batgrbproduct Analysis for Trigger=340919

Analysis Summary

Notes:

======================================================================
                  BAT GRB EVENT DATA PROCESSING REPORT
    Process Script Ver: batgrbproduct v2.42
    Process Start Time (local time): Fri Jan 23 13:36:55 EST 2009
             Host Name: gcn5
   Current Working Dir: /local/data/raid2/prebascript/trigger340919/GCN5_download_cron
======================================================================

  Trigger: 00340919      Segment: 000

  BAT Trigger Time: 254412344   [s; MET]
      Trigger Stop: 254412408   [s; MET]
               UTC: 2009-01-23T14:05:39.560340    [includes UTCF correction] 
       Where From?: TDRSS position message

  BAT 
    RA: 170.190752254976   Dec: -61.9441329779638  [deg; J2000]

     Catalogged Source?: NO
     Point Source?:      YES
     GRB Indicated?:     YES    [ by BAT flight software ]
     Image S/N Ratio:    7.8
     Image Trigger?:     YES
     Rate S/N Ratio:     0  [ if not an image trigger ]
     Image S/N Ratio:    7.8

  Flight Position:   [ source = BAT ]
    RA: 170.190752254976   Dec: -61.9441329779638  [deg; J2000]

  Ground Position:   [ source = BAT pre-slew burst ]
    RA: 170.089488225471   Dec: -61.9345905576451  [deg; J2000]  
        { 11h 20m 21.5s , -61d 56' 04.5" }
         +/- 3.28718135116852 [arcmin] (estimated 90% radius based on SNR)
         +/- 1.79397160999844 [arcmin] (formal 1-sigma fit error)
    SNR: 5.55646853503082
 
  Angular difference between Flight and Ground position is 2.914894 arcmin
 
  Partial Coding Fraction: 0.71875    [ including projection effects ]

  Duration
     T90: 0.919999986886978 +/- 0.451486421040818
        Measured from: 194.68000009656
                   to: 195.600000083447     [s; relative to TRIGTIME]
     T50: 0.372000008821487 +/- 0.399969995176766
        Measured from: 195.012000083923
                   to: 195.384000092745     [s; relative to TRIGTIME]



  Fluence
     Peak Flux  (peak 1 second)
        Measured from: 194.641999989748     
                   to: 195.641999989748     [s; relative to TRIGTIME]
     Total Fluence        
        Measured from: 194.648000001907     
                   to: 195.683999985456     [s; relative to TRIGTIME]
     
             Band 1     Band 2     Band 3     Band 4
              15-25      25-50     50-100    100-350     keV
 Total     0.025120   0.014433   0.011724   0.011032
           0.006644   0.006264   0.005329   0.004603 [error]
 Peak      0.025298   0.013809   0.010951   0.011161
           0.006465   0.006134   0.005226   0.004509 [error]

     [ fluence units of on-axis counts / fully illuminated detector ] 

======================================================================
 
=== Fluence/Peak Flux Summary ===
 
              Model    Band1    Band2    Band3    Band4    Band5    Total      
                       15-25    25-50   50-100  100-350   15-150   15-350   keV
Fluence   Power-law 6.62e-09 8.89e-09 8.78e-09 1.56e-08 2.94e-08 3.99e-08   erg/cm2
              Error 3.15e-09 2.93e-09 5.28e-09 2.27e-08 1.19e-08 2.64e-08   erg/cm2
Peak flux Power-law 2.14e-01 1.48e-01 6.75e-02 4.28e-02 4.51e-01 4.72e-01   ph/cm2/s
              Error 1.02e-01 5.20e-02 4.38e-02 5.80e-02 1.52e-01 1.62e-01   ph/cm2/s
 
Fluence   Cutoff-PL 6.62e-09 8.89e-09 8.78e-09 1.55e-08 2.94e-08 3.98e-08   erg/cm2
              Error 3.15e-09 2.93e-09 5.29e-09 2.25e-08 1.19e-08 2.62e-08   erg/cm2
Peak flux Cutoff-PL 2.14e-01 1.48e-01 6.74e-02 4.24e-02 4.50e-01 4.72e-01   ph/cm2/s
              Error 1.02e-01 5.20e-02 4.38e-02 5.75e-02 1.52e-01 1.62e-01   ph/cm2/s
 
Fluence        Band 6.56e-09 9.00e-09 8.58e-09 1.42e-08 2.89e-08 3.79e-08   erg/cm2
              Error 0.00e+00 0.00e+00 0.00e+00 0.00e+00 0.00e+00 0.00e+00   erg/cm2
Peak flux      Band 2.18e-01 1.58e-01 7.46e-02 2.54e-02 4.62e-01 5.04e-01   ph/cm2/s
              Error 0.00e+00 0.00e+00 0.00e+00 0.00e+00 0.00e+00 0.00e+00   ph/cm2/s
 
=== Time-averaged spectral analysis ===
 
Model Ph_index Ph_90err Epeak  Epeak_90err Norm     Nomr_90err chi2   dof
PL    2.017    0.735    -      -           3.07e-03 1.35e-03   51.290 57
CPL   2.081    0.000      36.1    0.0      2.60e-03 0.00e+00   51.100 56
 
 
=== 1-s peak spectral analysis ===
 
Model Ph_index Ph_90err Epeak  Epeak_90err Norm     Nomr_90err chi2   dof
PL    2.135    0.783    -      -           2.81e-03 1.39e-03   52.480 57
CPL   1.864    0.000      25.5    0.0      3.85e-03 0.00e+00   52.800 56
 
Model      : spectral model: simple power-law (PL) and cutoff power-law (CPL)
Ph_index   : photon index: E^-{Ph_index} (minus sign is not included in the index)
Ph_90err   : 90% error of the photon index
Epeak      : Epeak in keV
Epeak_90err: 90% error of Epeak
Norm       : normalization at 50 keV in PL model and at 1 keV in CPL model
Nomr_90err : 90% error of the normalization
chi2       : Chi-Squared
dof        : degree of freedom
 
=== T90/T50 calculation in the 50-300 keV band (BATSE band) using 64 ms lc ===
 
T90 in the 50-300 keV band: 0.000000 sec.
T50 in the 50-300 keV band: 0.000000 sec.
 
=== Table of the duration information ==
 
        Value   tstart    tstop
T100    1.036  194.648  195.684
T90     0.920  194.680  195.600
T50     0.372  195.012  195.384
Peak    1.000  194.642  195.642
  • Click here for the BAT GCN circular template

    Image

    Pre-slew 15-350 keV image (Event data; bkg subtracted)

    #   RAcent  DECcent POSerr  Theta    Phi     Peak Cts     SNR  Name
      170.0895 -61.9346 0.0346   31.7    8.4       0.0686     5.6  TRIG_00340919       
    ------------------------------------------
     
    Foreground time interval of the image:
    194.648 195.684 (delta_t =   1.036 [sec])
    Background time interval of the image:
    -239.000 194.648 (delta_t = 433.648 [sec])
    

    Lightcurves

    Notes:

    1 s binning

    From T0-310 s to T0+310 s
    From T100_start - 20 s to T100_end + 30 s
    Full time interval

    64 ms binning

    Full time interval
    From T100_start to T100_end
    From T0-5 sec to T0+5 sec

    16 ms binning

    From T100_start-5 s to T100_start+5 s
    Blue+Cyan dotted lines: Time interval of the scaled map
    From 0.000000 to 64.000000
    

    8 ms binning

    From T100_start-3 s to T100_start+3 s
    Blue+Cyan dotted lines: Time interval of the scaled map
    From 0.000000 to 64.000000
    

    2 ms binning

    From T100_start-1 s to T100_start+1 s
    Blue+Cyan dotted lines: Time interval of the scaled map
    From 0.000000 to 64.000000
    

    SN=5 or 10 sec. binning (whichever binning is satisfied first)

    SN=5 or 10 sec. binning (T < 200 sec)

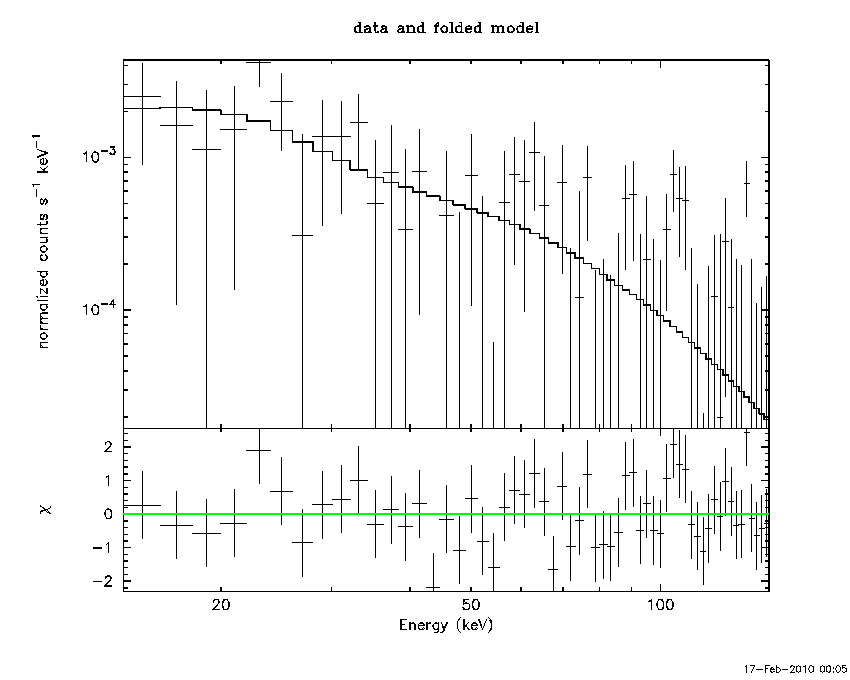
    Spectra

    Notes:

    Time averaged spectrum fit using the pre-slew DRM

    Power-law model
    Time interval is from  194.648 sec. to  195.684 sec.
     
    Spectral model in power-law:
    ------------------------------------------------------------
    Parameters  : value       lower 90%   higher 90%
    Photon index: 2.01719     ( -0.674024   0.79639 )
    Norm@50keV  : 3.07158E-03    ( -0.00142129   0.00127343 )
    ------------------------------------------------------------
    # Chi-Squared =          51.29 using 59 PHA bins.
    # Reduced chi-squared =         0.8998 for     57 degrees of freedom 
    # Null hypothesis probability =   6.882284e-01
     
    Photon flux (15-150 keV)    in 1.036 sec: 0.464468 ( -0.149992  0.150045 ) ph/cm2/s
    Energy fluence (15-150 keV)             : 2.9376e-08 ( -1.1507e-08  1.23363e-08 ) ergs/cm2
     
    
    Cutoff power-law model
    Time interval is from  194.648 sec. to  195.684 sec.
    Spectral model in the cutoff power-law:
    ------------------------------------------------------------
    Parameters  : value       lower 90%   higher 90%
    Photon index: 2.08103     (     )
    Epeak [keV] : 36.0865      (   )
    Norm@50keV  : 2.59936E-03    (     )
    ------------------------------------------------------------
    # Chi-Squared =          51.10 using 59 PHA bins.
    # Reduced chi-squared =         0.9124 for     56 degrees of freedom 
    # Null hypothesis probability =   6.606164e-01
     
    Photon flux (15-150 keV)    in 1.036 sec: 0.464265 ( -0.149942  0.149996 ) ph/cm2/s
    Energy fluence (15-150 keV)             : 2.93638e-08 ( -1.15049e-08  1.23387e-08 ) ergs/cm2
     
    
    Band function
    Time interval is from  194.648 sec. to  195.684 sec.
     
    Spectral model in the Band function:
    ------------------------------------------------------------
    Parameters  : value       lower 90%   higher 90%
    alpha       : -1.32537   ( 1.32536   1.32536 )
    beta        : -2.06220    ( 2.06289   0.714208 )
    Epeak [keV] : 24.0197      ( -23.99 -23.99 )
    Norm@50keV   : 1.02740E-02    ( -0.0102979   2037.13 )
    ------------------------------------------------------------
    # Chi-Squared =          51.25 using 59 PHA bins.
    # Reduced chi-squared =         0.9318 for     55 degrees of freedom 
    # Null hypothesis probability =   6.187503e-01
     
    Photon flux (15-150 keV)    in 1.036 sec: 0.463016 ( -0.149154  0.149166 ) ph/cm2/s
    Energy fluence (15-150 keV)             : 2.89482e-08 ( -1.07309e-08  1.11506e-08 ) ergs/cm2
     
    
    Single BB
     
    Spectral model blackbody:
    ------------------------------------------------------------
    Parameters  : value    Lower 90%  Upper 90%
    kT [keV]    : 6.77125  (-2.04236  3.60994)
    R^2/D10^2   : 0.962292  (-0.962274   3.50702)
    (R is the radius in km and D10 is the distance to the source in units of 10 kpc)
    ------------------------------------------------------------
    # Chi-Squared =          54.35 using 59 PHA bins.
    # Reduced chi-squared =         0.9535 for     57 degrees of freedom 
    # Null hypothesis probability =   5.750934e-01
     
    Energy  Fluence     90% Error
    [keV]   [erg/cm2]   [erg/cm2]
    15- 25  7.085e-09   4.424e-09
    25- 50  9.090e-09   5.491e-09
    50-150  1.334e-09   1.189e-09
    15-150  1.751e-08   1.118e-08
    
    Thermal bremsstrahlung (OTTB)
     
     
    Spectral model: thermal bremsstrahlung
    ------------------------------------------------------------
    Parameters  : value         Lower 90%    Upper 90%
    kT [keV]    : 66.2422       (-47.8652      -66.781)
    Norm        : 2.27828       (-1.01557     2.57921)
    ------------------------------------------------------------
    # Chi-Squared =          52.47 using 59 PHA bins.
    # Reduced chi-squared =         0.9205 for     57 degrees of freedom 
    # Null hypothesis probability =   6.455974e-01
     
    Energy  Fluence     90% Error
    [keV]   [erg/cm2]   [erg/cm2]
    15- 25  6.017e-09   3.924e-09
    25- 50  9.428e-09   5.983e-09
    50-150  1.161e-08   9.350e-09
    15-150  2.706e-08   1.788e-08
    
    Double BB
     
     
    Spectral model: bbodyrad<1> + bbodyrad<2>
    ------------------------------------------------------------
    Parameters  : value         Lower 90%    Upper 90%
    kT1 [keV]   : 5.86820        (-1.84994      2.64727)
    R1^2/D10^2  : 1.59476        (-1.27172      6.72682)
    kT2 [keV]   : 68.2533        (-48.9248      -69.1214)
    R2^2/D10^2  : 3.80352E-04    (-0.000345974   0.00928431)
    ------------------------------------------------------------
    # Chi-Squared =          48.17 using 59 PHA bins.
    # Reduced chi-squared =         0.8758 for     55 degrees of freedom 
    # Null hypothesis probability =   7.311328e-01
     
    Energy  Fluence     90% Error
    [keV]   [erg/cm2]   [erg/cm2]
    15- 25  7.473e-09   4.531e-09
    25- 50  8.144e-09   5.060e-09
    50-150  1.947e-08   1.124e-08
    15-150  3.509e-08   1.934e-08
    

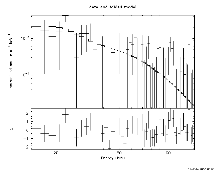
    Peak spectrum fit

    Power-law model
    Time interval is from  194.642 sec. to  195.642 sec.
     
    Spectral model in power-law:
    ------------------------------------------------------------
    Parameters  : value       lower 90%   higher 90%
    Photon index: 2.13541     ( -0.703129   0.862656 )
    Norm@50keV  : 2.81332E-03    ( -0.00144333   0.00132837 )
    ------------------------------------------------------------
    # Chi-Squared =          52.48 using 59 PHA bins.
    # Reduced chi-squared =         0.9208 for     57 degrees of freedom 
    # Null hypothesis probability =   6.450027e-01
     
    Photon flux (15-150 keV)    in 1 sec: 0.450509 ( -0.151558  0.151559 ) ph/cm2/s
    Energy fluence (15-150 keV)             : 2.62357e-08 ( -1.09048e-08  1.19291e-08 ) ergs/cm2
     
    
    Cutoff power-law model
    Time interval is from  194.642 sec. to  195.642 sec.
    Spectral model in the cutoff power-law:
    ------------------------------------------------------------
    Parameters  : value       lower 90%   higher 90%
    Photon index: 1.86447     (     )
    Epeak [keV] : 25.5396      (   )
    Norm@50keV  : 3.85360E-03    (     )
    ------------------------------------------------------------
    # Chi-Squared =          52.80 using 59 PHA bins.
    # Reduced chi-squared =         0.9428 for     56 degrees of freedom 
    # Null hypothesis probability =   5.968050e-01
     
    Photon flux (15-150 keV)    in 1 sec: 0.450314 ( -0.151509  0.15151 ) ph/cm2/s
    Energy fluence (15-150 keV)             : 2.62241e-08 ( -1.09015e-08  1.19301e-08 ) ergs/cm2
     
    
    Band function
    Time interval is from  194.642 sec. to  195.642 sec.
     
    Spectral model in the Band function:
    ------------------------------------------------------------
    Parameters  : value       lower 90%   higher 90%
    alpha       : 0.302396   ( 1.51487   1.51487 )
    beta        : -2.30629    ( 2.21649   0.772811 )
    Epeak [keV] : 22.2638      ( -18.0204 -18.0204 )
    Norm@50keV   : 0.220445    ( -0.220643   948.051 )
    ------------------------------------------------------------
    # Chi-Squared =          52.23 using 59 PHA bins.
    # Reduced chi-squared =         0.9497 for     55 degrees of freedom 
    # Null hypothesis probability =   5.810653e-01
     
    Photon flux (15-150 keV)    in 1 sec: 0.461625 ( -0.149394  0.166299 ) ph/cm2/s
    Energy fluence (15-150 keV)             : 2.72031e-08 ( -1.14625e-08  1.25678e-08 ) ergs/cm2
     
    
    Single BB
     
    Spectral model blackbody:
    ------------------------------------------------------------
    Parameters  : value    Lower 90%  Upper 90%
    kT [keV]    : 6.31605  (-1.88833  3.24354)
    R^2/D10^2   : 1.26618  (-1.26616   4.7052)
    (R is the radius in km and D10 is the distance to the source in units of 10 kpc)
    ------------------------------------------------------------
    # Chi-Squared =          54.39 using 59 PHA bins.
    # Reduced chi-squared =         0.9542 for     57 degrees of freedom 
    # Null hypothesis probability =   5.736512e-01
     
    Energy  Fluence     90% Error
    [keV]   [erg/cm2]   [erg/cm2]
    15- 25  7.199e-09   4.510e-09
    25- 50  8.012e-09   4.974e-09
    50-150  9.014e-10   8.600e-10
    15-150  1.611e-08   9.650e-09
    
    Thermal bremsstrahlung (OTTB)
     
     
    Spectral model: thermal bremsstrahlung
    ------------------------------------------------------------
    Parameters  : value         Lower 90%    Upper 90%
    kT [keV]    : 45.8444       (-31.0047      -45.9162)
    Norm        : 2.62874       (-1.35968     4.68249)
    ------------------------------------------------------------
    # Chi-Squared =          53.50 using 59 PHA bins.
    # Reduced chi-squared =         0.9386 for     57 degrees of freedom 
    # Null hypothesis probability =   6.071953e-01
     
    Energy  Fluence     90% Error
    [keV]   [erg/cm2]   [erg/cm2]
    15- 25  6.290e-09   4.098e-09
    25- 50  8.749e-09   5.540e-09
    50-150  7.807e-09   6.265e-09
    15-150  2.285e-08   1.442e-08
    
    Double BB
    ------------------------------------------------------------
    Parameters  : value         Lower 90%    Upper 90%
    kT1 [keV]   : 5.69963        (-1.70389      2.62154)
    R1^2/D10^2  : 1.83535        (-1.50674      6.74098)
    kT2 [keV]   : 97.8195        (-49.6181      -67.5629)
    R2^2/D10^2  : 1.77751E-04    (   )
    ------------------------------------------------------------
    # Chi-Squared =          49.42 using 59 PHA bins.
    # Chi-Squared =          49.39 using 59 PHA bins.
    # Reduced chi-squared =         0.8985 for     55 degrees of freedom 
    # Reduced chi-squared =         0.8981 for     55 degrees of freedom 
    # Null hypothesis probability =   6.868685e-01
    # Null hypothesis probability =   6.878344e-01
     
    Energy  Fluence     90% Error
    [keV]   [erg/cm2]   [erg/cm2]
    15- 25  7.430e-09   4.361e-09
    25- 50  7.374e-09   4.271e-09
    50-150  1.708e-08   9.675e-09
    15-150  3.188e-08   1.770e-08
    

    Pre-slew spectrum (Pre-slew PHA with pre-slew DRM)

    Power-law model
     
    Spectral model in power-law:
    ------------------------------------------------------------
    Parameters  : value       lower 90%   higher 90%
    Photon index: 2.01719     ( -0.674024   0.79639 )
    Norm@50keV  : 3.07158E-03    ( -0.00142129   0.00127343 )
    ------------------------------------------------------------
    # Chi-Squared =          51.29 using 59 PHA bins.
    # Reduced chi-squared =         0.8998 for     57 degrees of freedom 
    # Null hypothesis probability =   6.882284e-01
     
    Photon flux (15-150 keV)    in 1.036 sec: 0.464468 ( -0.149992  0.150045 ) ph/cm2/s
    Energy fluence (15-150 keV)             : 2.9376e-08 ( -1.1507e-08  1.23363e-08 ) ergs/cm2
     
    
    Cutoff power-law model
    Spectral model in the cutoff power-law:
    ------------------------------------------------------------
    Parameters  : value       lower 90%   higher 90%
    Photon index: 2.08648     (     )
    Epeak [keV] : 38.6883      (   )
    Norm@50keV  : 2.59002E-03    (     )
    ------------------------------------------------------------
    # Chi-Squared =          51.09 using 59 PHA bins.
    # Reduced chi-squared =         0.9124 for     56 degrees of freedom 
    # Null hypothesis probability =   6.607687e-01
     
    Photon flux (15-150 keV)    in 1.036 sec: 0.464265 ( -0.149942  0.149996 ) ph/cm2/s
    Energy fluence (15-150 keV)             : 2.93638e-08 ( -1.15049e-08  1.23387e-08 ) ergs/cm2
     
    
    Band function
     
    Spectral model in the Band function:
    ------------------------------------------------------------
    Parameters  : value       lower 90%   higher 90%
    alpha       : -1.32537   ( 1.32536   1.32536 )
    beta        : -2.06220    ( 2.06289   0.714208 )
    Epeak [keV] : 24.0197      ( -23.99 -23.99 )
    Norm@50keV   : 1.02740E-02    ( -0.0102979   2037.13 )
    ------------------------------------------------------------
    # Chi-Squared =          51.25 using 59 PHA bins.
    # Reduced chi-squared =         0.9318 for     55 degrees of freedom 
    # Null hypothesis probability =   6.187503e-01
     
    Photon flux (15-150 keV)    in 1.036 sec: 0.463016 ( -0.149154  0.149166 ) ph/cm2/s
    Energy fluence (15-150 keV)             : 2.89482e-08 ( -1.07309e-08  1.11506e-08 ) ergs/cm2
     
    

    S(25-50 keV) vs. S(50-100 keV) plot

    S(25-50 keV)  = 8.88758e-09
    S(50-100 keV) = 8.78189e-09
    

    T90 vs. Hardness ratio plot

    T90                                   = 0.919999986886978 sec.
    Hardness ratio (energy fluence ratio) = 0.988108
    

    Color vs. Color plot

    Count Ratio  (25-50 keV) / (15-25 keV) = 0.574562
    Count Ratio (50-100 keV) / (15-25 keV) = 0.46672
    

    Mask shadow pattern

    IMX = 6.109938645193879E-01, IMY = -8.996194494712741E-02
    

    TIME vs. PHA plot around the trigger time

    Blue+Cyan dotted lines: Time interval of the scaled map
    From 0.000000 to 64.000000
    

    TIME vs. DetID plot around the trigger time

    Blue+Cyan dotted lines: Time interval of the scaled map
    From 0.000000 to 64.000000
    

    100 us light curve (15-350 keV)

    Blue+Cyan dotted lines: Time interval of the scaled map
    From 0.000000 to 64.000000
    

    Spacecraft aspect plot

    Bright source in the pre-burst/pre-slew/post-slew images

    Pre-burst image of 15-350 keV band

    Time interval of the image:
    -239.000000 194.648000
     
    # RAcent  DECcent POSerr Theta    Phi  PeakCts   SNR AngSep     Name
    #  [deg]    [deg]    ['] [deg]  [deg]                   [']
    170.3830 -60.6169    2.2  31.1   10.7   1.7889   5.3    2.0	Cen X-3                       
    186.6867 -62.7772    0.9  25.7   -1.8   3.8992  12.8    0.9	GX 301-2                      
    244.9827 -15.6526    0.5  39.1 -148.4  11.6673  24.0    0.8	Sco X-1                       
    255.9618 -37.8965    3.0  34.5 -108.0   2.0418   3.9    3.4	4U 1700-377                   
    256.4224 -36.4729   21.1  35.4 -110.1   0.2997   0.6    3.1	GX 349+2                      
    264.9164 -44.3104    0.0  39.0  -94.3   0.4199   0.3   11.2	4U 1735-44                    
    171.5135 -20.7268    3.5  39.0   82.4   4.2721   3.3 ------	UNKNOWN                       
    161.3707 -49.0242    3.3  35.0   32.9   1.5304   3.5 ------	UNKNOWN                       
    201.3876 -43.0095    1.7   7.2   46.4   1.8417   6.7 ------	UNKNOWN                       
    170.2193 -61.9688    1.5  31.7    8.3   2.7778   7.7 ------	UNKNOWN                       
    239.5302 -28.3967    2.7  26.7 -137.4   1.2376   4.2 ------	UNKNOWN                       
    249.9408  -6.1672    2.6  49.5 -151.8   3.1240   4.4 ------	UNKNOWN                       
    

    Pre-slew background subtracted image of 15-350 keV band

    Time interval of the image:
    194.648000 195.684000
     
    # RAcent  DECcent POSerr Theta    Phi  PeakCts   SNR AngSep     Name
    #  [deg]    [deg]    ['] [deg]  [deg]                   [']
    170.5444 -60.5173    3.3  31.0   10.8   0.0412   3.5    9.3	Cen X-3                       
    186.8909 -62.8553    8.7  25.7   -2.1   0.0129   1.3    8.2	GX 301-2                      
    245.0107 -15.6560    5.6  39.1 -148.3   0.0293   2.0    2.0	Sco X-1                       
    255.9147 -37.7885   12.6  34.5 -108.2  -0.0153  -0.9    4.8	4U 1700-377                   
    256.4193 -36.5448    6.0  35.4 -110.0   0.0341   1.9    7.3	GX 349+2                      
    264.7809 -44.5351    6.0  38.9  -94.0  -0.0628  -2.0    5.4	4U 1735-44                    
    208.9378 -14.1119    2.2  27.3  148.6   0.0605   5.1 ------	UNKNOWN                       
    170.0925 -61.9345    2.0  31.7    8.4   0.0702   5.7 ------	UNKNOWN                       
    

    Post-slew image of 15-350 keV band

    Time interval of the image:
    437.400590 478.590000
     
    # RAcent  DECcent POSerr Theta    Phi  PeakCts   SNR AngSep     Name
    #  [deg]    [deg]    ['] [deg]  [deg]                   [']
    299.6003  35.1995  963.2  58.6  -20.6   0.0263   0.0    0.5	Cyg X-1                       
    308.1058  41.0631    4.3  55.8  -10.5   3.1227   2.7    6.6	Cyg X-3                       
    326.2769  38.3915   16.8  44.1    0.0  -0.4051  -0.7    6.5	Cyg X-2                       
    358.0528  37.0200    2.7  37.8   37.5   2.8963   4.3 ------	UNKNOWN                       
    327.1094  33.5189    3.4  39.8   -3.5   1.7287   3.4 ------	UNKNOWN                       
    317.5415  13.8665    2.9  35.0  -38.4   1.9524   4.0 ------	UNKNOWN                       
    
    Plot creation:
    Wed Feb 17 00:07:41 EST 2010