batgrbproduct Analysis for Trigger=339295

Analysis Summary

Notes:

======================================================================
                  BAT GRB EVENT DATA PROCESSING REPORT
    Process Script Ver: batgrbproduct v2.46
    Process Start Time (local time): Sun Jan 19 19:13:41 EST 2014
             Host Name: batevent1
   Current Working Dir: /local/data/batevent/batevent_reproc/trigger339295
======================================================================

  Trigger: 00339295      Segment: 000

  BAT Trigger Time: 252996488.704   [s; MET]
      Trigger Stop: 252996489.728   [s; MET]
               UTC: 2009-01-07T04:48:04.308060    [includes UTCF correction] 
       Where From?: TDRSS position message

  BAT 
    RA: 302.42575240314   Dec: 4.72746160298767  [deg; J2000]

     Catalogged Source?: NO
     Point Source?:      YES
     GRB Indicated?:     YES    [ by BAT flight software ]
     Image S/N Ratio:    8.58
     Image Trigger?:     NO
     Rate S/N Ratio:     14.5258390463339  [ if not an image trigger ]
     Image S/N Ratio:    8.58

  Flight Position:   [ source = BAT ]
    RA: 302.42575240314   Dec: 4.72746160298767  [deg; J2000]

  Ground Position:   [ source = BAT pre-slew burst ]
    RA: 302.408099686857   Dec: 4.74714950259026  [deg; J2000]  
        { 20h 09m 37.9s , +04d 44' 49.7" }
         +/- 2.39365055667552 [arcmin] (estimated 90% radius based on SNR)
         +/- 1.00073482208502 [arcmin] (formal 1-sigma fit error)
    SNR: 8.74184343645847
 
  Angular difference between Flight and Ground position is 1.584166 arcmin
 
  Partial Coding Fraction: 0.7421875    [ including projection effects ]

  Duration
     T90: 12.0840000212193 +/- 0.687069143455587
        Measured from: 0.495999991893768
                   to: 12.580000013113     [s; relative to TRIGTIME]
     T50: 10.472000002861 +/- 7.21137879261201
        Measured from: 1.06400001049042
                   to: 11.5360000133514     [s; relative to TRIGTIME]



  Fluence
     Peak Flux  (peak 1 second)
        Measured from: 0.296000003814697     
                   to: 1.2960000038147     [s; relative to TRIGTIME]
     Total Fluence        
        Measured from: 0.303999990224838     
                   to: 12.8959999978542     [s; relative to TRIGTIME]
     
             Band 1     Band 2     Band 3     Band 4
              15-25      25-50     50-100    100-350     keV
 Total     0.121868   0.169589   0.091084   0.021532
           0.021842   0.022806   0.020348   0.019389 [error]
 Peak      0.035155   0.049337   0.039704   0.004337
           0.006440   0.007042   0.006269   0.005548 [error]

     [ fluence units of on-axis counts / fully illuminated detector ] 

======================================================================
 
=== Fluence/Peak Flux Summary ===
 
              Model    Band1    Band2    Band3    Band4    Band5    Total      
                       15-25    25-50   50-100  100-350   15-150   15-350   keV
Fluence   Power-law 3.59e-08 6.07e-08 7.81e-08 2.02e-07 2.30e-07 3.77e-07   erg/cm2
              Error 8.54e-09 1.00e-08 1.88e-08 9.74e-08 4.54e-08 1.17e-07   erg/cm2
Peak flux Power-law 3.23e-01 3.44e-01 2.60e-01 3.19e-01 1.05e+00 1.25e+00   ph/cm2/s
              Error 8.22e-02 5.54e-02 5.13e-02 1.28e-01 1.61e-01 2.01e-01   ph/cm2/s
 
Fluence   Cutoff-PL 3.09e-08 7.60e-08 6.89e-08 1.56e-08 1.89e-07 1.91e-07   erg/cm2
              Error 9.62e-09 1.58e-08 2.87e-08 4.46e-08 4.83e-08 6.58e-08   erg/cm2
Peak flux Cutoff-PL 2.93e-01 3.65e-01 2.72e-01 1.64e-01 1.02e+00 1.09e+00   ph/cm2/s
              Error 9.47e-02 6.67e-02 5.77e-02 1.76e-01 1.64e-01 2.32e-01   ph/cm2/s
 
Fluence        Band 2.81e-08 8.16e-08 6.42e-08 7.21e-08 2.03e-07 2.47e-07   erg/cm2
              Error 9.87e-09 1.56e-08 2.34e-08 -------- -------- --------   erg/cm2
Peak flux      Band 2.93e-01 3.62e-01 2.72e-01 1.79e-01 1.03e+00 1.11e+00   ph/cm2/s
              Error -------- -------- 5.44e-02 -------- 1.59e-01 --------   ph/cm2/s
 
=== Time-averaged spectral analysis ===
 
Model Ph_index Ph_90err Epeak  Epeak_90err Norm     Nomr_90err chi2   dof
PL    1.637    0.271    -      -           1.96e-03 3.61e-04   69.120 57
CPL  -0.303    1.948      48.7   20.1      2.64e-02 4.36e-01   63.230 56
 
 
=== 1-s peak spectral analysis ===
 
Model Ph_index Ph_90err Epeak  Epeak_90err Norm     Nomr_90err chi2   dof
PL    1.406    0.260    -      -           8.59e-03 1.36e-03   47.180 57
CPL   0.809    0.960      98.5    0.0      1.74e-02 0.00e+00   45.980 56
 
Model      : spectral model: simple power-law (PL) and cutoff power-law (CPL)
Ph_index   : photon index: E^-{Ph_index} (minus sign is not included in the index)
Ph_90err   : 90% error of the photon index
Epeak      : Epeak in keV
Epeak_90err: 90% error of Epeak
Norm       : normalization at 50 keV in PL model and at 1 keV in CPL model
Nomr_90err : 90% error of the normalization
chi2       : Chi-Squared
dof        : degree of freedom
 
=== T90/T50 calculation in the 50-300 keV band (BATSE band) using 64 ms lc ===
 
T90 in the 50-300 keV band: 1.216000 sec.
T50 in the 50-300 keV band: 0.640000 sec.
 
=== Table of the duration information ==
 
        Value   tstart    tstop
T100   12.592    0.304   12.896
T90    12.084    0.496   12.580
T50    10.472    1.064   11.536
Peak    1.000    0.296    1.296
  • Click here for the BAT GCN circular template

    Image

    Pre-slew 15.0-350.0 keV image (Event data)

    #   RAcent    DECcent   POSerr    Theta     Phi              Peak Cts       SNR   Name
      302.4081     4.7471   0.0220    22.4968   -63.6512         0.3837651      8.742 TRIG_00339295                 
     
    Foreground time interval of the image:
      0.304  12.896 (delta_t =  12.592 [sec])
    Background time interval of the image:
    -239.704   0.304 (delta_t = 240.008 [sec])
    

    Lightcurves

    Notes:

    1 s binning

    From T0-310 s to T0+310 s
    From T100_start - 20 s to T100_end + 30 s
    Full time interval

    64 ms binning

    Full time interval
    From T100_start to T100_end
    From T0-5 sec to T0+5 sec

    16 ms binning

    From T100_start-5 s to T100_start+5 s
    Blue+Cyan dotted lines: Time interval of the scaled map
    From 0.000000 to 1.024000
    

    8 ms binning

    From T100_start-3 s to T100_start+3 s
    Blue+Cyan dotted lines: Time interval of the scaled map
    From 0.000000 to 1.024000
    

    2 ms binning

    From T100_start-1 s to T100_start+1 s
    Blue+Cyan dotted lines: Time interval of the scaled map
    From 0.000000 to 1.024000
    

    SN=5 or 10 sec. binning (whichever binning is satisfied first)

    SN=5 or 10 sec. binning (T < 200 sec)

    Quad-rate summed light curves (from T0-300s to T0+1000s)

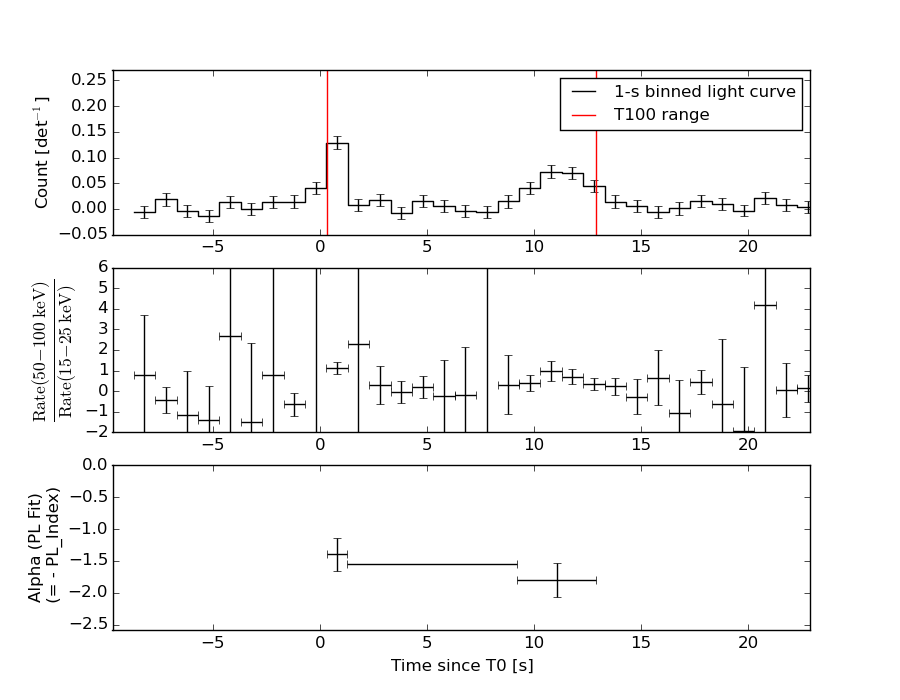
    Spectral Evolution

    Spectra

    Notes:

    Time averaged spectrum fit using the average DRM

    Power-law model
    Time interval is from    0.304 sec. to   12.896 sec.
     
    Spectral model in power-law:
    ------------------------------------------------------------
    Parameters  : value       lower 90%   higher 90%
    Photon index: 1.63677     ( -0.266597   0.27627 )
    Norm@50keV  : 1.96367E-03    ( -0.000363724   0.00035791 )
    ------------------------------------------------------------
    #Fit statistic : Chi-Squared =          69.12 using 59 PHA bins.
    # Reduced chi-squared =          1.213 for     57 degrees of freedom 
    # Null hypothesis probability =   1.302737e-01
     
    Photon flux (15-150 keV)    in 12.59 sec: 0.255299 ( -0.0421889  0.0421968 ) ph/cm2/s
    Energy fluence (15-150 keV)             : 2.30245e-07 ( -4.46701e-08  4.61644e-08 ) ergs/cm2
     
    
    Cutoff power-law model
    Time interval is from    0.304 sec. to   12.896 sec.
    Spectral model in the cutoff power-law:
    ------------------------------------------------------------
    Parameters  : value       lower 90%   higher 90%
    Photon index: -0.302921     ( -2.44872   1.44802 )
    Epeak [keV] : 48.6623      ( -10.3133 29.8929 )
    Norm@50keV  : 2.63700E-02    ( -0.026671   0.84567 )
    ------------------------------------------------------------
    #Fit statistic : Chi-Squared =          63.23 using 59 PHA bins.
    # Reduced chi-squared =          1.129 for     56 degrees of freedom 
    # Null hypothesis probability =   2.363154e-01
     
    Photon flux (15-150 keV)    in 12.59 sec: 0.240540 ( -0.042586  0.043049 ) ph/cm2/s
    Energy fluence (15-150 keV)             : 1.89127e-07 ( -4.45787e-08  5.20382e-08 ) ergs/cm2
     
    
    Band function
    Time interval is from    0.304 sec. to   12.896 sec.
     
    Spectral model in the Band function:
    ------------------------------------------------------------
    Parameters  : value       lower 90%   higher 90%
    alpha       : 0.255160   ( -0.688411   1.42017 )
    beta        : -10.00000    ( 10   20 )
    Epeak [keV] : 49.0508      ( -9.82527 29.5986 )
    Norm@50keV   : 2.46118E-02    ( -0.00394882   0.849555 )
    ------------------------------------------------------------
    #Fit statistic : Chi-Squared =          63.23 using 59 PHA bins.
    # Reduced chi-squared =          1.150 for     55 degrees of freedom 
    # Null hypothesis probability =   2.084574e-01
     
    Photon flux (15-150 keV)    in 12.59 sec:  (    ) ph/cm2/s
    Energy fluence (15-150 keV)             : 2.03004e-07 ( 0  0 ) ergs/cm2
     
    
    Single BB
     
    Spectral model blackbody:
    ------------------------------------------------------------
    Parameters  : value    Lower 90%  Upper 90%
    kT [keV]    : 11.2989  (-1.80239  2.28646)
    R^2/D10^2   : 8.25213E-02  (-0.0407344   0.0737912)
    (R is the radius in km and D10 is the distance to the source in units of 10 kpc)
    ------------------------------------------------------------
    #Fit statistic : Chi-Squared =          64.47 using 59 PHA bins.
    # Reduced chi-squared =          1.131 for     57 degrees of freedom 
    # Null hypothesis probability =   2.316991e-01
     
    Energy  Fluence     90% Error
    [keV]   [erg/cm2]   [erg/cm2]
    15- 25  2.785e-08   8.322e-09
    25- 50  8.147e-08   1.934e-08
    50-150  5.995e-08   2.602e-08
    15-150  1.693e-07   4.053e-08
    
    Thermal bremsstrahlung (OTTB)
     
     
    Spectral model: thermal bremsstrahlung
    ------------------------------------------------------------
    Parameters  : value         Lower 90%    Upper 90%
    kT [keV]    : 124.311       (-56.5207      -122.353)
    Norm        : 1.09055       (-0.193187     0.265049)
    ------------------------------------------------------------
    #Fit statistic : Chi-Squared =          66.58 using 59 PHA bins.
    # Reduced chi-squared =          1.168 for     57 degrees of freedom 
    # Null hypothesis probability =   1.805522e-01
     
    Energy  Fluence     90% Error
    [keV]   [erg/cm2]   [erg/cm2]
    15- 25  3.571e-08   2.028e-08
    25- 50  6.427e-08   3.589e-08
    50-150  1.167e-07   7.711e-08
    15-150  2.166e-07   1.319e-07
    
    Double BB
     
     
    Spectral model: bbodyrad<1> + bbodyrad<2>
    ------------------------------------------------------------
    Parameters  : value         Lower 90%    Upper 90%
    kT1 [keV]   : 8.57263        (-8.71969      3.2103)
    R1^2/D10^2  : 0.160483        (-0.155214      0.372816)
    kT2 [keV]   : 22.1554        (-18.0595      -24.4439)
    R2^2/D10^2  : 3.27419E-03    (-0.00244661   0.0791093)
    ------------------------------------------------------------
    #Fit statistic : Chi-Squared =          61.79 using 59 PHA bins.
    # Reduced chi-squared =          1.123 for     55 degrees of freedom 
    # Null hypothesis probability =   2.465513e-01
     
    Energy  Fluence     90% Error
    [keV]   [erg/cm2]   [erg/cm2]
    15- 25  3.186e-08   2.094e-08
    25- 50  7.514e-08   4.848e-08
    50-150  9.084e-08   5.563e-08
    15-150  1.978e-07   1.157e-07
    

    Peak spectrum fit

    Power-law model
    Time interval is from    0.296 sec. to    1.296 sec.
     
    Spectral model in power-law:
    ------------------------------------------------------------
    Parameters  : value       lower 90%   higher 90%
    Photon index: 1.40571     ( -0.258618   0.26206 )
    Norm@50keV  : 8.59270E-03    ( -0.00136388   0.00135129 )
    ------------------------------------------------------------
    #Fit statistic : Chi-Squared =          47.18 using 59 PHA bins.
    # Reduced chi-squared =         0.8277 for     57 degrees of freedom 
    # Null hypothesis probability =   8.199289e-01
     
    Photon flux (15-150 keV)    in 1 sec: 1.04779 ( -0.160598  0.160698 ) ph/cm2/s
    Energy fluence (15-150 keV)             : 8.29325e-08 ( -1.46505e-08  1.49457e-08 ) ergs/cm2
     
    
    Cutoff power-law model
    Time interval is from    0.296 sec. to    1.296 sec.
    Spectral model in the cutoff power-law:
    ------------------------------------------------------------
    Parameters  : value       lower 90%   higher 90%
    Photon index: 0.809342     ( -1.13833   0.781696 )
    Epeak [keV] : 98.4736      (   )
    Norm@50keV  : 1.73956E-02    (     )
    ------------------------------------------------------------
    #Fit statistic : Chi-Squared =          45.98 using 59 PHA bins.
    # Reduced chi-squared =         0.8211 for     56 degrees of freedom 
    # Null hypothesis probability =   8.278934e-01
     
    Photon flux (15-150 keV)    in 1 sec: 1.02485 ( -0.164489  0.16448 ) ph/cm2/s
    Energy fluence (15-150 keV)             : 7.91777e-08 ( -1.57092e-08  1.6071e-08 ) ergs/cm2
     
    
    Band function
    Time interval is from    0.296 sec. to    1.296 sec.
     
    Spectral model in the Band function:
    ------------------------------------------------------------
    Parameters  : value       lower 90%   higher 90%
    alpha       : -0.879350   ( -0.554509   1.17892 )
    beta        : -9.36918    ( 9.37146   19.3715 )
    Epeak [keV] : 103.918      ( -52.2331 -104.096 )
    Norm@50keV   : 1.61302E-02    ( -0.00852537   0.0487727 )
    ------------------------------------------------------------
    #Fit statistic : Chi-Squared =          45.99 using 59 PHA bins.
    # Reduced chi-squared =         0.8363 for     55 degrees of freedom 
    # Null hypothesis probability =   8.012368e-01
     
    Photon flux (15-150 keV)    in 1 sec: 1.02752 ( 5.97248  -0.156177 ) ph/cm2/s
    Energy fluence (15-150 keV)             : 7.96408e-08 ( -7.96338e-08  -1.62206e-08 ) ergs/cm2
     
    
    Single BB
     
    Spectral model blackbody:
    ------------------------------------------------------------
    Parameters  : value    Lower 90%  Upper 90%
    kT [keV]    : 15.4690  (-2.98408  3.81566)
    R^2/D10^2   : 0.109802  (-0.0579981   0.119992)
    (R is the radius in km and D10 is the distance to the source in units of 10 kpc)
    ------------------------------------------------------------
    #Fit statistic : Chi-Squared =          54.43 using 59 PHA bins.
    # Reduced chi-squared =         0.9548 for     57 degrees of freedom 
    # Null hypothesis probability =   5.722417e-01
     
    Energy  Fluence     90% Error
    [keV]   [erg/cm2]   [erg/cm2]
    15- 25  5.471e-09   1.701e-09
    25- 50  2.235e-08   5.815e-09
    50-150  3.689e-08   1.219e-08
    15-150  6.471e-08   1.651e-08
    
    Thermal bremsstrahlung (OTTB)
     
     
    Spectral model: thermal bremsstrahlung
    ------------------------------------------------------------
    Parameters  : value         Lower 90%    Upper 90%
    kT [keV]    : 199.363       (-79.957      -199.363)
    Norm        : 4.30363       (-0.655399     0.655398)
    ------------------------------------------------------------
    #Fit statistic : Chi-Squared =          47.12 using 59 PHA bins.
    # Reduced chi-squared =         0.8266 for     57 degrees of freedom 
    # Null hypothesis probability =   8.216912e-01
     
    Energy  Fluence     90% Error
    [keV]   [erg/cm2]   [erg/cm2]
    15- 25  1.072e-08   6.185e-09
    25- 50  2.061e-08   1.180e-08
    50-150  4.521e-08   2.557e-08
    15-150  7.654e-08   4.365e-08
    
    Double BB
     
     
    Spectral model: bbodyrad<1> + bbodyrad<2>
    ------------------------------------------------------------
    Parameters  : value         Lower 90%    Upper 90%
    kT1 [keV]   : 6.84019        (-2.66805      3.60419)
    R1^2/D10^2  : 1.04947        (-0.759697      5.3422)
    kT2 [keV]   : 25.2007        (-7.36365      18.6695)
    R2^2/D10^2  : 1.66877E-02    (-0.0143041   0.042937)
    ------------------------------------------------------------
    #Fit statistic : Chi-Squared =          44.68 using 59 PHA bins.
    # Reduced chi-squared =         0.8123 for     55 degrees of freedom 
    # Null hypothesis probability =   8.386706e-01
     
    Energy  Fluence     90% Error
    [keV]   [erg/cm2]   [erg/cm2]
    15- 25  9.530e-09   5.640e-09
    25- 50  2.052e-08   1.076e-08
    50-150  5.065e-08   2.882e-08
    15-150  8.070e-08   4.260e-08
    

    Pre-slew spectrum (Pre-slew PHA with pre-slew DRM)

    Power-law model
     
    Spectral model in power-law:
    ------------------------------------------------------------
    Parameters  : value       lower 90%   higher 90%
    Photon index: 1.63677     ( -0.266597   0.27627 )
    Norm@50keV  : 1.96367E-03    ( -0.000363724   0.00035791 )
    ------------------------------------------------------------
    #Fit statistic : Chi-Squared =          69.12 using 59 PHA bins.
    # Reduced chi-squared =          1.213 for     57 degrees of freedom 
    # Null hypothesis probability =   1.302737e-01
     
    Photon flux (15-150 keV)    in 12.59 sec: 0.255299 ( -0.0421889  0.0421968 ) ph/cm2/s
    Energy fluence (15-150 keV)             : 2.30245e-07 ( -4.46701e-08  4.61644e-08 ) ergs/cm2
     
    
    Cutoff power-law model
    Spectral model in the cutoff power-law:
    ------------------------------------------------------------
    Parameters  : value       lower 90%   higher 90%
    Photon index: -0.302921     ( -2.44872   1.44802 )
    Epeak [keV] : 48.6623      ( -10.3133 29.8929 )
    Norm@50keV  : 2.63700E-02    ( -0.026671   0.84567 )
    ------------------------------------------------------------
    #Fit statistic : Chi-Squared =          63.23 using 59 PHA bins.
    # Reduced chi-squared =          1.129 for     56 degrees of freedom 
    # Null hypothesis probability =   2.363154e-01
     
    Photon flux (15-150 keV)    in 12.59 sec: 0.240540 ( -0.042586  0.043049 ) ph/cm2/s
    Energy fluence (15-150 keV)             : 1.89127e-07 ( -4.45787e-08  5.20382e-08 ) ergs/cm2
     
    
    Band function
     
    Spectral model in the Band function:
    ------------------------------------------------------------
    Parameters  : value       lower 90%   higher 90%
    alpha       : 0.255160   ( -0.688411   1.42017 )
    beta        : -10.00000    ( 10   3.9968e-11 )
    Epeak [keV] : 49.0508      ( -9.82527 29.5986 )
    Norm@50keV   : 2.46118E-02    ( -0.00394882   0.849555 )
    ------------------------------------------------------------
    #Fit statistic : Chi-Squared =          63.23 using 59 PHA bins.
    # Reduced chi-squared =          1.150 for     55 degrees of freedom 
    # Null hypothesis probability =   2.084574e-01
     
    Photon flux (15-150 keV)    in 12.59 sec:  (    ) ph/cm2/s
    Energy fluence (15-150 keV)             : 2.03004e-07 ( 0  0 ) ergs/cm2
     
    

    S(25-50 keV) vs. S(50-100 keV) plot

    S(25-50 keV)  = 6.07e-08
    S(50-100 keV) = 7.81e-08
    

    T90 vs. Hardness ratio plot

    T90                                   = 12.0840000212193 sec.
    Hardness ratio (energy fluence ratio) = 1.28666
    

    Color vs. Color plot

    Count Ratio  (25-50 keV) / (15-25 keV) = 1.39158
    Count Ratio (50-100 keV) / (15-25 keV) = 0.747399
    

    Mask shadow pattern

    IMX = 1.838131844421850E-01, IMY = 3.711207899623837E-01
    

    TIME vs. PHA plot around the trigger time

    Blue+Cyan dotted lines: Time interval of the scaled map
    From 0.000000 to 1.024000
    

    TIME vs. DetID plot around the trigger time

    Blue+Cyan dotted lines: Time interval of the scaled map
    From 0.000000 to 1.024000
    

    100 us light curve (15-350 keV)

    Blue+Cyan dotted lines: Time interval of the scaled map
    From 0.000000 to 1.024000
    

    Spacecraft aspect plot

    Bright source in the pre-burst/pre-slew/post-slew images

    Pre-burst image of 15-350 keV band

    Time interval of the image:
    -239.704000 0.304000
     
    # RAcent  DECcent POSerr Theta    Phi  PeakCts   SNR AngSep     Name
    #  [deg]    [deg]    ['] [deg]  [deg]                   [']
    288.7764  10.9486    1.2  31.4  -36.8   2.3661   9.2    1.3	GRS 1915+105                  
    299.5834  35.2056    0.4  24.4   19.3   6.7163  30.8    0.4	Cyg X-1                       
    308.0854  40.9848    1.5  24.3   40.9   1.7815   7.8    2.2	Cyg X-3                       
    326.2165  38.2234    5.9  19.9   77.6   0.4670   1.9    6.3	Cyg X-2                       
    291.1140  57.4075    2.9  44.0   41.4   2.4341   4.0 ------	UNKNOWN                       
     13.4975   3.5339    2.9  54.3  163.3   4.5756   4.0 ------	UNKNOWN                       
    269.2900  29.6840    2.8  47.2   -3.2   1.6774   4.1 ------	UNKNOWN                       
    273.3747  -1.7047    3.0  50.5  -45.4   4.5677   3.9 ------	UNKNOWN                       
    303.9722 -18.5668    3.7  40.9  -92.5   3.4882   3.2 ------	UNKNOWN                       
    

    Pre-slew background subtracted image of 15-350 keV band

    Time interval of the image:
    0.304000 12.896000
     
    # RAcent  DECcent POSerr Theta    Phi  PeakCts   SNR AngSep     Name
    #  [deg]    [deg]    ['] [deg]  [deg]                   [']
    288.7902  10.9942   14.4  31.3  -36.7  -0.0372  -0.8    3.0	GRS 1915+105                  
    299.5548  35.1749    6.3  24.4   19.2   0.0771   1.8    2.4	Cyg X-1                       
    308.1380  40.8330   10.8  24.1   40.8   0.0504   1.1    7.3	Cyg X-3                       
    326.1090  38.5187    0.0  20.1   77.1  -0.1023  -2.1   12.2	Cyg X-2                       
    359.1220  42.7505    2.5  40.4  109.0   0.7263   4.7 ------	UNKNOWN                       
    277.6106  16.2390    2.5  40.6  -23.5   0.2495   4.6 ------	UNKNOWN                       
    302.4081   4.7472    1.3  22.5  -63.7   0.3837   8.7 ------	UNKNOWN                       
    

    Post-slew image of 15-350 keV band

    Time interval of the image:
    368.396600 962.416000
     
    # RAcent  DECcent POSerr Theta    Phi  PeakCts   SNR AngSep     Name
    #  [deg]    [deg]    ['] [deg]  [deg]                   [']
     83.6355  22.0080    0.2  24.3  122.7  26.1086  48.9    0.4	Crab                          
    122.1008  28.7485    2.5  40.2   59.7   6.3705   4.7 ------	UNKNOWN                       
     52.1811   2.7798    2.7  47.1  174.1   3.8073   4.2 ------	UNKNOWN                       
    107.0907  56.2953    2.8  22.6   11.3   1.7051   4.0 ------	UNKNOWN                       
    178.7683  64.5774    3.3  55.1   -7.6   5.6271   3.5 ------	UNKNOWN                       
     32.7373  -0.0620    2.8  58.8 -166.0  12.1613   4.1 ------	UNKNOWN                       
    234.8645  83.2232    4.3  51.1  -35.1   4.4877   2.7 ------	UNKNOWN                       
     11.5817  53.2742    3.8  40.9  -93.2   7.8230   3.1 ------	UNKNOWN                       
    
    Plot creation:
    Sun May 31 05:05:12 EDT 2015