batgrbproduct Analysis for Trigger=340573

Analysis Summary

Notes:

======================================================================
                  BAT GRB EVENT DATA PROCESSING REPORT
    Process Script Ver: batgrbproduct v2.42
    Process Start Time (local time): Thu Jan 22 12:42:06 EST 2009
             Host Name: gcn5
   Current Working Dir: /local/data/raid2/prebascript/trigger340573/GCN5_download_cron
======================================================================

  Trigger: 00340573      Segment: 000

  BAT Trigger Time: 254280765.984   [s; MET]
      Trigger Stop: 254280766.048   [s; MET]
               UTC: 2009-01-22T01:32:41.548400    [includes UTCF correction] 
       Where From?: (*SHORT BURST*) TDRSS scaled map message

  BAT 
    RA: 237.705247586623   Dec: -54.3196370090835  [deg; J2000]

     Catalogged Source?: NO
     Point Source?:      YES
     GRB Indicated?:     YES    [ by BAT flight software ]
     Image S/N Ratio:    22.86
     Image Trigger?:     NO
     Rate S/N Ratio:     192.553888561099  [ if not an image trigger ]
     Image S/N Ratio:    22.86

  Flight Position:   [ source = BAT ]
    RA: 237.705247586623   Dec: -54.3196370090835  [deg; J2000]

  Ground Position:   [ source = BAT pre-slew burst ]
    RA: 237.676495322939   Dec: -54.3093936966005  [deg; J2000]  
        { 15h 50m 42.4s , -54d 18' 33.8" }
         +/- 2.47159956745868 [arcmin] (estimated 90% radius based on SNR)
         +/- 1.51244639826335 [arcmin] (formal 1-sigma fit error)
    SNR: 8.35066533813888
 
  Angular difference between Flight and Ground position is 1.179168 arcmin
 
  Partial Coding Fraction: 0.3515625    [ including projection effects ]

  Duration
     T90: 358.608000010252 +/- 152.320003369088
        Measured from: -44.107999920845
                   to: 314.500000089407     [s; relative to TRIGTIME]
     T50: 206.100000023842 +/- 16.668001932476
        Measured from: -44.0759999155998
                   to: 162.024000108242     [s; relative to TRIGTIME]



  Fluence
     Peak Flux  (peak 1 second)
        Measured from: -44.1800000071526     
                   to: -43.1800000071526     [s; relative to TRIGTIME]
     Total Fluence        
        Measured from: -44.136000007391     
                   to: 446.800000011921     [s; relative to TRIGTIME]
     
             Band 1     Band 2     Band 3     Band 4
              15-25      25-50     50-100    100-350     keV
 Total     3.299519   3.208730   1.229901   0.194502
           0.223766   0.219549   0.197784   0.186483 [error]
 Peak      1.718786   1.738947   0.584372   0.020210
           0.049005   0.049074   0.028739   0.014397 [error]

     [ fluence units of on-axis counts / fully illuminated detector ] 

======================================================================
 
=== Fluence/Peak Flux Summary ===
 
              Model    Band1    Band2    Band3    Band4    Band5    Total      
                       15-25    25-50   50-100  100-350   15-150   15-350   keV
Fluence   Power-law 1.29e-06 1.44e-06 1.15e-06 1.53e-06 4.45e-06 5.41e-06   erg/cm2
              Error 1.41e-07 1.21e-07 1.81e-07 4.58e-07 4.23e-07 6.92e-07   erg/cm2
Peak flux Power-law 2.90e+01 1.45e+01 4.44e+00 1.73e+00 4.89e+01 4.09e+01   ph/cm2/s
              Error 0.00e+00 0.00e+00 0.00e+00 0.00e+00 0.00e+00 0.00e+00   ph/cm2/s
 
Fluence   Cutoff-PL 1.18e-06 1.64e-06 9.85e-07 2.17e-07 3.98e-06 4.02e-06   erg/cm2
              Error 1.60e-07 1.67e-07 2.36e-07 5.25e-07 0.00e+00 0.00e+00   erg/cm2
Peak flux Cutoff-PL 2.03e+01 1.58e+01 4.29e+00 3.28e-01 4.07e+01 4.07e+01   ph/cm2/s
              Error 9.31e-01 6.37e-01 3.05e-01 1.00e-01 1.26e+00 1.26e+00   ph/cm2/s
 
Fluence        Band 1.17e-06 1.63e-06 9.85e-07 3.10e-07 4.00e-06 4.11e-06   erg/cm2
              Error 0.00e+00 0.00e+00 0.00e+00 0.00e+00 0.00e+00 0.00e+00   erg/cm2
Peak flux      Band 2.25e+01 1.72e+01 4.63e+00 3.62e-01 4.46e+01 4.47e+01   ph/cm2/s
              Error 0.00e+00 0.00e+00 0.00e+00 0.00e+00 0.00e+00 0.00e+00   ph/cm2/s
 
=== Time-averaged spectral analysis ===
 
Model Ph_index Ph_90err Epeak  Epeak_90err Norm     Nomr_90err chi2   dof
PL    2.322    0.162    -      -           9.50e-04 1.09e-04   64.100 57
CPL   1.029    0.829      28.6   10.4      5.75e-03 1.01e-02   54.800 56
 
 
=== 1-s peak spectral analysis ===
 
Model Ph_index Ph_90err Epeak  Epeak_90err Norm     Nomr_90err chi2   dof
PL    2.511    0.000    -      -           2.02e-01 0.00e+00  217.360 57
CPL   0.751    0.282      28.1    2.1      2.39e+00 9.90e-01   58.450 56
 
Model      : spectral model: simple power-law (PL) and cutoff power-law (CPL)
Ph_index   : photon index: E^-{Ph_index} (minus sign is not included in the index)
Ph_90err   : 90% error of the photon index
Epeak      : Epeak in keV
Epeak_90err: 90% error of Epeak
Norm       : normalization at 50 keV in PL model and at 1 keV in CPL model
Nomr_90err : 90% error of the normalization
chi2       : Chi-Squared
dof        : degree of freedom
 
=== T90/T50 calculation in the 50-300 keV band (BATSE band) using 64 ms lc ===
 
T90 in the 50-300 keV band: 462.144000 sec.
T50 in the 50-300 keV band: 288.832000 sec.
 
=== Table of the duration information ==
 
        Value   tstart    tstop
T100  490.936  -44.136  446.800
T90   358.608  -44.108  314.500
T50   206.100  -44.076  162.024
Peak    1.000  -44.180  -43.180
  • Click here for the BAT GCN circular template

    Image

    Pre-slew 15-350 keV image (Event data; bkg subtracted)

    #   RAcent  DECcent POSerr  Theta    Phi     Peak Cts     SNR  Name
      237.6765 -54.3094 0.0231   43.6 -144.5       4.6437     8.4  TRIG_00340573       
    ------------------------------------------
     
    Foreground time interval of the image:
    -17.483 233.076 (delta_t = 250.559 [sec])
    234.016 245.296 (delta_t =  11.280 [sec])
    246.016 422.631 (delta_t = 176.615 [sec])
    424.016 446.800 (delta_t =  22.784 [sec])
    Background time interval of the image:
    

    Lightcurves

    Notes:

    1 s binning

    From T0-310 s to T0+310 s
    From T100_start - 20 s to T100_end + 30 s
    Full time interval

    64 ms binning

    Full time interval
    From T100_start to T100_end
    From T0-5 sec to T0+5 sec

    16 ms binning

    From T100_start-5 s to T100_start+5 s
    Blue+Cyan dotted lines: Time interval of the scaled map
    From 0.000000 to 0.064000
    

    8 ms binning

    From T100_start-3 s to T100_start+3 s
    Blue+Cyan dotted lines: Time interval of the scaled map
    From 0.000000 to 0.064000
    

    2 ms binning

    From T100_start-1 s to T100_start+1 s
    Blue+Cyan dotted lines: Time interval of the scaled map
    From 0.000000 to 0.064000
    

    SN=5 or 10 sec. binning (whichever binning is satisfied first)

    SN=5 or 10 sec. binning (T < 200 sec)

    Spectra

    Notes:

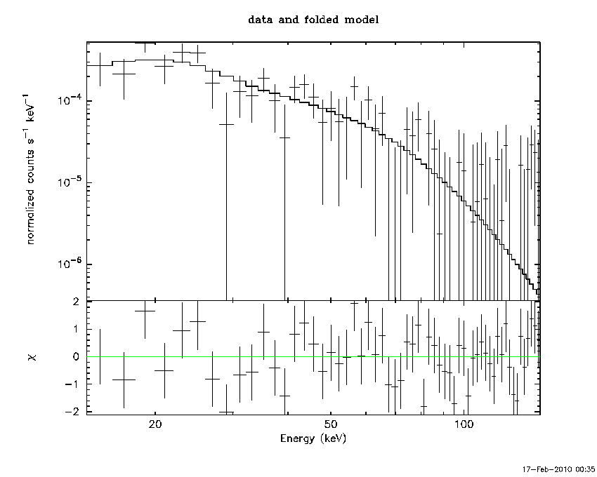
    Time averaged spectrum fit using the pre-slew DRM

    Power-law model
    Multiple GTIs in the spectrum
    tstart tstop
    -44.136000 233.076000
    234.016000 245.296000
    246.016000 422.630700
    424.016000 446.800000
     
    Spectral model in power-law:
    ------------------------------------------------------------
    Parameters  : value       lower 90%   higher 90%
    Photon index: 2.32221     ( -0.157932   0.166069 )
    Norm@50keV  : 9.49672E-04    ( -0.000109367   0.000108078 )
    ------------------------------------------------------------
    # Chi-Squared =          64.10 using 59 PHA bins.
    # Reduced chi-squared =          1.125 for     57 degrees of freedom 
    # Null hypothesis probability =   2.416486e-01
     
    Photon flux (15-150 keV)    in 487.9 sec: 0.168038 ( -0.0137342  0.0137421 ) ph/cm2/s
    Energy fluence (15-150 keV)             : 4.4464e-06 ( -4.18821e-07  4.26202e-07 ) ergs/cm2
     
    
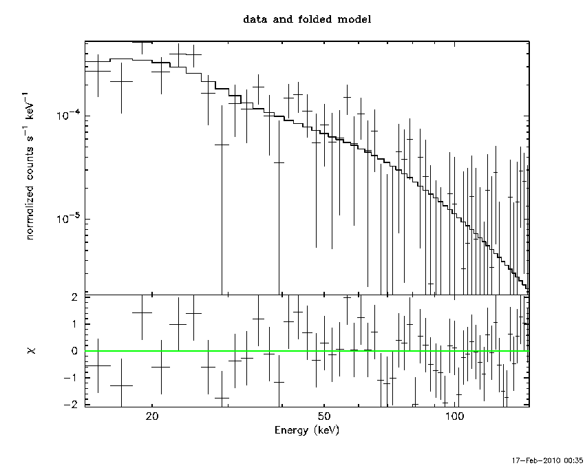
    Cutoff power-law model
    Multiple GTIs in the spectrum
    tstart tstop
    -44.136000 233.076000
    234.016000 245.296000
    246.016000 422.630700
    424.016000 446.800000
    Spectral model in the cutoff power-law:
    ------------------------------------------------------------
    Parameters  : value       lower 90%   higher 90%
    Photon index: 1.02895     ( -0.89602   0.761099 )
    Epeak [keV] : 28.6330      ( -14.5229 6.34031 )
    Norm@50keV  : 5.75295E-03    ( -0.00575291   0.0145049 )
    ------------------------------------------------------------
    # Chi-Squared =          54.80 using 59 PHA bins.
    # Reduced chi-squared =         0.9785 for     56 degrees of freedom 
    # Null hypothesis probability =   5.204565e-01
     
    Photon flux (15-150 keV)    in 487.9 sec: 0.160330 ( -0.014234  0.014288 ) ph/cm2/s
    Energy fluence (15-150 keV)             : 3.98181e-06 ( 4.63339e-07  -3.98181e-06 ) ergs/cm2
     
    
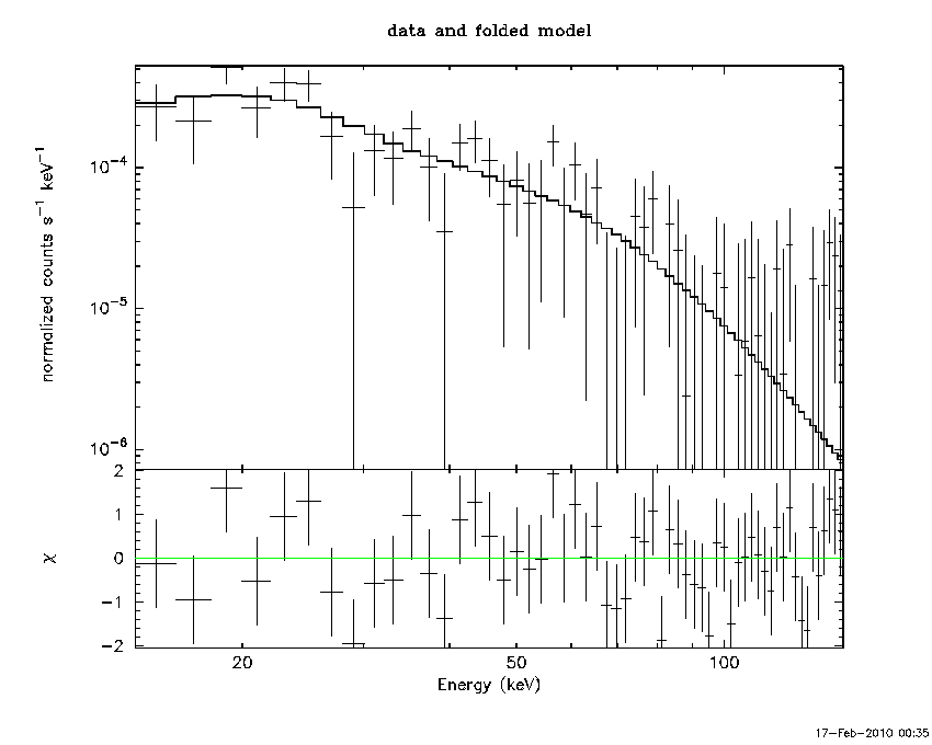
    Band function
    Multiple GTIs in the spectrum
    tstart tstop
    -44.136000 233.076000
    234.016000 245.296000
    246.016000 422.630700
    424.016000 446.800000
     
    Spectral model in the Band function:
    ------------------------------------------------------------
    Parameters  : value       lower 90%   higher 90%
    alpha       : -1.09103   ( -0.291054   1.24534 )
    beta        : -4.33842    ( 4.26344   1.63923 )
    Epeak [keV] : 28.1979      ( -3.41662 5.77428 )
    Norm@50keV   : 5.27697E-03    ( -0.0021322   4.17768 )
    ------------------------------------------------------------
    # Chi-Squared =          54.77 using 59 PHA bins.
    # Reduced chi-squared =         0.9958 for     55 degrees of freedom 
    # Null hypothesis probability =   4.834885e-01
     
    Photon flux (15-150 keV)    in 487.9 sec: 0.160544 ( -0.007249  0.014212 ) ph/cm2/s
    Energy fluence (15-150 keV)             : 3.99775e-06 ( -3.86446e-07  4.52166e-07 ) ergs/cm2
     
    

    Peak spectrum fit

    Power-law model
    Time interval is from  -44.180 sec. to  -43.180 sec.
     
    Spectral model in power-law:
    ------------------------------------------------------------
    Parameters  : value       lower 90%   higher 90%
    Photon index: 2.51087     (     )
    Norm@50keV  : 0.202011    (     )
    ------------------------------------------------------------
    # Chi-Squared =         217.36 using 59 PHA bins.
    # Reduced chi-squared =         3.8134 for     57 degrees of freedom 
    # Null hypothesis probability =   1.448071e-20
     
    Photon flux (15-150 keV)    in 1 sec: 48.9343 (    ) ph/cm2/s
    Energy fluence (15-150 keV)             : 2.32791e-06 ( 0  0 ) ergs/cm2
     
    
    Cutoff power-law model
    Time interval is from  -44.180 sec. to  -43.180 sec.
    Spectral model in the cutoff power-law:
    ------------------------------------------------------------
    Parameters  : value       lower 90%   higher 90%
    Photon index: 0.751086     ( -0.289733   0.273276 )
    Epeak [keV] : 28.1057      ( -2.30263 1.89438 )
    Norm@50keV  : 2.38987    ( -0.762659   1.21672 )
    ------------------------------------------------------------
    # Chi-Squared =          58.45 using 59 PHA bins.
    # Reduced chi-squared =          1.044 for     56 degrees of freedom 
    # Null hypothesis probability =   3.856093e-01
     
    Photon flux (15-150 keV)    in 1 sec: 40.7152 ( -1.2599  1.2598 ) ph/cm2/s
    Energy fluence (15-150 keV)             : 1.99795e-06 ( 0  0 ) ergs/cm2
     
    
    Band function
    Time interval is from  -44.180 sec. to  -43.180 sec.
     
    Spectral model in the Band function:
    ------------------------------------------------------------
    Parameters  : value       lower 90%   higher 90%
    alpha       : -0.748290   ( -0.259065   0.217283 )
    beta        : -9.99997    ( 116068   116078 )
    Epeak [keV] : 28.1227      ( -2.32476 1.87228 )
    Norm@50keV   : 2.39839    ( -0.770626   1.2094 )
    ------------------------------------------------------------
    # Chi-Squared =          58.45 using 59 PHA bins.
    # Reduced chi-squared =          1.063 for     55 degrees of freedom 
    # Null hypothesis probability =   3.499961e-01
     
    Photon flux (15-150 keV)    in 1 sec: 44.6156 ( -1.7  2.2667 ) ph/cm2/s
    Energy fluence (15-150 keV)             : 2.17546e-06 ( -8.2893e-08  9.2858e-08 ) ergs/cm2
     
    

    Pre-slew spectrum (Pre-slew PHA with pre-slew DRM)

    Power-law model
     
    Spectral model in power-law:
    ------------------------------------------------------------
    Parameters  : value       lower 90%   higher 90%
    Photon index: 2.18662     ( -0.284137   0.313863 )
    Norm@50keV  : 5.03086E-04    ( -0.000107753   0.000104821 )
    ------------------------------------------------------------
    # Chi-Squared =          52.89 using 59 PHA bins.
    # Reduced chi-squared =         0.9279 for     57 degrees of freedom 
    # Null hypothesis probability =   6.299422e-01
     
    Photon flux (15-150 keV)    in 461.2 sec: 8.27061E-02 ( -0.012679  0.0126821 ) ph/cm2/s
    Energy fluence (15-150 keV)             : 2.17751e-06 ( -3.97504e-07  4.11659e-07 ) ergs/cm2
     
    
    Cutoff power-law model
    Spectral model in the cutoff power-law:
    ------------------------------------------------------------
    Parameters  : value       lower 90%   higher 90%
    Photon index: 1.05178     ( -1.57953   0.948304 )
    Epeak [keV] : 33.4287      (   )
    Norm@50keV  : 2.35733E-03    (     )
    ------------------------------------------------------------
    # Chi-Squared =          50.49 using 59 PHA bins.
    # Reduced chi-squared =         0.9016 for     56 degrees of freedom 
    # Null hypothesis probability =   6.826208e-01
     
    Photon flux (15-150 keV)    in 461.2 sec: 7.97696E-02 ( -0.0129483  0.0130023 ) ph/cm2/s
    Energy fluence (15-150 keV)             : 1.98688e-06 ( -3.88842e-07  4.43661e-07 ) ergs/cm2
     
    
    Band function
     
    Spectral model in the Band function:
    ------------------------------------------------------------
    Parameters  : value       lower 90%   higher 90%
    alpha       : -1.37281   ( 1.37279   1.37279 )
    beta        : -4.50948    ( 4.30537   14.2989 )
    Epeak [keV] : 31.8860      ( -31.792 17.9704 )
    Norm@50keV   : 1.49727E-03    ( -0.00150266   1636.61 )
    ------------------------------------------------------------
    # Chi-Squared =          50.68 using 59 PHA bins.
    # Reduced chi-squared =         0.9214 for     55 degrees of freedom 
    # Null hypothesis probability =   6.403814e-01
     
    Photon flux (15-150 keV)    in 461.2 sec: 7.983589E-02 ( -0.00659661  0.0129131 ) ph/cm2/s
    Energy fluence (15-150 keV)             : 1.99498e-06 ( -3.72341e-07  4.41341e-07 ) ergs/cm2
     
    

    S(25-50 keV) vs. S(50-100 keV) plot

    S(25-50 keV)  = 1.44122e-06
    S(50-100 keV) = 1.15275e-06
    

    T90 vs. Hardness ratio plot

    T90                                   = 358.608000010252 sec.
    Hardness ratio (energy fluence ratio) = 0.799843
    

    Color vs. Color plot

    Count Ratio  (25-50 keV) / (15-25 keV) = 0.972484
    Count Ratio (50-100 keV) / (15-25 keV) = 0.372752
    

    Mask shadow pattern

    IMX = 0, IMY = 0
    

    TIME vs. PHA plot around the trigger time

    Blue+Cyan dotted lines: Time interval of the scaled map
    From 0.000000 to 0.064000
    

    TIME vs. DetID plot around the trigger time

    Blue+Cyan dotted lines: Time interval of the scaled map
    From 0.000000 to 0.064000
    

    100 us light curve (15-350 keV)

    Blue+Cyan dotted lines: Time interval of the scaled map
    From 0.000000 to 0.064000
    

    Spacecraft aspect plot

    Bright source in the pre-burst/pre-slew/post-slew images

    Pre-burst image of 15-350 keV band

    Time interval of the image:
     
    

    Pre-slew background subtracted image of 15-350 keV band

    Time interval of the image:
    -17.483400 233.076000
    234.016000 245.296000
    246.016000 422.630700
    424.016000 446.800000
     
    # RAcent  DECcent POSerr Theta    Phi  PeakCts   SNR AngSep     Name
    #  [deg]    [deg]    ['] [deg]  [deg]                   [']
    170.3579 -60.6192    2.2  29.8  159.1   2.1675   5.3    1.3	Cen X-3                       
    186.9070 -62.8335    6.1  30.0  175.4   0.6665   1.9    7.8	GX 301-2                      
    170.2542 -61.9404    1.3  28.5  159.8   3.2061   8.7 ------	UNKNOWN                       
     12.1119 -44.6748    2.8  43.5  -23.4   2.0318   4.1 ------	UNKNOWN                       
    237.6849 -54.3116    1.4  43.6 -144.5   4.6201   8.3 ------	UNKNOWN                       
    293.9849 -56.7787    4.3  41.1  -97.8   4.7978   2.7 ------	UNKNOWN                       
    

    Post-slew image of 15-350 keV band

    Time interval of the image:
    -119.984000 -63.224000
    -60.984000 62.077900
     
    # RAcent  DECcent POSerr Theta    Phi  PeakCts   SNR AngSep     Name
    #  [deg]    [deg]    ['] [deg]  [deg]                   [']
    170.6161 -60.6424    6.2  34.1  161.4   0.4526   1.9    8.9	Cen X-3                       
    186.7624 -62.7622    5.2  34.0  175.5  -0.4331  -2.2    2.9	GX 301-2                      
     89.7933 -46.5240    2.4  35.4   73.3   1.7803   4.9 ------	UNKNOWN                       
    167.7034 -43.5169    2.6  50.3  152.5   3.4176   4.5 ------	UNKNOWN                       
    138.3740 -65.8281    2.5  24.2  137.1   0.8047   4.6 ------	UNKNOWN                       
    192.8006 -49.8581    2.8  47.4  176.6   1.3432   4.1 ------	UNKNOWN                       
    237.3044 -48.4465    1.3  51.3 -145.6   4.5206   8.7 ------	UNKNOWN                       
    338.6470 -41.9893    4.0  47.1  -53.5   2.0526   2.9 ------	UNKNOWN                       
    
    Plot creation:
    Wed Feb 17 00:36:54 EST 2010