batgrbproduct Analysis for Trigger=340923

Analysis Summary

Notes:

======================================================================
                  BAT GRB EVENT DATA PROCESSING REPORT
    Process Script Ver: batgrbproduct v2.42
    Process Start Time (local time): Fri Jan 23 14:10:07 EST 2009
             Host Name: gcn5
   Current Working Dir: /local/data/raid2/prebascript/trigger340923/GCN5_download_cron
======================================================================

  Trigger: 00340923      Segment: 000

  BAT Trigger Time: 254414909.536   [s; MET]
      Trigger Stop: 254414909.552   [s; MET]
               UTC: 2009-01-23T14:48:25.096260    [includes UTCF correction] 
       Where From?: (*SHORT BURST*) TDRSS scaled map message

  BAT 
    RA: 237.702935804616   Dec: -54.316287107192  [deg; J2000]

     Catalogged Source?: NO
     Point Source?:      YES
     GRB Indicated?:     YES    [ by BAT flight software ]
     Image S/N Ratio:    15.71
     Image Trigger?:     NO
     Rate S/N Ratio:     94.0956959695819  [ if not an image trigger ]
     Image S/N Ratio:    15.71

  Flight Position:   [ source = BAT ]
    RA: 237.702935804616   Dec: -54.316287107192  [deg; J2000]

  Ground Position:   [ source = BAT pre-slew burst ]
    RA: 237.710799544383   Dec: -54.3146816831551  [deg; J2000]  
        { 15h 50m 50.6s , -54d 18' 52.9" }
         +/- 1.09777766945187 [arcmin] (estimated 90% radius based on SNR)
         +/- 0.380709153365653 [arcmin] (formal 1-sigma fit error)
    SNR: 26.6219998535197
 
  Angular difference between Flight and Ground position is 0.291595 arcmin
 
  Partial Coding Fraction: 0.390625    [ including projection effects ]

  Duration
     T90: 0.224000006914139 +/- 0.0441814445652141
        Measured from: -0.0159999132156372
                   to: 0.208000093698502     [s; relative to TRIGTIME]
     T50: 0.108000010251999 +/- 0.00894427670812023
        Measured from: 0.00400006771087646
                   to: 0.112000077962875     [s; relative to TRIGTIME]



  Fluence
     Peak Flux  (peak 1 second)
        Measured from: -0.380000025033951     
                   to: 0.619999974966049     [s; relative to TRIGTIME]
     Total Fluence        
        Measured from: -0.0200000107288361     
                   to: 0.255999982357025     [s; relative to TRIGTIME]
     
             Band 1     Band 2     Band 3     Band 4
              15-25      25-50     50-100    100-350     keV
 Total     0.149483   0.185925   0.099196   0.000612
           0.008907   0.009667   0.007628   0.003889 [error]
 Peak      0.149483   0.185870   0.098580   0.000231
           0.008923   0.009688   0.007657   0.003907 [error]

     [ fluence units of on-axis counts / fully illuminated detector ] 

======================================================================
 
=== Fluence/Peak Flux Summary ===
 
              Model    Band1    Band2    Band3    Band4    Band5    Total      
                       15-25    25-50   50-100  100-350   15-150   15-350   keV
Fluence   Power-law 5.55e-08 7.33e-08 7.09e-08 1.23e-07 2.40e-07 3.22e-07   erg/cm2
              Error 5.07e-09 4.65e-09 6.59e-09 2.20e-08 1.63e-08 2.96e-08   erg/cm2
Peak flux Power-law 1.75e+00 1.43e+00 7.89e-01 6.41e-01 4.25e+00 4.61e+00   ph/cm2/s
              Error 1.71e-01 9.75e-02 8.09e-02 1.23e-01 2.91e-01 3.18e-01   ph/cm2/s
 
Fluence   Cutoff-PL 4.64e-08 8.42e-08 7.82e-08 3.63e-08 2.34e-07 2.45e-07   erg/cm2
              Error 6.03e-09 6.31e-09 8.10e-09 1.66e-08 1.67e-08 2.27e-08   erg/cm2
Peak flux Cutoff-PL 1.59e+00 1.57e+00 8.34e-01 2.89e-01 4.19e+00 4.28e+00   ph/cm2/s
              Error 1.99e-01 1.33e-01 9.28e-02 1.49e-01 2.94e-01 3.24e-01   ph/cm2/s
 
Fluence        Band 4.60e-08 8.39e-08 7.80e-08 3.63e-08 2.34e-07 2.76e-07   erg/cm2
              Error 0.00e+00 0.00e+00 0.00e+00 0.00e+00 0.00e+00 0.00e+00   erg/cm2
Peak flux      Band 5.33e+00 5.35e+00 2.56e+00 6.03e-01 1.37e+01 4.34e+00   ph/cm2/s
              Error 0.00e+00 0.00e+00 0.00e+00 0.00e+00 0.00e+00 0.00e+00   ph/cm2/s
 
=== Time-averaged spectral analysis ===
 
Model Ph_index Ph_90err Epeak  Epeak_90err Norm     Nomr_90err chi2   dof
PL    2.047    0.104    -      -           9.41e-02 6.70e-03   66.370 57
CPL   0.844    0.499      47.3    5.8      3.95e-01 2.52e-01   45.500 56
 
 
=== 1-s peak spectral analysis ===
 
Model Ph_index Ph_90err Epeak  Epeak_90err Norm     Nomr_90err chi2   dof
PL    1.855    0.115    -      -           3.02e-02 2.40e-03   61.060 57
CPL   1.089    0.510      55.3   14.3      7.89e-02 5.46e-02   53.330 56
 
Model      : spectral model: simple power-law (PL) and cutoff power-law (CPL)
Ph_index   : photon index: E^-{Ph_index} (minus sign is not included in the index)
Ph_90err   : 90% error of the photon index
Epeak      : Epeak in keV
Epeak_90err: 90% error of Epeak
Norm       : normalization at 50 keV in PL model and at 1 keV in CPL model
Nomr_90err : 90% error of the normalization
chi2       : Chi-Squared
dof        : degree of freedom
 
=== T90/T50 calculation in the 50-300 keV band (BATSE band) using 64 ms lc ===
 
T90 in the 50-300 keV band: 0.704000 sec.
T50 in the 50-300 keV band: 0.256000 sec.
 
=== Table of the duration information ==
 
        Value   tstart    tstop
T100    0.276   -0.020    0.256
T90     0.224   -0.016    0.208
T50     0.108    0.004    0.112
Peak    1.000   -0.380    0.620
  • Click here for the BAT GCN circular template

    Image

    Pre-slew 15-350 keV image (Event data; bkg subtracted)

    #   RAcent  DECcent POSerr  Theta    Phi     Peak Cts     SNR  Name
      237.7108 -54.3147 0.0072   34.8 -119.8       0.4368    26.6  TRIG_00340923       
    ------------------------------------------
     
    Foreground time interval of the image:
     -0.020   0.256 (delta_t =   0.276 [sec])
    Background time interval of the image:
    -119.536  -0.020 (delta_t = 119.516 [sec])
    

    Lightcurves

    Notes:

    1 s binning

    From T0-310 s to T0+310 s
    From T100_start - 20 s to T100_end + 30 s
    Full time interval

    64 ms binning

    Full time interval
    From T100_start to T100_end
    From T0-5 sec to T0+5 sec

    16 ms binning

    From T100_start-5 s to T100_start+5 s
    Blue+Cyan dotted lines: Time interval of the scaled map
    From 0.000000 to 0.016000
    

    8 ms binning

    From T100_start-3 s to T100_start+3 s
    Blue+Cyan dotted lines: Time interval of the scaled map
    From 0.000000 to 0.016000
    

    2 ms binning

    From T100_start-1 s to T100_start+1 s
    Blue+Cyan dotted lines: Time interval of the scaled map
    From 0.000000 to 0.016000
    

    SN=5 or 10 sec. binning (whichever binning is satisfied first)

    SN=5 or 10 sec. binning (T < 200 sec)

    Spectra

    Notes:

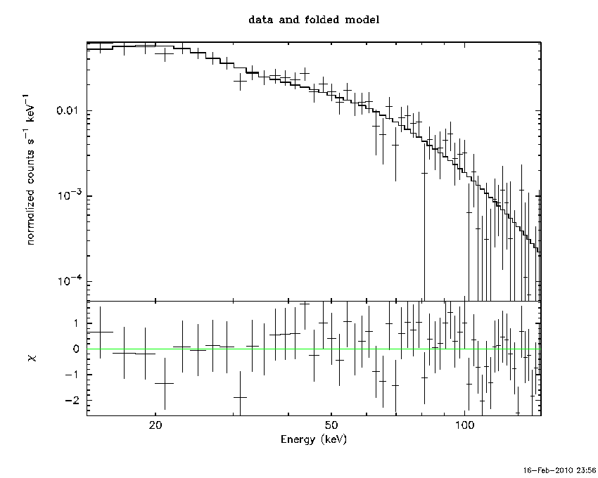
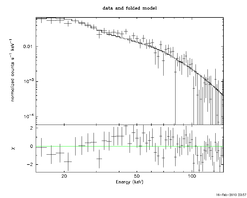
    Time averaged spectrum fit using the pre-slew DRM

    Power-law model
    Time interval is from   -0.020 sec. to    0.256 sec.
     
    Spectral model in power-law:
    ------------------------------------------------------------
    Parameters  : value       lower 90%   higher 90%
    Photon index: 2.04655     ( -0.101586   0.105595 )
    Norm@50keV  : 9.40739E-02    ( -0.00672853   0.00666261 )
    ------------------------------------------------------------
    # Chi-Squared =          66.37 using 59 PHA bins.
    # Reduced chi-squared =          1.164 for     57 degrees of freedom 
    # Null hypothesis probability =   1.852449e-01
     
    Photon flux (15-150 keV)    in 0.276 sec: 14.4218 ( -0.94417  0.945436 ) ph/cm2/s
    Energy fluence (15-150 keV)             : 2.40142e-07 ( -1.63154e-08  1.63562e-08 ) ergs/cm2
     
    
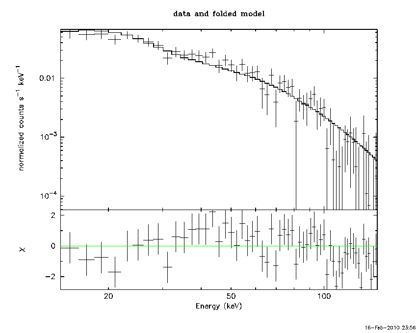
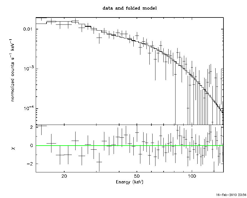
    Cutoff power-law model
    Time interval is from   -0.020 sec. to    0.256 sec.
    Spectral model in the cutoff power-law:
    ------------------------------------------------------------
    Parameters  : value       lower 90%   higher 90%
    Photon index: 0.843918     ( -0.522684   0.474997 )
    Epeak [keV] : 47.3368      ( -5.82099 5.80545 )
    Norm@50keV  : 0.395076    ( -0.168184   0.33504 )
    ------------------------------------------------------------
    # Chi-Squared =          45.50 using 59 PHA bins.
    # Reduced chi-squared =         0.8125 for     56 degrees of freedom 
    # Null hypothesis probability =   8.408669e-01
     
    Photon flux (15-150 keV)    in 0.276 sec: 13.9158 ( -0.9562  0.9612 ) ph/cm2/s
    Energy fluence (15-150 keV)             : 2.33979e-07 ( -1.66632e-08  1.67071e-08 ) ergs/cm2
     
    
    Band function
    Time interval is from   -0.020 sec. to    0.256 sec.
     
    Spectral model in the Band function:
    ------------------------------------------------------------
    Parameters  : value       lower 90%   higher 90%
    alpha       : -0.843718   ( -0.597169   0.412212 )
    beta        : -10.00000    ( 1.59487e+07   1.59487e+07 )
    Epeak [keV] : 47.3246      ( -5.81898 5.80646 )
    Norm@50keV   : 0.395186    ( -0.168293   0.335228 )
    ------------------------------------------------------------
    # Chi-Squared =          45.50 using 59 PHA bins.
    # Reduced chi-squared =         0.8273 for     55 degrees of freedom 
    # Null hypothesis probability =   8.157798e-01
     
    Photon flux (15-150 keV)    in 0.276 sec: 13.9156 ( -0.956  0.9614 ) ph/cm2/s
    Energy fluence (15-150 keV)             : 2.33746e-07 ( -1.66514e-08  1.66762e-08 ) ergs/cm2
     
    
    Single BB
     
    Spectral model blackbody:
    ------------------------------------------------------------
    Parameters  : value    Lower 90%  Upper 90%
    kT [keV]    : 12.0026  (-0.807552  0.84642)
    R^2/D10^2   : 3.53278  (-0.80856   1.05908)
    (R is the radius in km and D10 is the distance to the source in units of 10 kpc)
    ------------------------------------------------------------
    # Chi-Squared =          84.28 using 59 PHA bins.
    # Reduced chi-squared =          1.479 for     57 degrees of freedom 
    # Null hypothesis probability =   1.089790e-02
     
    Energy  Fluence     90% Error
    [keV]   [erg/cm2]   [erg/cm2]
    15- 25  2.971e-08   3.456e-09
    25- 50  9.353e-08   7.066e-09
    50-150  8.103e-08   1.150e-08
    15-150  2.043e-07   1.468e-08
    
    Thermal bremsstrahlung (OTTB)
     
     
    Spectral model: thermal bremsstrahlung
    ------------------------------------------------------------
    Parameters  : value         Lower 90%    Upper 90%
    kT [keV]    : 71.2137       (-10.4766      13.1337)
    Norm        : 71.3289       (-6.63543     7.25821)
    ------------------------------------------------------------
    # Chi-Squared =          48.28 using 59 PHA bins.
    # Reduced chi-squared =         0.8470 for     57 degrees of freedom 
    # Null hypothesis probability =   7.879215e-01
     
    Energy  Fluence     90% Error
    [keV]   [erg/cm2]   [erg/cm2]
    15- 25  5.060e-08   4.692e-09
    25- 50  8.087e-08   5.175e-09
    50-150  1.052e-07   1.374e-08
    15-150  2.367e-07   1.633e-08
    
    Double BB
     
     
    Spectral model: bbodyrad<1> + bbodyrad<2>
    ------------------------------------------------------------
    Parameters  : value         Lower 90%    Upper 90%
    kT1 [keV]   : 4.86928        (-1.44725      1.91059)
    R1^2/D10^2  : 56.3044        (-38.7651      219.253)
    kT2 [keV]   : 15.7915        (-1.90419      2.88218)
    R2^2/D10^2  : 0.998252    (-0.556092   0.907361)
    ------------------------------------------------------------
    # Chi-Squared =          45.68 using 59 PHA bins.
    # Reduced chi-squared =         0.8306 for     55 degrees of freedom 
    # Null hypothesis probability =   8.105193e-01
     
    Energy  Fluence     90% Error
    [keV]   [erg/cm2]   [erg/cm2]
    15- 25  4.820e-08   1.968e-08
    25- 50  8.003e-08   1.875e-08
    50-150  1.035e-07   2.047e-08
    15-150  2.318e-07   4.640e-08
    

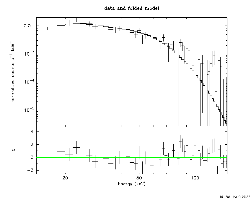
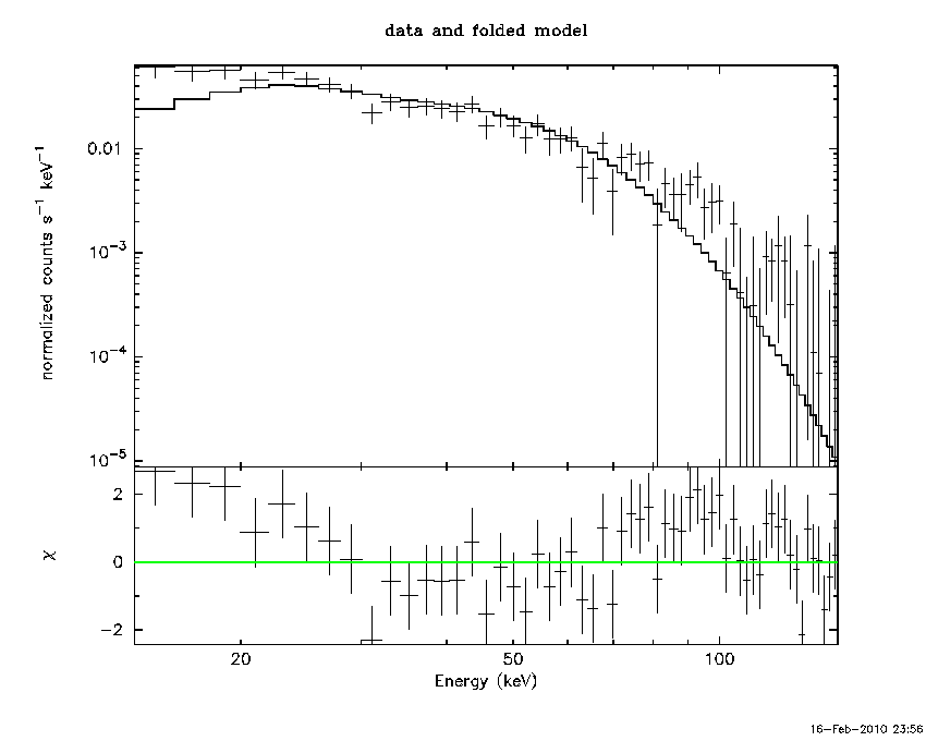
    Peak spectrum fit

    Power-law model
    Time interval is from   -0.380 sec. to    0.620 sec.
     
    Spectral model in power-law:
    ------------------------------------------------------------
    Parameters  : value       lower 90%   higher 90%
    Photon index: 1.85499     ( -0.112686   0.116907 )
    Norm@50keV  : 3.01742E-02    ( -0.00241737   0.00238465 )
    ------------------------------------------------------------
    # Chi-Squared =          61.06 using 59 PHA bins.
    # Reduced chi-squared =          1.071 for     57 degrees of freedom 
    # Null hypothesis probability =   3.321702e-01
     
    Photon flux (15-150 keV)    in 1 sec: 4.24992 ( -0.291224  0.291247 ) ph/cm2/s
    Energy fluence (15-150 keV)             : 2.7743e-07 ( -2.21767e-08  2.23129e-08 ) ergs/cm2
     
    
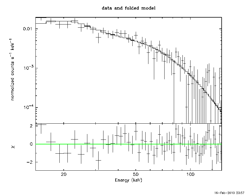
    Cutoff power-law model
    Time interval is from   -0.380 sec. to    0.620 sec.
    Spectral model in the cutoff power-law:
    ------------------------------------------------------------
    Parameters  : value       lower 90%   higher 90%
    Photon index: 1.08872     ( -0.537451   0.482654 )
    Epeak [keV] : 55.3405      ( -8.82542 19.7633 )
    Norm@50keV  : 7.88787E-02    ( -0.0352163   0.0739846 )
    ------------------------------------------------------------
    # Chi-Squared =          53.33 using 59 PHA bins.
    # Reduced chi-squared =         0.9523 for     56 degrees of freedom 
    # Null hypothesis probability =   5.766976e-01
     
    Photon flux (15-150 keV)    in 1 sec: 4.19456 ( -0.29396  0.29394 ) ph/cm2/s
    Energy fluence (15-150 keV)             : 2.67947e-07 ( -2.2815e-08  2.3079e-08 ) ergs/cm2
     
    
    Band function
    Time interval is from   -0.380 sec. to    0.620 sec.
     
    Spectral model in the Band function:
    ------------------------------------------------------------
    Parameters  : value       lower 90%   higher 90%
    alpha       : -1.08919   ( -0.335212   0.770231 )
    beta        : -10.00000    ( 1.41023e+11   1.41023e+11 )
    Epeak [keV] : 55.3486      ( -8.84391 19.7426 )
    Norm@50keV   : 7.88140E-02    ( -0.0351598   0.0740571 )
    ------------------------------------------------------------
    # Chi-Squared =          53.33 using 59 PHA bins.
    # Reduced chi-squared =         0.9696 for     55 degrees of freedom 
    # Null hypothesis probability =   5.387867e-01
     
    Photon flux (15-150 keV)    in 1 sec: 13.7128 ( -0.9439  0.9455 ) ph/cm2/s
    Energy fluence (15-150 keV)             : 8.33489e-07 ( -5.968e-08  5.9683e-08 ) ergs/cm2
     
    
    Single BB
     
    Spectral model blackbody:
    ------------------------------------------------------------
    Parameters  : value    Lower 90%  Upper 90%
    kT [keV]    : 12.0365  (-0.913735  0.975079)
    R^2/D10^2   : 1.06313  (-0.266495   0.356262)
    (R is the radius in km and D10 is the distance to the source in units of 10 kpc)
    ------------------------------------------------------------
    # Chi-Squared =          93.51 using 59 PHA bins.
    # Reduced chi-squared =          1.641 for     57 degrees of freedom 
    # Null hypothesis probability =   1.641431e-03
     
    Energy  Fluence     90% Error
    [keV]   [erg/cm2]   [erg/cm2]
    15- 25  3.258e-08   3.790e-09
    25- 50  1.029e-07   8.510e-09
    50-150  8.983e-08   1.372e-08
    15-150  2.253e-07   1.890e-08
    
    Thermal bremsstrahlung (OTTB)
     
     
    Spectral model: thermal bremsstrahlung
    ------------------------------------------------------------
    Parameters  : value         Lower 90%    Upper 90%
    kT [keV]    : 91.2127       (-17.9343      25.428)
    Norm        : 19.5195       (-1.78639     1.9746)
    ------------------------------------------------------------
    # Chi-Squared =          53.96 using 59 PHA bins.
    # Reduced chi-squared =         0.9466 for     57 degrees of freedom 
    # Null hypothesis probability =   5.899420e-01
     
    Energy  Fluence     90% Error
    [keV]   [erg/cm2]   [erg/cm2]
    15- 25  5.095e-08   5.470e-09
    25- 50  8.643e-08   6.020e-09
    50-150  1.327e-07   4.465e-08
    15-150  2.701e-07   4.770e-08
    
    Double BB
     
     
    Spectral model: bbodyrad<1> + bbodyrad<2>
    ------------------------------------------------------------
    Parameters  : value         Lower 90%    Upper 90%
    kT1 [keV]   : 3.11026        (-1.13764      1.70703)
    R1^2/D10^2  : 122.799        (-105.932      2084.49)
    kT2 [keV]   : 14.6717        (-1.60417      2.3974)
    R2^2/D10^2  : 0.456744    (-0.21821   0.270165)
    ------------------------------------------------------------
    # Chi-Squared =          52.60 using 59 PHA bins.
    # Reduced chi-squared =         0.9564 for     55 degrees of freedom 
    # Null hypothesis probability =   5.667866e-01
     
    Energy  Fluence     90% Error
    [keV]   [erg/cm2]   [erg/cm2]
    15- 25  4.928e-08   1.836e-08
    25- 50  8.511e-08   1.345e-08
    50-150  1.166e-07   1.959e-08
    15-150  2.510e-07   3.690e-08
    

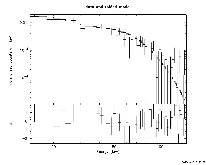
    Pre-slew spectrum (Pre-slew PHA with pre-slew DRM)

    Power-law model
     
    Spectral model in power-law:
    ------------------------------------------------------------
    Parameters  : value       lower 90%   higher 90%
    Photon index: 2.04655     ( -0.101586   0.105595 )
    Norm@50keV  : 9.40739E-02    ( -0.00672853   0.00666261 )
    ------------------------------------------------------------
    # Chi-Squared =          66.37 using 59 PHA bins.
    # Reduced chi-squared =          1.164 for     57 degrees of freedom 
    # Null hypothesis probability =   1.852449e-01
     
    Photon flux (15-150 keV)    in 0.276 sec: 14.4218 ( -0.94417  0.945436 ) ph/cm2/s
    Energy fluence (15-150 keV)             : 2.40142e-07 ( -1.63154e-08  1.63562e-08 ) ergs/cm2
     
    
    Cutoff power-law model
    Spectral model in the cutoff power-law:
    ------------------------------------------------------------
    Parameters  : value       lower 90%   higher 90%
    Photon index: 0.843918     ( -0.522684   0.474997 )
    Epeak [keV] : 47.3368      ( -5.82099 5.80545 )
    Norm@50keV  : 0.395076    ( -0.168184   0.33504 )
    ------------------------------------------------------------
    # Chi-Squared =          45.50 using 59 PHA bins.
    # Reduced chi-squared =         0.8125 for     56 degrees of freedom 
    # Null hypothesis probability =   8.408669e-01
     
    Photon flux (15-150 keV)    in 0.276 sec: 13.9158 ( -0.9562  0.9612 ) ph/cm2/s
    Energy fluence (15-150 keV)             : 2.33979e-07 ( -1.66632e-08  1.67071e-08 ) ergs/cm2
     
    
    Band function
     
    Spectral model in the Band function:
    ------------------------------------------------------------
    Parameters  : value       lower 90%   higher 90%
    alpha       : -0.843718   ( -0.597169   0.412212 )
    beta        : -10.00000    ( 1.59487e+07   1.59487e+07 )
    Epeak [keV] : 47.3246      ( -5.81898 5.80646 )
    Norm@50keV   : 0.395186    ( -0.168293   0.335228 )
    ------------------------------------------------------------
    # Chi-Squared =          45.50 using 59 PHA bins.
    # Reduced chi-squared =         0.8273 for     55 degrees of freedom 
    # Null hypothesis probability =   8.157798e-01
     
    Photon flux (15-150 keV)    in 0.276 sec: 13.9156 ( -0.956  0.9614 ) ph/cm2/s
    Energy fluence (15-150 keV)             : 2.33746e-07 ( -1.66514e-08  1.66762e-08 ) ergs/cm2
     
    

    S(25-50 keV) vs. S(50-100 keV) plot

    S(25-50 keV)  = 7.32543e-08
    S(50-100 keV) = 7.09276e-08
    

    T90 vs. Hardness ratio plot

    T90                                   = 0.224000006914139 sec.
    Hardness ratio (energy fluence ratio) = 0.968238
    

    Color vs. Color plot

    Count Ratio  (25-50 keV) / (15-25 keV) = 1.24379
    Count Ratio (50-100 keV) / (15-25 keV) = 0.663594
    

    Mask shadow pattern

    IMX = -3.443545789135066E-01, IMY = 6.024334045272258E-01
    

    TIME vs. PHA plot around the trigger time

    Blue+Cyan dotted lines: Time interval of the scaled map
    From 0.000000 to 0.016000
    

    TIME vs. DetID plot around the trigger time

    Blue+Cyan dotted lines: Time interval of the scaled map
    From 0.000000 to 0.016000
    

    100 us light curve (15-350 keV)

    Blue+Cyan dotted lines: Time interval of the scaled map
    From 0.000000 to 0.016000
    

    Spacecraft aspect plot

    Bright source in the pre-burst/pre-slew/post-slew images

    Pre-burst image of 15-350 keV band

    Time interval of the image:
    -119.536000 -0.020000
     
    # RAcent  DECcent POSerr Theta    Phi  PeakCts   SNR AngSep     Name
    #  [deg]    [deg]    ['] [deg]  [deg]                   [']
    135.5133 -40.5837    1.5  29.8   70.9   1.5229   7.6    1.9	Vela X-1                      
    170.3976 -60.6294    2.2   1.3  136.4   0.5893   5.2    2.4	Cen X-3                       
    186.6316 -62.7665    0.7   7.7 -125.4   1.8110  16.1    0.7	GX 301-2                      
    170.2443 -61.9083    1.3   0.1  174.5   1.0369   9.0 ------	UNKNOWN                       
    223.2589 -38.5425    2.9  39.6 -149.7   0.7260   4.0 ------	UNKNOWN                       
    239.8325 -32.9560    2.7  51.9 -138.8   2.5615   4.3 ------	UNKNOWN                       
    

    Pre-slew background subtracted image of 15-350 keV band

    Time interval of the image:
    -0.020000 0.256000
     
    # RAcent  DECcent POSerr Theta    Phi  PeakCts   SNR AngSep     Name
    #  [deg]    [deg]    ['] [deg]  [deg]                   [']
    135.6744 -40.4311    4.7  29.8   71.3   0.0233   2.4   10.0	Vela X-1                      
    170.5772 -60.7099    6.9   1.3  140.6   0.0130   1.7    9.3	Cen X-3                       
    186.9709 -62.6879    4.3   7.8 -125.9  -0.0211  -2.6   10.0	GX 301-2                      
    190.9716 -11.9862    2.5  52.2  157.4   0.1258   4.7 ------	UNKNOWN                       
    237.7108 -54.3147    0.4  34.8 -119.8   0.4368  26.7 ------	UNKNOWN                       
    

    Post-slew image of 15-350 keV band

    Time interval of the image:
     
    
    Plot creation:
    Tue Feb 16 23:58:10 EST 2010