batgrbproduct Analysis for Trigger=339131

Analysis Summary

Notes:

======================================================================
                  BAT GRB EVENT DATA PROCESSING REPORT
    Process Script Ver: batgrbproduct v2.42
    Process Start Time (local time): Sun Jan  4 16:07:27 EST 2009
             Host Name: gcn5
   Current Working Dir: /local/data/raid2/prebascript/trigger339131/GCN5_download_cron
======================================================================

  Trigger: 00339131      Segment: 000

  BAT Trigger Time: 252733960   [s; MET]
      Trigger Stop: 252734472   [s; MET]
               UTC: 2009-01-04T03:52:35.612080    [includes UTCF correction] 
       Where From?: TDRSS position message

  BAT 
    RA: 170.29909863048   Dec: -61.9130042604188  [deg; J2000]

     Catalogged Source?: NO
     Point Source?:      YES
     GRB Indicated?:     NO    [ by BAT flight software ]
     Image S/N Ratio:    7.87
     Image Trigger?:     YES
     Rate S/N Ratio:     0  [ if not an image trigger ]
     Image S/N Ratio:    7.87

  Flight Position:   [ source = BAT ]
    RA: 170.29909863048   Dec: -61.9130042604188  [deg; J2000]

  Ground Position:   [ source = BAT pre-slew burst ]
    RA: 170.277427972093   Dec: -61.9690958730143  [deg; J2000]  
        { 11h 21m 06.6s , -61d 58' 08.7" }
         +/- 3.31948467301537 [arcmin] (estimated 90% radius based on SNR)
         +/- 2.40198714007573 [arcmin] (formal 1-sigma fit error)
    SNR: 5.47938367910218
 
  Angular difference between Flight and Ground position is 3.420618 arcmin
 
  Partial Coding Fraction: 0.953125    [ including projection effects ]

  Duration
     T90: 512 +/- 
        Measured from: 0
                   to: 512     [s; relative to TRIGTIME]
     T50: 512 +/- 
        Measured from: 0
                   to: 512     [s; relative to TRIGTIME]

    WARNING: battblocks failed.  Used TDRSS fore/background intervals

  Fluence
     Peak Flux  (peak 512 second)
        Measured from: 0     
                   to: 512     [s; relative to TRIGTIME]
     Total Fluence        
        Measured from: 0     
                   to: 512     [s; relative to TRIGTIME]
     
             Band 1     Band 2     Band 3     Band 4
              15-25      25-50     50-100    100-350     keV
 Total     1.147802   0.804588  -0.003109   0.024246
           0.123944   0.125569   0.119378   0.127230 [error]
 Peak      1.147802   0.804588  -0.003109   0.024246
           0.123944   0.125569   0.119378   0.127230 [error]

     [ fluence units of on-axis counts / fully illuminated detector ] 

======================================================================
 
=== Fluence/Peak Flux Summary ===
 
              Model    Band1    Band2    Band3    Band4    Band5    Total      
                       15-25    25-50   50-100  100-350   15-150   15-350   keV
Fluence   Power-law 3.50e-07 2.85e-07 1.57e-07 1.27e-07 8.50e-07 9.21e-07   erg/cm2
              Error 5.93e-08 6.32e-08 7.00e-08 1.02e-07 1.82e-07 2.37e-07   erg/cm2
Peak flux Power-law 2.24e-02 1.04e-02 2.95e-03 1.04e-03 3.64e-02 3.68e-02   ph/cm2/s
              Error 3.39e-03 2.15e-03 1.23e-03 9.85e-04 5.54e-03 5.73e-03   ph/cm2/s
 
Fluence   Cutoff-PL 3.57e-07 3.29e-07 2.60e-08 3.35e-11 7.12e-07 7.12e-07   erg/cm2
              Error 6.63e-08 8.83e-08 4.99e-08 3.50e-09 1.35e-07 1.35e-07   erg/cm2
Peak flux Cutoff-PL 2.31e-02 1.24e-02 6.56e-04 8.65e-07 3.62e-02 3.62e-02   ph/cm2/s
              Error 3.79e-03 2.99e-03 1.11e-03 4.69e-05 5.16e-03 5.16e-03   ph/cm2/s
 
Fluence        Band 3.54e-07 3.31e-07 3.29e-08 2.75e-10 7.13e-07 7.69e-07   erg/cm2
              Error 0.00e+00 0.00e+00 0.00e+00 0.00e+00 0.00e+00 0.00e+00   erg/cm2
Peak flux      Band 2.27e-02 1.21e-02 1.54e-03 3.09e-05 3.64e-02 3.65e-02   ph/cm2/s
              Error 0.00e+00 0.00e+00 0.00e+00 0.00e+00 0.00e+00 0.00e+00   ph/cm2/s
 
=== Time-averaged spectral analysis ===
 
Model Ph_index Ph_90err Epeak  Epeak_90err Norm     Nomr_90err chi2   dof
PL    2.828    0.385    -      -           1.51e-04 4.96e-05   63.240 57
CPL  -1.983    0.684      22.8    3.6      4.53e-01 0.00e+00   54.480 56
 
 
=== 1-s peak spectral analysis ===
 
Model Ph_index Ph_90err Epeak  Epeak_90err Norm     Nomr_90err chi2   dof
PL    2.823    0.356    -      -           1.50e-04 4.89e-05   64.740 57
CPL  -1.489    0.741      22.1    7.3      2.09e-01 0.00e+00   56.010 56
 
Model      : spectral model: simple power-law (PL) and cutoff power-law (CPL)
Ph_index   : photon index: E^-{Ph_index} (minus sign is not included in the index)
Ph_90err   : 90% error of the photon index
Epeak      : Epeak in keV
Epeak_90err: 90% error of Epeak
Norm       : normalization at 50 keV in PL model and at 1 keV in CPL model
Nomr_90err : 90% error of the normalization
chi2       : Chi-Squared
dof        : degree of freedom
 
=== T90/T50 calculation in the 50-300 keV band (BATSE band) using 64 ms lc ===
 
T90 in the 50-300 keV band: 0.000000 sec.
T50 in the 50-300 keV band: 0.000000 sec.
 
=== Table of the duration information ==
 
        Value   tstart    tstop
T100  512.000    0.000  512.000
T90   512.000    0.000  512.000
T50   512.000    0.000  512.000
Peak  512.000    0.000  512.000
  • Click here for the BAT GCN circular template

    Image

    Pre-slew 15-350 keV image (Event data; bkg subtracted)

    #   RAcent  DECcent POSerr  Theta    Phi     Peak Cts     SNR  Name
      170.2774 -61.9691 0.0351   20.9  176.9       2.0119     5.5  TRIG_00339131       
    ------------------------------------------
     
    Foreground time interval of the image:
      0.000 512.000 (delta_t = 512.000 [sec])
    Background time interval of the image:
    

    Lightcurves

    Notes:

    1 s binning

    From T0-310 s to T0+310 s
    From T100_start - 20 s to T100_end + 30 s
    Full time interval

    64 ms binning

    Full time interval
    From T100_start to T100_end
    From T0-5 sec to T0+5 sec

    16 ms binning

    From T100_start-5 s to T100_start+5 s

    8 ms binning

    From T100_start-3 s to T100_start+3 s

    2 ms binning

    From T100_start-1 s to T100_start+1 s

    SN=5 or 10 sec. binning (whichever binning is satisfied first)

    SN=5 or 10 sec. binning (T < 200 sec)

    Flight mask-tagged light curves

    Caution: Mask-weight map is always using the same on-axis map

    Quad-rate summed light curves (from T0-300 to T0+1000)

    Spectra

    Notes:

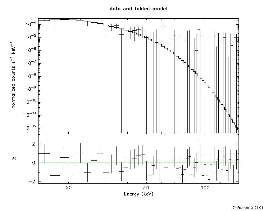
    Time averaged spectrum fit using the pre-slew DRM

    Power-law model
    Time interval is from    0.000 sec. to  512.000 sec.
     
    Spectral model in power-law:
    ------------------------------------------------------------
    Parameters  : value       lower 90%   higher 90%
    Photon index: 2.82807     ( -0.329072   0.440525 )
    Norm@50keV  : 1.50502E-04    ( -5.03352e-05   4.8832e-05 )
    ------------------------------------------------------------
    # Chi-Squared =          63.24 using 59 PHA bins.
    # Reduced chi-squared =          1.110 for     57 degrees of freedom 
    # Null hypothesis probability =   2.654487e-01
     
    Photon flux (15-150 keV)    in 512 sec: 3.65255E-02 ( -0.00586395  0.00589268 ) ph/cm2/s
    Energy fluence (15-150 keV)             : 8.49725e-07 ( -1.74388e-07  1.89866e-07 ) ergs/cm2
     
    
    Cutoff power-law model
    Time interval is from    0.000 sec. to  512.000 sec.
    Spectral model in the cutoff power-law:
    ------------------------------------------------------------
    Parameters  : value       lower 90%   higher 90%
    Photon index: -1.98349     ( 0.940121   2.30757 )
    Epeak [keV] : 22.8063      ( -2.86806 4.41597 )
    Norm@50keV  : 0.452574    (     )
    ------------------------------------------------------------
    # Chi-Squared =          54.48 using 59 PHA bins.
    # Reduced chi-squared =         0.9729 for     56 degrees of freedom 
    # Null hypothesis probability =   5.325868e-01
     
    Photon flux (15-150 keV)    in 512 sec: 3.54438E-02 ( -0.0055124  0.0056035 ) ph/cm2/s
    Energy fluence (15-150 keV)             : 7.11875e-07 ( -1.23996e-07  1.45725e-07 ) ergs/cm2
     
    
    Band function
    Time interval is from    0.000 sec. to  512.000 sec.
     
    Spectral model in the Band function:
    ------------------------------------------------------------
    Parameters  : value       lower 90%   higher 90%
    alpha       : 4.98765   ( -166.677   -156.677 )
    beta        : -4.67735    ( 4.67269   1.48774 )
    Epeak [keV] : 22.9656      ( -3.46412 2.89016 )
    Norm@50keV   : 99.3562    ( -21.7398   27.7588 )
    ------------------------------------------------------------
    # Chi-Squared =          55.02 using 59 PHA bins.
    # Reduced chi-squared =          1.000 for     55 degrees of freedom 
    # Null hypothesis probability =   4.740186e-01
     
    Photon flux (15-150 keV)    in 512 sec: 3.637007E-02 ( -0.00552649  0.00553455 ) ph/cm2/s
    Energy fluence (15-150 keV)             : 7.13037e-07 ( -1.23546e-07  1.11514e-07 ) ergs/cm2
     
    

    Peak spectrum fit

    Power-law model
    Time interval is from    0.000 sec. to  512.000 sec.
     
    Spectral model in power-law:
    ------------------------------------------------------------
    Parameters  : value       lower 90%   higher 90%
    Photon index: 2.82293     ( -0.328511   0.384159 )
    Norm@50keV  : 1.49924E-04    ( -4.70759e-05   5.06997e-05 )
    ------------------------------------------------------------
    # Chi-Squared =          64.74 using 59 PHA bins.
    # Reduced chi-squared =          1.136 for     57 degrees of freedom 
    # Null hypothesis probability =   2.248226e-01
     
    Photon flux (15-150 keV)    in 512 sec: 3.63636E-02 ( -0.00551434  0.00556039 ) ph/cm2/s
    Energy fluence (15-150 keV)             : 8.54917e-07 ( -1.73033e-07  1.89297e-07 ) ergs/cm2
     
    
    Cutoff power-law model
    Time interval is from    0.000 sec. to  512.000 sec.
    Spectral model in the cutoff power-law:
    ------------------------------------------------------------
    Parameters  : value       lower 90%   higher 90%
    Photon index: -1.48908     ( 0.545478   2.02677 )
    Epeak [keV] : 22.0852      ( -10.1996 4.41765 )
    Norm@50keV  : 0.209348    (     )
    ------------------------------------------------------------
    # Chi-Squared =          56.01 using 59 PHA bins.
    # Reduced chi-squared =          1.000 for     56 degrees of freedom 
    # Null hypothesis probability =   4.743957e-01
     
    Photon flux (15-150 keV)    in 512 sec: 3.61785E-02 ( -0.005138  0.0051843 ) ph/cm2/s
    Energy fluence (15-150 keV)             : 7.26339e-07 ( -1.24216e-07  1.42618e-07 ) ergs/cm2
     
    
    Band function
    Time interval is from    0.000 sec. to  512.000 sec.
     
    Spectral model in the Band function:
    ------------------------------------------------------------
    Parameters  : value       lower 90%   higher 90%
    alpha       : 0.471936   ( -1.19403   1.19403 )
    beta        : -9.37167    ( 10   20 )
    Epeak [keV] : 21.0101      ( -6.21554 3.84761 )
    Norm@50keV   : 3.53510E-02    ( -0.083723   11.4183 )
    ------------------------------------------------------------
    # Chi-Squared =          56.24 using 59 PHA bins.
    # Reduced chi-squared =          1.023 for     55 degrees of freedom 
    # Null hypothesis probability =   4.281474e-01
     
    Photon flux (15-150 keV)    in 512 sec: 3.637007E-02 ( -0.00552649  0.00553455 ) ph/cm2/s
    Energy fluence (15-150 keV)             : 7.13037e-07 ( -1.23546e-07  1.11514e-07 ) ergs/cm2
     
    

    Pre-slew spectrum (Pre-slew PHA with pre-slew DRM)

    Power-law model
     
    Spectral model in power-law:
    ------------------------------------------------------------
    Parameters  : value       lower 90%   higher 90%
    Photon index: 2.82807     ( -0.329072   0.440525 )
    Norm@50keV  : 1.50502E-04    ( -5.03352e-05   4.8832e-05 )
    ------------------------------------------------------------
    # Chi-Squared =          63.24 using 59 PHA bins.
    # Reduced chi-squared =          1.110 for     57 degrees of freedom 
    # Null hypothesis probability =   2.654487e-01
     
    Photon flux (15-150 keV)    in 512 sec: 3.65255E-02 ( -0.00586395  0.00589268 ) ph/cm2/s
    Energy fluence (15-150 keV)             : 8.49725e-07 ( -1.74388e-07  1.89866e-07 ) ergs/cm2
     
    
    Cutoff power-law model
    Spectral model in the cutoff power-law:
    ------------------------------------------------------------
    Parameters  : value       lower 90%   higher 90%
    Photon index: -1.98349     ( 0.940121   2.30757 )
    Epeak [keV] : 22.8063      ( -2.86806 4.41597 )
    Norm@50keV  : 0.452574    (     )
    ------------------------------------------------------------
    # Chi-Squared =          54.48 using 59 PHA bins.
    # Reduced chi-squared =         0.9729 for     56 degrees of freedom 
    # Null hypothesis probability =   5.325868e-01
     
    Photon flux (15-150 keV)    in 512 sec: 3.54438E-02 ( -0.0055124  0.0056035 ) ph/cm2/s
    Energy fluence (15-150 keV)             : 7.11875e-07 ( -1.23996e-07  1.45725e-07 ) ergs/cm2
     
    
    Band function
     
    Spectral model in the Band function:
    ------------------------------------------------------------
    Parameters  : value       lower 90%   higher 90%
    alpha       : 2.03535   ( -2.16696   -0.779206 )
    beta        : -9.37167    ( 10   19.9985 )
    Epeak [keV] : 23.1434      ( -5.3911 4.55522 )
    Norm@50keV   : 0.468153    ( -0.46814   28.8848 )
    ------------------------------------------------------------
    # Chi-Squared =          54.52 using 59 PHA bins.
    # Reduced chi-squared =         0.9912 for     55 degrees of freedom 
    # Null hypothesis probability =   4.930878e-01
     
    Photon flux (15-150 keV)    in 512 sec: 3.637007E-02 ( -0.00552649  0.00553455 ) ph/cm2/s
    Energy fluence (15-150 keV)             : 7.13037e-07 ( -1.23546e-07  1.11514e-07 ) ergs/cm2
     
    

    S(25-50 keV) vs. S(50-100 keV) plot

    S(25-50 keV)  = 2.85287e-07
    S(50-100 keV) = 1.57293e-07
    

    T90 vs. Hardness ratio plot

    T90                                   = 512 sec.
    Hardness ratio (energy fluence ratio) = 0.55135
    

    Color vs. Color plot

    Count Ratio  (25-50 keV) / (15-25 keV) = 0.700982
    Count Ratio (50-100 keV) / (15-25 keV) = -0.00270866
    

    Mask shadow pattern

    IMX = 0, IMY = 0
    

    TIME vs. PHA plot around the trigger time

    TIME vs. DetID plot around the trigger time

    100 us light curve (15-350 keV)

    Spacecraft aspect plot

    Bright source in the pre-burst/pre-slew/post-slew images

    Pre-burst image of 15-350 keV band

    Time interval of the image:
     
    

    Pre-slew background subtracted image of 15-350 keV band

    Time interval of the image:
    0.000000 512.000000
     
    # RAcent  DECcent POSerr Theta    Phi  PeakCts   SNR AngSep     Name
    #  [deg]    [deg]    ['] [deg]  [deg]                   [']
    135.5392 -40.5465    2.0  35.5  117.8   4.8545   5.7    0.7	Vela X-1                      
    170.4022 -60.7927    3.9  22.0  175.4   1.0531   3.0   10.5	Cen X-3                       
    186.6147 -62.7829    4.2  24.3 -165.3   1.0564   2.8    1.4	GX 301-2                      
     46.5499 -33.6897    3.3  54.1   14.8   7.1703   3.5 ------	UNKNOWN                       
    170.2767 -61.9692    2.1  20.9  176.9   2.0134   5.5 ------	UNKNOWN                       
     40.6822 -59.3662    3.6  31.7   -5.3   1.5281   3.2 ------	UNKNOWN                       
     28.4940 -48.4105    2.7  44.6   -8.5   2.7730   4.3 ------	UNKNOWN                       
    283.4029 -62.9344    3.4  41.0  -92.3   7.0768   3.4 ------	UNKNOWN                       
    

    Post-slew image of 15-350 keV band

    Time interval of the image:
    634.500600 646.500600
     
    # RAcent  DECcent POSerr Theta    Phi  PeakCts   SNR AngSep     Name
    #  [deg]    [deg]    ['] [deg]  [deg]                   [']
    170.1631 -60.7317   44.2  35.2   65.8  -0.0231  -0.3    7.9	Cen X-3                       
    186.8841 -62.8483    3.2  27.0   65.3   0.1931   3.6    7.8	GX 301-2                      
    245.0087 -15.6318    4.7  39.1 -154.8   0.1303   2.5    1.8	Sco X-1                       
    256.1071 -37.8370    2.5  20.7 -121.2   0.1910   4.5    5.7	4U 1700-377                   
    256.6882 -36.4829    0.0  22.1 -122.0  -0.0972  -2.3   12.7	GX 349+2                      
    262.9083 -24.8109    4.4  34.9 -123.5  -0.1578  -2.6    6.7	GX 1+4                        
    264.7427 -44.3915  168.0  20.0  -94.5   0.0028   0.1    3.5	4U 1735-44                    
    270.4604 -25.1285    6.4  37.9 -113.1   0.1474   1.8   10.0	GX 5-1                        
    270.4628 -25.6876    9.3  37.4 -112.6   0.0979   1.2    9.3	GRS 1758-258                  
    275.8350 -30.2725   11.4  36.3 -101.7   0.0874   1.0    7.3	H1820-303                     
    198.4518 -36.8355    3.3  32.0  121.0   0.2081   3.5 ------	UNKNOWN                       
    220.9166 -19.8557    3.3  36.8  167.1   0.1931   3.5 ------	UNKNOWN                       
    228.8882 -47.8997    2.6   8.5  149.6   0.1547   4.5 ------	UNKNOWN                       
    
    Plot creation:
    Wed Feb 17 01:07:24 EST 2010