batgrbproduct Analysis for Trigger=335971

Analysis Summary

Notes:

======================================================================
                  BAT GRB EVENT DATA PROCESSING REPORT
    Process Script Ver: batgrbproduct v2.42
    Process Start Time (local time): Sun Nov 30 07:01:29 EST 2008
             Host Name: gcn5
   Current Working Dir: /local/data/raid2/prebascript/trigger335971/GCN5_download_cron
======================================================================

  Trigger: 00335971      Segment: 000

  BAT Trigger Time: 249687704   [s; MET]
      Trigger Stop: 249687768   [s; MET]
               UTC: 2008-11-29T21:41:40.704960    [includes UTCF correction] 
       Where From?: TDRSS position message

  BAT 
    RA: 324.330287797152   Dec: 21.5164666308289  [deg; J2000]

     Catalogged Source?: NO
     Point Source?:      YES
     GRB Indicated?:     YES    [ by BAT flight software ]
     Image S/N Ratio:    7.08
     Image Trigger?:     YES
     Rate S/N Ratio:     0  [ if not an image trigger ]
     Image S/N Ratio:    7.08

  Flight Position:   [ source = BAT ]
    RA: 324.330287797152   Dec: 21.5164666308289  [deg; J2000]

  Ground Position:   [ source = BAT pre-slew burst ]
    RA: 324.267150792812   Dec: 21.4539713515895  [deg; J2000]  
        { 21h 37m 04.1s , +21d 27' 14.3" }
         +/- 3.5243076284094 [arcmin] (estimated 90% radius based on SNR)
         +/- 2.17326022299402 [arcmin] (formal 1-sigma fit error)
    SNR: 5.03018972550959
 
  Angular difference between Flight and Ground position is 5.146445 arcmin
 
  Partial Coding Fraction: 0.890625    [ including projection effects ]

  Duration
     T90: 64 +/- 
        Measured from: 0
                   to: 64     [s; relative to TRIGTIME]
     T50: 64 +/- 
        Measured from: 0
                   to: 64     [s; relative to TRIGTIME]

    WARNING: battblocks failed.  Used TDRSS fore/background intervals

  Fluence
     Peak Flux  (peak 64 second)
        Measured from: 0     
                   to: 64     [s; relative to TRIGTIME]
     Total Fluence        
        Measured from: 0     
                   to: 64     [s; relative to TRIGTIME]
     
             Band 1     Band 2     Band 3     Band 4
              15-25      25-50     50-100    100-350     keV
 Total     0.162034   0.240643   0.016757  -0.018635
           0.041698   0.041978   0.037391   0.033270 [error]
 Peak      0.162034   0.240643   0.016757  -0.018635
           0.041698   0.041978   0.037391   0.033270 [error]

     [ fluence units of on-axis counts / fully illuminated detector ] 

======================================================================
 
=== Fluence/Peak Flux Summary ===
 
              Model    Band1    Band2    Band3    Band4    Band5    Total      
                       15-25    25-50   50-100  100-350   15-150   15-350   keV
Fluence   Power-law 5.27e-08 6.67e-08 6.16e-08 9.96e-08 2.15e-07 2.81e-07   erg/cm2
              Error 1.75e-08 1.93e-08 3.05e-08 9.42e-08 7.39e-08 1.37e-07   erg/cm2
Peak flux Power-law 2.68e-02 1.89e-02 8.75e-03 5.67e-03 5.72e-02 6.01e-02   ph/cm2/s
              Error 8.99e-03 5.33e-03 4.18e-03 6.02e-03 1.56e-02 1.68e-02   ph/cm2/s
 
Fluence   Cutoff-PL 5.00e-08 9.61e-08 2.17e-08 1.56e-10 1.68e-07 1.68e-07   erg/cm2
              Error 1.62e-08 2.68e-08 4.58e-08 0.00e+00 0.00e+00 0.00e+00   erg/cm2
Peak flux Cutoff-PL 2.45e-02 2.76e-02 3.58e-03 1.43e-05 5.57e-02 5.57e-02   ph/cm2/s
              Error 8.05e-03 7.37e-03 3.99e-03 1.95e-04 1.38e-02 1.38e-02   ph/cm2/s
 
Fluence        Band 5.17e-08 9.94e-08 2.14e-08 9.34e-10 1.69e-07 1.92e-07   erg/cm2
              Error 0.00e+00 0.00e+00 0.00e+00 0.00e+00 0.00e+00 0.00e+00   erg/cm2
Peak flux      Band 2.52e-02 2.85e-02 3.52e-03 1.03e-04 5.51e-02 5.81e-02   ph/cm2/s
              Error 0.00e+00 0.00e+00 0.00e+00 0.00e+00 0.00e+00 0.00e+00   ph/cm2/s
 
=== Time-averaged spectral analysis ===
 
Model Ph_index Ph_90err Epeak  Epeak_90err Norm     Nomr_90err chi2   dof
PL    2.115    0.490    -      -           3.61e-04 1.35e-04   50.740 57
CPL  -4.955    0.000      31.5    5.0      1.77e+01 1.12e+01   42.510 56
 
 
=== 1-s peak spectral analysis ===
 
Model Ph_index Ph_90err Epeak  Epeak_90err Norm     Nomr_90err chi2   dof
PL    2.110    0.486    -      -           3.62e-04 1.35e-04   51.150 57
CPL  -4.954    0.000      31.5    5.0      1.78e+01 1.12e+01   42.810 56
 
Model      : spectral model: simple power-law (PL) and cutoff power-law (CPL)
Ph_index   : photon index: E^-{Ph_index} (minus sign is not included in the index)
Ph_90err   : 90% error of the photon index
Epeak      : Epeak in keV
Epeak_90err: 90% error of Epeak
Norm       : normalization at 50 keV in PL model and at 1 keV in CPL model
Nomr_90err : 90% error of the normalization
chi2       : Chi-Squared
dof        : degree of freedom
 
=== T90/T50 calculation in the 50-300 keV band (BATSE band) using 64 ms lc ===
 
T90 in the 50-300 keV band: 0.000000 sec.
T50 in the 50-300 keV band: 0.000000 sec.
 
=== Table of the duration information ==
 
        Value   tstart    tstop
T100   64.000    0.000   64.000
T90    64.000    0.000   64.000
T50    64.000    0.000   64.000
Peak   64.000    0.000   64.000
  • Click here for the BAT GCN circular template

    Image

    Pre-slew 15-350 keV image (Event data; bkg subtracted)

    #   RAcent  DECcent POSerr  Theta    Phi     Peak Cts     SNR  Name
      324.2672 +21.4540 0.0383   27.3 -157.8       0.4168     5.0  TRIG_00335971       
    ------------------------------------------
     
    Foreground time interval of the image:
      0.000  64.000 (delta_t =  64.000 [sec])
    Background time interval of the image:
    

    Lightcurves

    Notes:

    1 s binning

    From T0-310 s to T0+310 s
    From T100_start - 20 s to T100_end + 30 s
    Full time interval

    64 ms binning

    Full time interval
    From T100_start to T100_end
    From T0-5 sec to T0+5 sec

    16 ms binning

    From T100_start-5 s to T100_start+5 s
    Blue+Cyan dotted lines: Time interval of the scaled map
    From 0.000000 to 64.000000
    

    8 ms binning

    From T100_start-3 s to T100_start+3 s
    Blue+Cyan dotted lines: Time interval of the scaled map
    From 0.000000 to 64.000000
    

    2 ms binning

    From T100_start-1 s to T100_start+1 s
    Blue+Cyan dotted lines: Time interval of the scaled map
    From 0.000000 to 64.000000
    

    SN=5 or 10 sec. binning (whichever binning is satisfied first)

    SN=5 or 10 sec. binning (T < 200 sec)

    Flight mask-tagged light curves

    Caution: Mask-weight map is always using the same on-axis map

    Quad-rate summed light curves (from T0-300 to T0+1000)

    Spectra

    Notes:

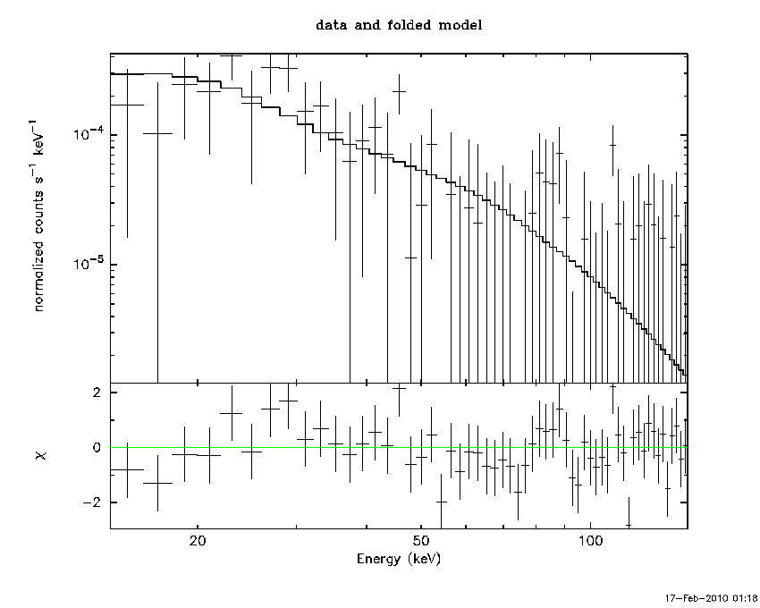
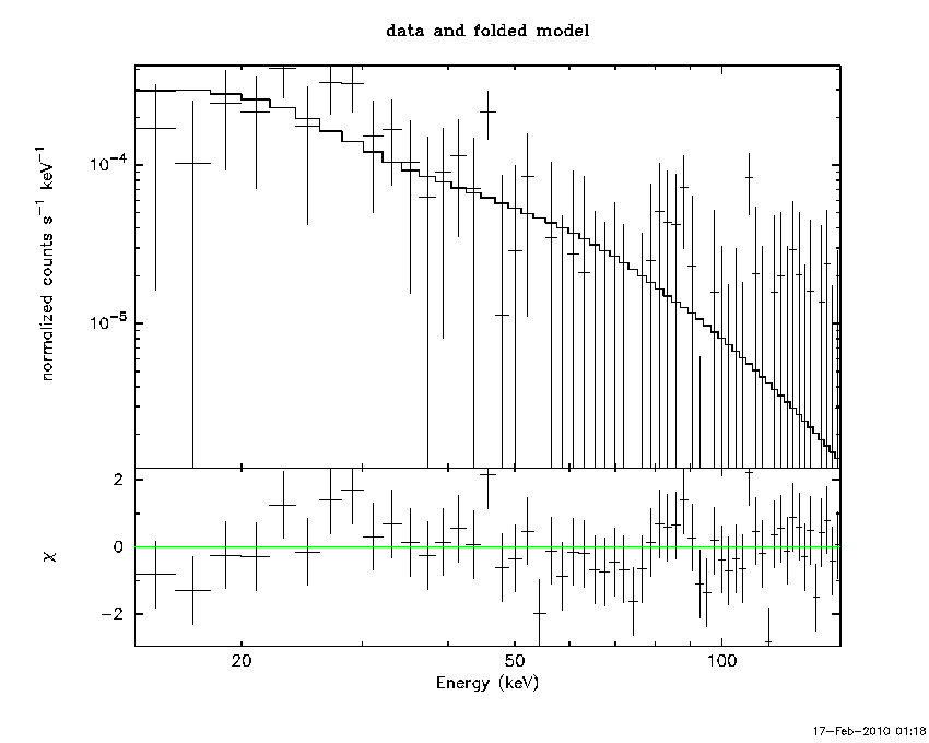
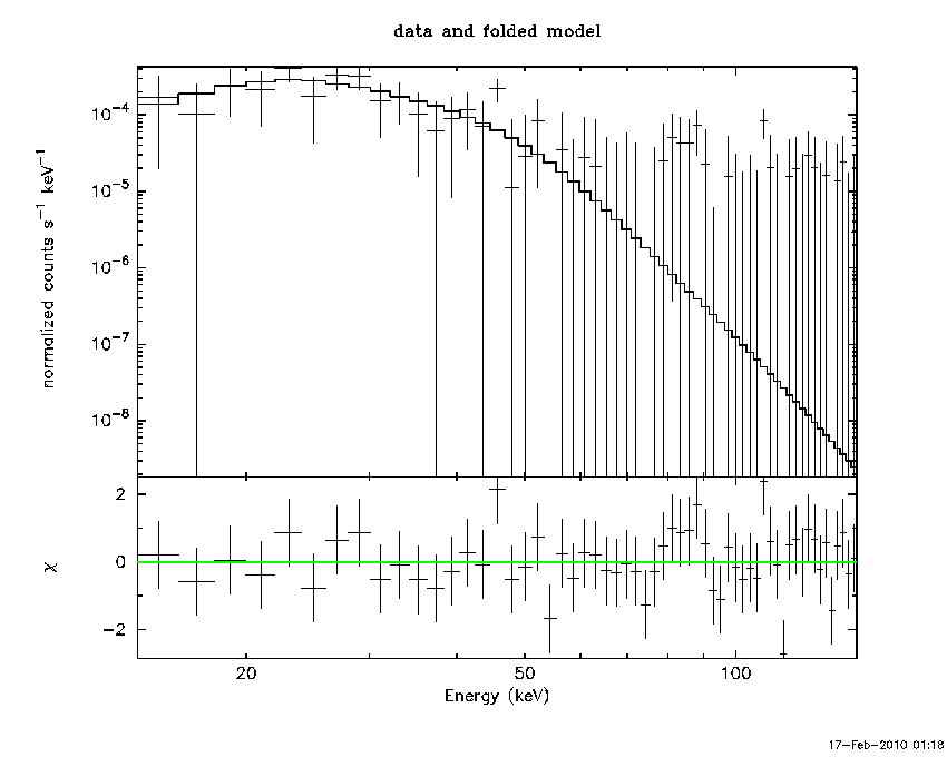
    Time averaged spectrum fit using the pre-slew DRM

    Power-law model
    Time interval is from    0.000 sec. to   64.000 sec.
     
    Spectral model in power-law:
    ------------------------------------------------------------
    Parameters  : value       lower 90%   higher 90%
    Photon index: 2.11517     ( -0.454358   0.525899 )
    Norm@50keV  : 3.60589E-04    ( -0.000135629   0.000135099 )
    ------------------------------------------------------------
    # Chi-Squared =          50.74 using 59 PHA bins.
    # Reduced chi-squared =         0.8901 for     57 degrees of freedom 
    # Null hypothesis probability =   7.076642e-01
     
    Photon flux (15-150 keV)    in 64 sec: 5.71583E-02 ( -0.0156766  0.0157115 ) ph/cm2/s
    Energy fluence (15-150 keV)             : 2.1474e-07 ( -7.0832e-08  7.69658e-08 ) ergs/cm2
     
    
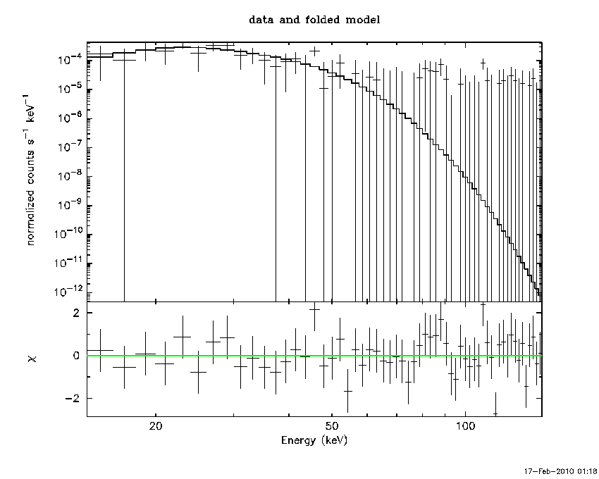
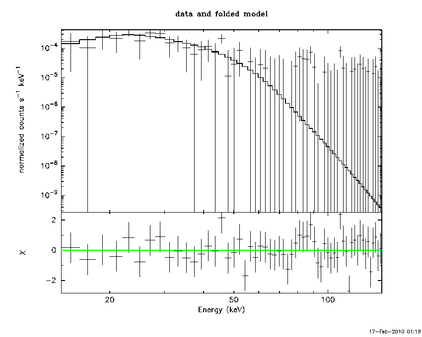
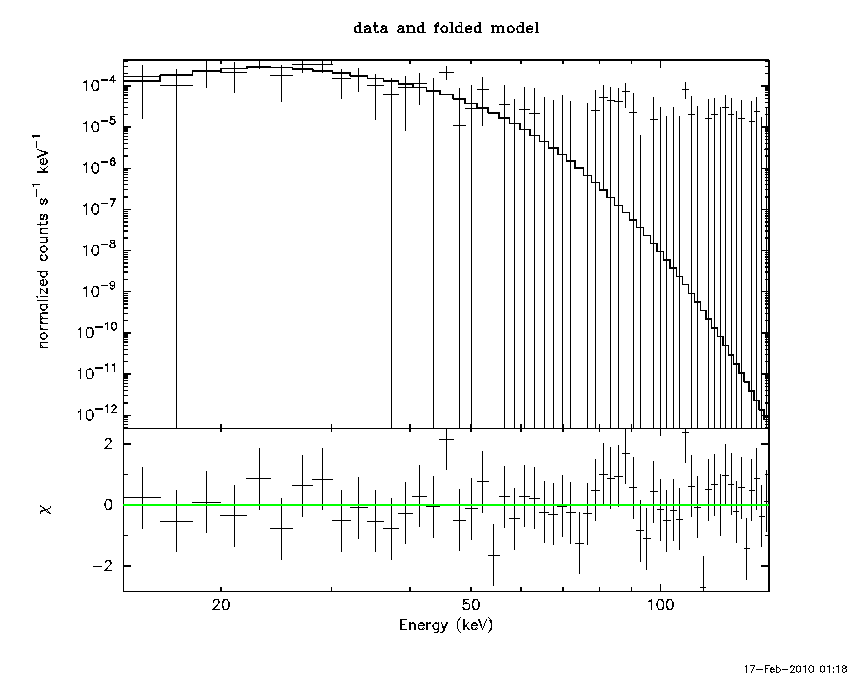
    Cutoff power-law model
    Time interval is from    0.000 sec. to   64.000 sec.
    Spectral model in the cutoff power-law:
    ------------------------------------------------------------
    Parameters  : value       lower 90%   higher 90%
    Photon index: -4.95501     (     )
    Epeak [keV] : 31.5090      ( -4.63416 5.33551 )
    Norm@50keV  : 17.7451    ( -17.746   4.64531 )
    ------------------------------------------------------------
    # Chi-Squared =          42.51 using 59 PHA bins.
    # Reduced chi-squared =         0.7592 for     56 degrees of freedom 
    # Null hypothesis probability =   9.081820e-01
     
    Photon flux (15-150 keV)    in 64 sec: 5.56162E-02 ( -0.0138477  0.0138742 ) ph/cm2/s
    Energy fluence (15-150 keV)             : 1.67933e-07 ( 4.70976e-08  -1.67933e-07 ) ergs/cm2
     
    
    Band function
    Time interval is from    0.000 sec. to   64.000 sec.
     
    Spectral model in the Band function:
    ------------------------------------------------------------
    Parameters  : value       lower 90%   higher 90%
    alpha       : 4.21590   ( 1.15867   1.63812 )
    beta        : -10.00000    ( 1.67715e+12   1.67715e+12 )
    Epeak [keV] : 31.4604      ( -4.66325 6.16804 )
    Norm@50keV   : 5.90060    ( -7.52157   1.96111 )
    ------------------------------------------------------------
    # Chi-Squared =          42.56 using 59 PHA bins.
    # Reduced chi-squared =         0.7738 for     55 degrees of freedom 
    # Null hypothesis probability =   8.896220e-01
     
    Photon flux (15-150 keV)    in 64 sec: 5.511160E-02 ( -0.0136584  0.014107 ) ph/cm2/s
    Energy fluence (15-150 keV)             : 1.68911e-07 ( -4.44966e-08  6.76954e-08 ) ergs/cm2
     
    

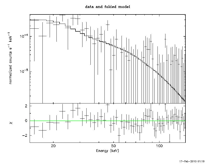
    Peak spectrum fit

    Power-law model
    Time interval is from    0.000 sec. to   64.000 sec.
     
    Spectral model in power-law:
    ------------------------------------------------------------
    Parameters  : value       lower 90%   higher 90%
    Photon index: 2.10980     ( -0.450125   0.521146 )
    Norm@50keV  : 3.61839E-04    ( -0.000135261   0.000134726 )
    ------------------------------------------------------------
    # Chi-Squared =          51.15 using 59 PHA bins.
    # Reduced chi-squared =         0.8974 for     57 degrees of freedom 
    # Null hypothesis probability =   6.930297e-01
     
    Photon flux (15-150 keV)    in 64 sec: 5.72036E-02 ( -0.0155855  0.0156126 ) ph/cm2/s
    Energy fluence (15-150 keV)             : 2.15366e-07 ( -7.07315e-08  7.68672e-08 ) ergs/cm2
     
    
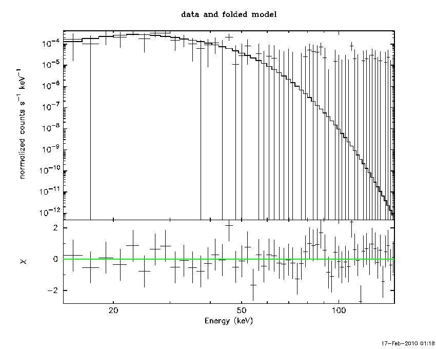
    Cutoff power-law model
    Time interval is from    0.000 sec. to   64.000 sec.
    Spectral model in the cutoff power-law:
    ------------------------------------------------------------
    Parameters  : value       lower 90%   higher 90%
    Photon index: -4.95391     (     )
    Epeak [keV] : 31.5111      ( -4.60631 5.29417 )
    Norm@50keV  : 17.7509    ( -17.7495   4.61821 )
    ------------------------------------------------------------
    # Chi-Squared =          42.81 using 59 PHA bins.
    # Reduced chi-squared =         0.7645 for     56 degrees of freedom 
    # Null hypothesis probability =   9.024816e-01
     
    Photon flux (15-150 keV)    in 64 sec: 5.57180E-02 ( -0.0137656  0.0137831 ) ph/cm2/s
    Energy fluence (15-150 keV)             : 1.68513e-07 ( -4.44602e-08  4.67731e-08 ) ergs/cm2
     
    
    Band function
    Time interval is from    0.000 sec. to   64.000 sec.
     
    Spectral model in the Band function:
    ------------------------------------------------------------
    Parameters  : value       lower 90%   higher 90%
    alpha       : 4.60380   ( -6.43317   -6.75104 )
    beta        : -7.79237    ( 5.992   14.9622 )
    Epeak [keV] : 31.6239      ( -6.24158 5.42936 )
    Norm@50keV   : 10.2349    ( -10.2415   5.04828 )
    ------------------------------------------------------------
    # Chi-Squared =          42.81 using 59 PHA bins.
    # Reduced chi-squared =         0.7783 for     55 degrees of freedom 
    # Null hypothesis probability =   8.842653e-01
     
    Photon flux (15-150 keV)    in 64 sec: 5.511160E-02 ( -0.0136584  0.014107 ) ph/cm2/s
    Energy fluence (15-150 keV)             : 1.68911e-07 ( -4.44966e-08  6.76954e-08 ) ergs/cm2
     
    

    Pre-slew spectrum (Pre-slew PHA with pre-slew DRM)

    Power-law model
     
    Spectral model in power-law:
    ------------------------------------------------------------
    Parameters  : value       lower 90%   higher 90%
    Photon index: 2.11517     ( -0.454358   0.525899 )
    Norm@50keV  : 3.60589E-04    ( -0.000135629   0.000135099 )
    ------------------------------------------------------------
    # Chi-Squared =          50.74 using 59 PHA bins.
    # Reduced chi-squared =         0.8901 for     57 degrees of freedom 
    # Null hypothesis probability =   7.076642e-01
     
    Photon flux (15-150 keV)    in 64 sec: 5.71583E-02 ( -0.0156766  0.0157115 ) ph/cm2/s
    Energy fluence (15-150 keV)             : 2.1474e-07 ( -7.0832e-08  7.69658e-08 ) ergs/cm2
     
    
    Cutoff power-law model
    Spectral model in the cutoff power-law:
    ------------------------------------------------------------
    Parameters  : value       lower 90%   higher 90%
    Photon index: -4.95501     (     )
    Epeak [keV] : 31.5090      ( -4.63416 5.33551 )
    Norm@50keV  : 17.7451    ( -17.746   4.64531 )
    ------------------------------------------------------------
    # Chi-Squared =          42.51 using 59 PHA bins.
    # Reduced chi-squared =         0.7592 for     56 degrees of freedom 
    # Null hypothesis probability =   9.081820e-01
     
    Photon flux (15-150 keV)    in 64 sec: 5.56162E-02 ( -0.0138477  0.0138742 ) ph/cm2/s
    Energy fluence (15-150 keV)             : 1.67933e-07 ( 4.70976e-08  -1.67933e-07 ) ergs/cm2
     
    
    Band function
     
    Spectral model in the Band function:
    ------------------------------------------------------------
    Parameters  : value       lower 90%   higher 90%
    alpha       : 4.21590   ( 1.15867   1.63812 )
    beta        : -10.00000    ( 1.67715e+12   1.67715e+12 )
    Epeak [keV] : 31.4604      ( -4.66325 6.16804 )
    Norm@50keV   : 5.90060    ( -7.52157   1.96111 )
    ------------------------------------------------------------
    # Chi-Squared =          42.56 using 59 PHA bins.
    # Reduced chi-squared =         0.7738 for     55 degrees of freedom 
    # Null hypothesis probability =   8.896220e-01
     
    Photon flux (15-150 keV)    in 64 sec: 5.511160E-02 ( -0.0136584  0.014107 ) ph/cm2/s
    Energy fluence (15-150 keV)             : 1.68911e-07 ( -4.44966e-08  6.76954e-08 ) ergs/cm2
     
    

    S(25-50 keV) vs. S(50-100 keV) plot

    S(25-50 keV)  = 6.66912e-08
    S(50-100 keV) = 6.15729e-08
    

    T90 vs. Hardness ratio plot

    T90                                   = 64 sec.
    Hardness ratio (energy fluence ratio) = 0.923254
    

    Color vs. Color plot

    Count Ratio  (25-50 keV) / (15-25 keV) = 1.48514
    Count Ratio (50-100 keV) / (15-25 keV) = 0.103417
    

    Mask shadow pattern

    IMX = 0, IMY = 0
    

    TIME vs. PHA plot around the trigger time

    Blue+Cyan dotted lines: Time interval of the scaled map
    From 0.000000 to 64.000000
    

    TIME vs. DetID plot around the trigger time

    Blue+Cyan dotted lines: Time interval of the scaled map
    From 0.000000 to 64.000000
    

    100 us light curve (15-350 keV)

    Blue+Cyan dotted lines: Time interval of the scaled map
    From 0.000000 to 64.000000
    

    Spacecraft aspect plot

    Bright source in the pre-burst/pre-slew/post-slew images

    Pre-burst image of 15-350 keV band

    Time interval of the image:
     
    

    Pre-slew background subtracted image of 15-350 keV band

    Time interval of the image:
    0.000000 64.000000
     
    # RAcent  DECcent POSerr Theta    Phi  PeakCts   SNR AngSep     Name
    #  [deg]    [deg]    ['] [deg]  [deg]                   [']
    299.5780  35.2145    0.5  22.2  -94.9   2.1843  24.3    1.0	Cyg X-1                       
    308.1035  40.9105   77.4  13.4  -96.2  -0.0117  -0.1    2.5	Cyg X-3                       
    326.0987  38.4602    9.1  10.4 -167.5   0.1031   1.3    9.0	Cyg X-2                       
    331.8715  27.3001    2.1  22.4 -176.1   0.4467   5.6 ------	UNKNOWN                       
    215.2355  65.1155    2.5  53.5   -6.1   1.0881   4.7 ------	UNKNOWN                       
    324.2670  21.4536    2.3  27.3 -157.8   0.4146   5.0 ------	UNKNOWN                       
    

    Post-slew image of 15-350 keV band

    Time interval of the image:
    121.500600 369.260000
    373.000000 374.530000
    376.000000 376.030000
    383.000000 386.620000
    388.000000 389.770000
    393.000000 393.200000
    395.000000 903.041100
     
    # RAcent  DECcent POSerr Theta    Phi  PeakCts   SNR AngSep     Name
    #  [deg]    [deg]    ['] [deg]  [deg]                   [']
    288.7871  10.9013    2.0  35.6  -76.9   8.0368   5.8    2.7	GRS 1915+105                  
    299.5836  35.2074    0.3  25.6  -27.7  25.2148  45.6    0.5	Cyg X-1                       
    308.3358  40.9414   33.3  23.7   -6.6  -0.2043  -0.3   10.2	Cyg X-3                       
    325.9211  38.4003    0.0  16.9   29.0   0.3718   0.7   12.7	Cyg X-2                       
    310.0065  73.9771    3.1  53.0   19.8  12.1382   3.7 ------	UNKNOWN                       
    322.4084  17.7902    3.4   4.2 -129.2   1.7529   3.4 ------	UNKNOWN                       
    300.7048   0.3335    2.8  31.3 -104.9   3.2847   4.2 ------	UNKNOWN                       
    
    Plot creation:
    Wed Feb 17 01:20:38 EST 2010