------- -------- -------- --------   erg/cm2
Peak flux      Band 1.83e-01 3.39e-01 3.30e-01 1.67e-01 9.67e-01 1.03e+00   ph/cm2/s
              Error -------- -------- -------- -------- -------- --------   ph/cm2/s
 
=== Time-averaged spectral analysis ===
 
Model Ph_index Ph_90err Epeak  Epeak_90err Norm     Nomr_90err chi2   dof
PL    1.070    0.202    -      -           3.09e-02 4.12e-03   66.830 57
CPL  -0.254    1.063      91.2   54.7      1.34e-01 2.05e-01   60.600 56
 
 
=== 1-s peak spectral analysis ===
 
Model Ph_index Ph_90err Epeak  Epeak_90err Norm     Nomr_90err chi2   dof
PL    1.142    0.273    -      -           8.65e-03 1.46e-03   69.350 57
CPL  -0.535    1.627      82.8   57.6      5.10e-02 1.66e-01   64.250 56
 
Model      : spectral model: simple power-law (PL) and cutoff power-law (CPL)
Ph_index   : photon index: E^-{Ph_index} (minus sign is not included in the index)
Ph_90err   : 90% error of the photon index
Epeak      : Epeak in keV
Epeak_90err: 90% error of Epeak
Norm       : normalization at 50 keV in PL model and at 1 keV in CPL model
Nomr_90err : 90% error of the normalization
chi2       : Chi-Squared
dof        : degree of freedom
 
=== T90/T50 calculation in the 50-300 keV band (BATSE band) using 64 ms lc ===
 
T90 in the 50-300 keV band: 0.192000 sec.
T50 in the 50-300 keV band: 0.128000 sec.
 
=== Table of the duration information ==
 
        Value   tstart    tstop
T100    0.220    0.000    0.220
T90     0.180    0.016    0.196
T50     0.088    0.072    0.160
Peak    1.000   -0.388    0.612
  • Click here for the BAT GCN circular template
  • Special notes of this burst

    Image

    Pre-slew 15.0-350.0 keV image (Event data)

    #   RAcent    DECcent   POSerr    Theta     Phi              Peak Cts       SNR   Name
       95.8345    -0.1048   0.0139    26.1701    66.0786         0.1144589     13.879 TRIG_00333320                 
     
    Foreground time interval of the image:
      0.000   0.220 (delta_t =   0.220 [sec])
    Background time interval of the image:
    -239.200   0.000 (delta_t = 239.200 [sec])
    

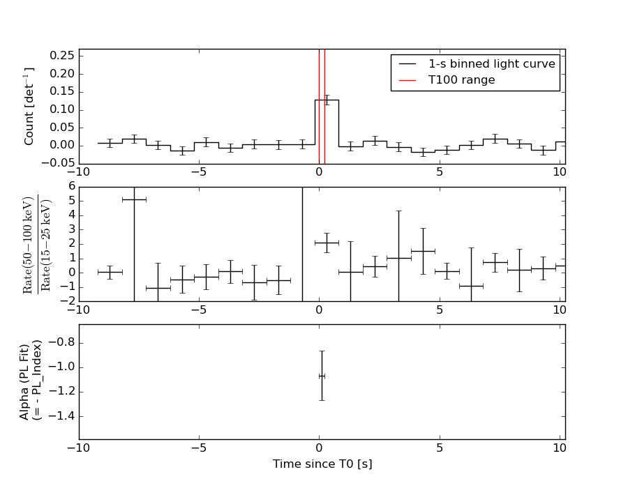
    Lightcurves

    Notes:

    1 s binning

    From T0-310 s to T0+310 s
    From T100_start - 20 s to T100_end + 30 s
    Full time interval

    64 ms binning

    Full time interval
    From T100_start to T100_end
    From T0-5 sec to T0+5 sec

    16 ms binning

    From T100_start-5 s to T100_start+5 s
    Blue+Cyan dotted lines: Time interval of the scaled map
    From 0.000000 to 0.256000
    

    8 ms binning

    From T100_start-3 s to T100_start+3 s
    Blue+Cyan dotted lines: Time interval of the scaled map
    From 0.000000 to 0.256000
    

    2 ms binning

    From T100_start-1 s to T100_start+1 s
    Blue+Cyan dotted lines: Time interval of the scaled map
    From 0.000000 to 0.256000
    

    SN=5 or 10 sec. binning (whichever binning is satisfied first)

    SN=5 or 10 sec. binning (T < 200 sec)

    Quad-rate summed light curves (from T0-300s to T0+1000s)

    Spectral Evolution

    Spectra

    Notes:

    Time averaged spectrum fit using the average DRM

    Power-law model
    Time interval is from    0.000 sec. to    0.220 sec.
     
    Spectral model in power-law:
    ------------------------------------------------------------
    Parameters  : value       lower 90%   higher 90%
    Photon index: 1.06982     ( -0.203647   0.200171 )
    Norm@50keV  : 3.09313E-02    ( -0.00411603   0.00411582 )
    ------------------------------------------------------------
    #Fit statistic : Chi-Squared =          66.83 using 59 PHA bins.
    # Reduced chi-squared =          1.173 for     57 degrees of freedom 
    # Null hypothesis probability =   1.750087e-01
     
    Photon flux (15-150 keV)    in 0.22 sec: 3.57807 ( -0.48075  0.481055 ) ph/cm2/s
    Energy fluence (15-150 keV)             : 7.18487e-08 ( -1.05506e-08  1.063e-08 ) ergs/cm2
     
    
    Cutoff power-law model
    Time interval is from    0.000 sec. to    0.220 sec.
    Spectral model in the cutoff power-law:
    ------------------------------------------------------------
    Parameters  : value       lower 90%   higher 90%
    Photon index: -0.253557     ( -1.1892   0.935964 )
    Epeak [keV] : 91.2407      ( -21.0997 88.3746 )
    Norm@50keV  : 0.134134    ( -0.0852733   0.32405 )
    ------------------------------------------------------------
    #Fit statistic : Chi-Squared =          60.60 using 59 PHA bins.
    # Reduced chi-squared =          1.082 for     56 degrees of freedom 
    # Null hypothesis probability =   3.135248e-01
     
    Photon flux (15-150 keV)    in 0.22 sec: 3.50753 ( -0.48611  0.48576 ) ph/cm2/s
    Energy fluence (15-150 keV)             : 6.80526e-08 ( -1.10563e-08  1.12011e-08 ) ergs/cm2
     
    
    Band function
    Time interval is from    0.000 sec. to    0.220 sec.
     
    Spectral model in the Band function:
    ------------------------------------------------------------
    Parameters  : value       lower 90%   higher 90%
    alpha       : 0.328885   ( -0.998862   -0.331615 )
    beta        : -2.32800    ( 2.33114   1.23367 )
    Epeak [keV] : 87.8281      ( -54.8937 83.3065 )
    Norm@50keV   : 0.147799    ( -0.148165   189.938 )
    ------------------------------------------------------------
    #Fit statistic : Chi-Squared =          60.50 using 59 PHA bins.
    # Reduced chi-squared =          1.100 for     55 degrees of freedom 
    # Null hypothesis probability =   2.841453e-01
     
    Photon flux (15-150 keV)    in 0.22 sec:  (    ) ph/cm2/s
    Energy fluence (15-150 keV)             : 0 ( 0  0 ) ergs/cm2
     
    
    Single BB
     
    Spectral model blackbody:
    ------------------------------------------------------------
    Parameters  : value    Lower 90%  Upper 90%
    kT [keV]    : 19.3177  (-2.58532  3.11199)
    R^2/D10^2   : 0.206387  (-0.0802004   0.122949)
    (R is the radius in km and D10 is the distance to the source in units of 10 kpc)
    ------------------------------------------------------------
    #Fit statistic : Chi-Squared =          63.11 using 59 PHA bins.
    # Reduced chi-squared =          1.107 for     57 degrees of freedom 
    # Null hypothesis probability =   2.692218e-01
     
    Energy  Fluence     90% Error
    [keV]   [erg/cm2]   [erg/cm2]
    15- 25  3.310e-09   7.997e-10
    25- 50  1.611e-08   3.003e-09
    50-150  4.431e-08   1.065e-08
    15-150  6.373e-08   1.122e-08
    
    Thermal bremsstrahlung (OTTB)
     
     
    Spectral model: thermal bremsstrahlung
    ------------------------------------------------------------
    Parameters  : value         Lower 90%    Upper 90%
    kT [keV]    : 200.000       (      )
    Norm        : 14.1096       (-1.96978     1.96978)
    ------------------------------------------------------------
    #Fit statistic : Chi-Squared =          78.88 using 59 PHA bins.
    # Reduced chi-squared =          1.384 for     57 degrees of freedom 
    # Null hypothesis probability =   2.907732e-02
     
    Energy  Fluence     90% Error
    [keV]   [erg/cm2]   [erg/cm2]
    15- 25  7.775e-09   4.411e-09
    25- 50  1.496e-08   8.369e-09
    50-150  3.280e-08   1.841e-08
    15-150  5.553e-08   3.105e-08
    
    Double BB
     
     
    Spectral model: bbodyrad<1> + bbodyrad<2>
    ------------------------------------------------------------
    Parameters  : value         Lower 90%    Upper 90%
    kT1 [keV]   : 6.96535        (-3.85048      -6.97063)
    R1^2/D10^2  : 1.54266        (-1.4935      9.81508)
    kT2 [keV]   : 22.8417        (-5.99094      -22.8443)
    R2^2/D10^2  : 0.106160    (-0.103329   0.133953)
    ------------------------------------------------------------
    #Fit statistic : Chi-Squared =          60.10 using 59 PHA bins.
    # Reduced chi-squared =          1.093 for     55 degrees of freedom 
    # Null hypothesis probability =   2.964111e-01
     
    Energy  Fluence     90% Error
    [keV]   [erg/cm2]   [erg/cm2]
    15- 25  4.847e-09   2.693e-09
    25- 50  1.554e-08   7.690e-09
    50-150  4.726e-08   2.666e-08
    15-150  6.765e-08   3.549e-08
    

    Peak spectrum fit

    Power-law model
    Time interval is from   -0.388 sec. to    0.612 sec.
     
    Spectral model in power-law:
    ------------------------------------------------------------
    Parameters  : value       lower 90%   higher 90%
    Photon index: 1.14223     ( -0.276382   0.269689 )
    Norm@50keV  : 8.65152E-03    ( -0.00146113   0.00146083 )
    ------------------------------------------------------------
    #Fit statistic : Chi-Squared =          69.35 using 59 PHA bins.
    # Reduced chi-squared =          1.217 for     57 degrees of freedom 
    # Null hypothesis probability =   1.263718e-01
     
    Photon flux (15-150 keV)    in 1 sec: 1.00803 ( -0.173789  0.174299 ) ph/cm2/s
    Energy fluence (15-150 keV)             : 8.92732e-08 ( -1.64219e-08  1.66331e-08 ) ergs/cm2
     
    
    Cutoff power-law model
    Time interval is from   -0.388 sec. to    0.612 sec.
    Spectral model in the cutoff power-law:
    ------------------------------------------------------------
    Parameters  : value       lower 90%   higher 90%
    Photon index: -0.535215     ( -1.93755   1.31741 )
    Epeak [keV] : 82.7980      ( -19.2983 95.9477 )
    Norm@50keV  : 5.10017E-02    ( -0.051002   0.281892 )
    ------------------------------------------------------------
    #Fit statistic : Chi-Squared =          64.25 using 59 PHA bins.
    # Reduced chi-squared =          1.147 for     56 degrees of freedom 
    # Null hypothesis probability =   2.098547e-01
     
    Photon flux (15-150 keV)    in 1 sec: 0.944247 ( -0.182394  0.182253 ) ph/cm2/s
    Energy fluence (15-150 keV)             : 8.18683e-08 ( -1.70624e-08  1.7701e-08 ) ergs/cm2
     
    
    Band function
    Time interval is from   -0.388 sec. to    0.612 sec.
     
    Spectral model in the Band function:
    ------------------------------------------------------------
    Parameters  : value       lower 90%   higher 90%
    alpha       : 0.534120   ( -1.37439   1.92757 )
    beta        : -10.0000    ( 10   3.55271e-15 )
    Epeak [keV] : 82.8248      ( -16.9965 95.7282 )
    Norm@50keV   : 5.09324E-02    ( -0.0509324   0.282259 )
    ------------------------------------------------------------
    #Fit statistic : Chi-Squared =          64.25 using 59 PHA bins.
    # Reduced chi-squared =          1.168 for     55 degrees of freedom 
    # Null hypothesis probability =   1.840587e-01
     
    Photon flux (15-150 keV)    in 1 sec: 0.967436 (    ) ph/cm2/s
    Energy fluence (15-150 keV)             : 8.56958e-08 ( 0  0 ) ergs/cm2
     
    
    Single BB
     
    Spectral model blackbody:
    ------------------------------------------------------------
    Parameters  : value    Lower 90%  Upper 90%
    kT [keV]    : 19.0695  (-3.18371  4.08765)
    R^2/D10^2   : 5.80197E-02  (-0.0275754   0.048461)
    (R is the radius in km and D10 is the distance to the source in units of 10 kpc)
    ------------------------------------------------------------
    #Fit statistic : Chi-Squared =          64.87 using 59 PHA bins.
    # Reduced chi-squared =          1.138 for     57 degrees of freedom 
    # Null hypothesis probability =   2.214077e-01
     
    Energy  Fluence     90% Error
    [keV]   [erg/cm2]   [erg/cm2]
    15- 25  4.142e-09   1.386e-09
    25- 50  1.997e-08   5.450e-09
    50-150  5.341e-08   1.769e-08
    15-150  7.753e-08   2.163e-08
    
    Thermal bremsstrahlung (OTTB)
     
     
    Spectral model: thermal bremsstrahlung
    ------------------------------------------------------------
    Parameters  : value         Lower 90%    Upper 90%
    kT [keV]    : 200.000       (      )
    Norm        : 4.15158       (-0.718287     0.718238)
    ------------------------------------------------------------
    #Fit statistic : Chi-Squared =          73.85 using 59 PHA bins.
    # Reduced chi-squared =          1.296 for     57 degrees of freedom 
    # Null hypothesis probability =   6.606497e-02
     
    Energy  Fluence     90% Error
    [keV]   [erg/cm2]   [erg/cm2]
    15- 25  1.034e-08   5.965e-09
    25- 50  1.990e-08   1.125e-08
    50-150  4.363e-08   2.461e-08
    15-150  7.387e-08   4.343e-08
    
    Double BB
     
     
    Spectral model: bbodyrad<1> + bbodyrad<2>
    ------------------------------------------------------------
    Parameters  : value         Lower 90%    Upper 90%
    kT1 [keV]   : 5.25803        (-5.25803      -5.25803)
    R1^2/D10^2  : 0.885680        (-0.885614      -0.885614)
    kT2 [keV]   : 20.7289        (-4.23745      -20.7289)
    R2^2/D10^2  : 4.18716E-02    (-0.0418703   0.0513648)
    ------------------------------------------------------------
    #Fit statistic : Chi-Squared =          63.81 using 59 PHA bins.
    # Reduced chi-squared =          1.160 for     55 degrees of freedom 
    # Null hypothesis probability =   1.945149e-01
     
    Energy  Fluence     90% Error
    [keV]   [erg/cm2]   [erg/cm2]
    15- 25  6.041e-09   3.579e-09
    25- 50  1.936e-08   1.075e-08
    50-150  5.584e-08   3.304e-08
    15-150  8.124e-08   4.473e-08
    

    Pre-slew spectrum (Pre-slew PHA with pre-slew DRM)

    Power-law model
     
    Spectral model in power-law:
    ------------------------------------------------------------
    Parameters  : value       lower 90%   higher 90%
    Photon index: 1.06982     ( -0.203647   0.200171 )
    Norm@50keV  : 3.09313E-02    ( -0.00411603   0.00411582 )
    ------------------------------------------------------------
    #Fit statistic : Chi-Squared =          66.83 using 59 PHA bins.
    # Reduced chi-squared =          1.173 for     57 degrees of freedom 
    # Null hypothesis probability =   1.750087e-01
     
    Photon flux (15-150 keV)    in 0.22 sec: 3.57807 ( -0.48075  0.481055 ) ph/cm2/s
    Energy fluence (15-150 keV)             : 7.18487e-08 ( -1.05506e-08  1.063e-08 ) ergs/cm2
     
    
    Cutoff power-law model
    Spectral model in the cutoff power-law:
    ------------------------------------------------------------
    Parameters  : value       lower 90%   higher 90%
    Photon index: -0.253557     ( -1.1892   0.935964 )
    Epeak [keV] : 91.2407      ( -21.0997 88.3746 )
    Norm@50keV  : 0.134134    ( -0.0852733   0.32405 )
    ------------------------------------------------------------
    #Fit statistic : Chi-Squared =          60.60 using 59 PHA bins.
    # Reduced chi-squared =          1.082 for     56 degrees of freedom 
    # Null hypothesis probability =   3.135248e-01
     
    Photon flux (15-150 keV)    in 0.22 sec: 3.50753 ( -0.48611  0.48576 ) ph/cm2/s
    Energy fluence (15-150 keV)             : 6.80526e-08 ( -1.10563e-08  1.12011e-08 ) ergs/cm2
     
    
    Band function
     
    Spectral model in the Band function:
    ------------------------------------------------------------
    Parameters  : value       lower 90%   higher 90%
    alpha       : 0.328885   ( -0.998862   -0.331615 )
    beta        : -2.32800    ( 2.33114   1.23383 )
    Epeak [keV] : 87.8281      ( -54.8937 83.3065 )
    Norm@50keV   : 0.147799    ( -0.148165   189.938 )
    ------------------------------------------------------------
    #Fit statistic : Chi-Squared =          60.50 using 59 PHA bins.
    # Reduced chi-squared =          1.100 for     55 degrees of freedom 
    # Null hypothesis probability =   2.841453e-01
     
    Photon flux (15-150 keV)    in 0.22 sec:  (    ) ph/cm2/s
    Energy fluence (15-150 keV)             : 0 ( 0  0 ) ergs/cm2
     
    

    S(25-50 keV) vs. S(50-100 keV) plot

    S(25-50 keV)  = 1.39e-08
    S(50-100 keV) = 2.65e-08
    

    T90 vs. Hardness ratio plot

    T90                                   = 0.180000007152557 sec.
    Hardness ratio (energy fluence ratio) = 1.90647
    

    Color vs. Color plot

    Count Ratio  (25-50 keV) / (15-25 keV) = 2.10934
    Count Ratio (50-100 keV) / (15-25 keV) = 2.24588
    

    Mask shadow pattern

    IMX = 1.992596715391991E-01, IMY = -4.492014886940798E-01
    

    TIME vs. PHA plot around the trigger time

    Blue+Cyan dotted lines: Time interval of the scaled map
    From 0.000000 to 0.256000
    

    TIME vs. DetID plot around the trigger time

    Blue+Cyan dotted lines: Time interval of the scaled map
    From 0.000000 to 0.256000
    

    100 us light curve (15-350 keV)

    Blue+Cyan dotted lines: Time interval of the scaled map
    From 0.000000 to 0.256000
    

    Spacecraft aspect plot

    Bright source in the pre-burst/pre-slew/post-slew images

    Pre-burst image of 15-350 keV band

    Time interval of the image:
    -239.200000 0.000000
     
    # RAcent  DECcent POSerr Theta    Phi  PeakCts   SNR AngSep     Name
    #  [deg]    [deg]    ['] [deg]  [deg]                   [']
    135.5256 -40.5548    0.4  44.6  -33.8  10.9291  29.9    0.1	Vela X-1                      
    100.2705  35.9513    2.1  39.2  132.8   2.1536   5.3 ------	UNKNOWN                       
    127.8902 -51.2528    2.4  53.8  -23.7   2.5189   4.7 ------	UNKNOWN                       
    148.9791 -41.6236    2.6  50.3  -45.3   3.7996   4.4 ------	UNKNOWN                       
    153.3337 -32.8253    2.5  46.0  -56.6   3.6229   4.7 ------	UNKNOWN                       
    

    Pre-slew background subtracted image of 15-350 keV band

    Time interval of the image:
    0.000000 0.220000
     
    # RAcent  DECcent POSerr Theta    Phi  PeakCts   SNR AngSep     Name
    #  [deg]    [deg]    ['] [deg]  [deg]                   [']
    135.2844 -40.6743    0.0  44.7  -33.5  -0.0199  -2.0   13.2	Vela X-1                      
     81.5817 -29.8362    2.5  50.1   28.0   0.1220   4.6 ------	UNKNOWN                       
     95.8345  -0.1049    0.8  26.2   66.1   0.1144  13.9 ------	UNKNOWN                       
    

    Post-slew image of 15-350 keV band

    Time interval of the image:
    980.900600 1055.682400
     
    # RAcent  DECcent POSerr Theta    Phi  PeakCts   SNR AngSep     Name
    #  [deg]    [deg]    ['] [deg]  [deg]                   [']
    135.4955 -40.5505    1.2  34.3  138.4   3.7998  10.0    1.5	Vela X-1                      
    170.4640 -60.7438   15.5   8.8   88.0   0.1742   0.7    8.5	Cen X-3                       
    186.6516 -62.8090    2.8   8.0   32.0   0.9377   4.1    2.3	GX 301-2                      
    255.9792 -37.8676  252.0  50.5  -34.3   0.0373   0.0    1.4	4U 1700-377                   
    256.4460 -36.4503   77.0  51.7  -35.2  -0.1336  -0.1    1.7	GX 349+2                      
    264.7040 -44.4312    8.3  50.7  -22.2  -0.8024  -1.4    2.0	4U 1735-44                    
    281.1253 -61.8242    2.3  46.8    3.8   2.2399   4.9 ------	UNKNOWN                       
    262.9143 -61.3925    2.8  39.8   -3.7   1.3110   4.1 ------	UNKNOWN                       
    163.3376 -25.8402    2.8  32.6 -170.8   0.9817   4.1 ------	UNKNOWN                       
    151.3213  -5.5852    2.6  55.6 -175.8   4.7632   4.5 ------	UNKNOWN                       
    247.9761 -52.6281    2.5  37.0  -22.3   1.3422   4.6 ------	UNKNOWN                       
    230.9992 -27.9788    3.0  43.6  -64.6   4.0927   3.9 ------	UNKNOWN                       
    
    Plot creation:
    Sun May 31 05:39:46 EDT 2015