batgrbproduct Analysis for Trigger=341055

Analysis Summary

Notes:

======================================================================
                  BAT GRB EVENT DATA PROCESSING REPORT
    Process Script Ver: batgrbproduct v2.42
    Process Start Time (local time): Sun Jan 25 10:35:36 EST 2009
             Host Name: gcn5
   Current Working Dir: /local/data/raid2/prebascript/trigger341055/GCN5_download_cron
======================================================================

  Trigger: 00341055      Segment: 000

  BAT Trigger Time: 254545645.316   [s; MET]
      Trigger Stop: 254545645.38   [s; MET]
               UTC: 2009-01-25T03:07:20.872240    [includes UTCF correction] 
       Where From?: (*SHORT BURST*) TDRSS scaled map message

  BAT 
    RA: 237.701996149324   Dec: -54.3078764497662  [deg; J2000]

     Catalogged Source?: NO
     Point Source?:      YES
     GRB Indicated?:     YES    [ by BAT flight software ]
     Image S/N Ratio:    9.21
     Image Trigger?:     NO
     Rate S/N Ratio:     10.5356537528527  [ if not an image trigger ]
     Image S/N Ratio:    9.21

  Flight Position:   [ source = BAT ]
    RA: 237.701996149324   Dec: -54.3078764497662  [deg; J2000]

  Ground Position:   [ source = BAT pre-slew burst ]
    RA: 237.723807679556   Dec: -54.3760752967797  [deg; J2000]  
        { 15h 50m 53.7s , -54d 22' 33.9" }
         +/- nan [arcmin] (estimated 90% radius based on SNR)
         +/- 4.89761493085657 [arcmin] (formal 1-sigma fit error)
    SNR: -2.03754047788637
 
  Angular difference between Flight and Ground position is 4.162440 arcmin
 
  Partial Coding Fraction: 1.015625    [ including projection effects ]

  Duration
     T90: 49.227999985218 +/- 80.5495059026382
        Measured from: 59.7200000882149
                   to: 108.948000073433     [s; relative to TRIGTIME]
     T50: 28.1759999990463 +/- 16.1517290785898
        Measured from: 65.8160000741482
                   to: 93.9920000731945     [s; relative to TRIGTIME]



  Fluence
     Peak Flux  (peak 1 second)
        Measured from: -0.0300000011920929     
                   to: 0.969999998807907     [s; relative to TRIGTIME]
     Total Fluence        
        Measured from: -0.0240000188350677     
                   to: 162.963999986649     [s; relative to TRIGTIME]
     
             Band 1     Band 2     Band 3     Band 4
              15-25      25-50     50-100    100-350     keV
 Total     0.018002  -0.060984  -0.004717  -0.034187
           0.075033   0.066958   0.056970   0.050025 [error]
 Peak      0.045690   0.023597   0.010345  -0.000351
           0.006376   0.005486   0.004558   0.003848 [error]

     [ fluence units of on-axis counts / fully illuminated detector ] 

======================================================================
 
=== Fluence/Peak Flux Summary ===
 
              Model    Band1    Band2    Band3    Band4    Band5    Total      
                       15-25    25-50   50-100  100-350   15-150   15-350   keV
Fluence   Power-law 1.72e-10 2.08e-09 2.30e-08 1.91e-06 1.03e-07 0.00e+00   erg/cm2
              Error 8.63e-09 7.47e-09 3.17e-08 2.20e-06 1.18e-07 0.00e+00   erg/cm2
Peak flux Power-law 3.68e-01 1.98e-01 6.64e-02 2.89e-02 6.48e-01 6.61e-01   ph/cm2/s
              Error 9.07e-02 4.91e-02 3.48e-02 2.82e-02 1.30e-01 1.35e-01   ph/cm2/s
 
Fluence   Cutoff-PL 3.65e-11 8.57e-10 1.84e-08 4.25e-06 1.14e-07 0.00e+00   erg/cm2
              Error 1.34e-09 3.57e-09 3.00e-08 4.32e-06 1.21e-07 0.00e+00   erg/cm2
Peak flux Cutoff-PL 3.68e-01 1.98e-01 6.63e-02 2.86e-02 6.48e-01 6.61e-01   ph/cm2/s
              Error 9.07e-02 4.91e-02 3.48e-02 2.80e-02 1.30e-01 1.35e-01   ph/cm2/s
 
Fluence        Band 5.70e-12 1.38e-10 8.30e-09 1.05e-05 8.36e-08 0.00e+00   erg/cm2
              Error 0.00e+00 0.00e+00 0.00e+00 0.00e+00 0.00e+00 0.00e+00   erg/cm2
Peak flux      Band 3.69e-01 1.99e-01 6.69e-02 2.91e-02 6.52e-01 6.66e-01   ph/cm2/s
              Error 0.00e+00 0.00e+00 0.00e+00 0.00e+00 0.00e+00 0.00e+00   ph/cm2/s
 
=== Time-averaged spectral analysis ===
 
Model Ph_index Ph_90err Epeak  Epeak_90err Norm     Nomr_90err chi2   dof
PL    1.500    0.000    -      -           0.00e+00 4.04e-05   60.570 57
CPL   2.645    0.000      50.1    0.0      1.33e-35 0.00e+00   60.490 56
 
 
=== 1-s peak spectral analysis ===
 
Model Ph_index Ph_90err Epeak  Epeak_90err Norm     Nomr_90err chi2   dof
PL    2.575    0.525    -      -           3.15e-03 1.25e-03   50.160 57
CPL   1.989    0.000       0.8    0.0      6.79e-03 0.00e+00   51.650 56
 
Model      : spectral model: simple power-law (PL) and cutoff power-law (CPL)
Ph_index   : photon index: E^-{Ph_index} (minus sign is not included in the index)
Ph_90err   : 90% error of the photon index
Epeak      : Epeak in keV
Epeak_90err: 90% error of Epeak
Norm       : normalization at 50 keV in PL model and at 1 keV in CPL model
Nomr_90err : 90% error of the normalization
chi2       : Chi-Squared
dof        : degree of freedom
 
=== T90/T50 calculation in the 50-300 keV band (BATSE band) using 64 ms lc ===
 
T90 in the 50-300 keV band: 0.000000 sec.
T50 in the 50-300 keV band: 0.000000 sec.
 
=== Table of the duration information ==
 
        Value   tstart    tstop
T100  162.988   -0.024  162.964
T90    49.228   59.720  108.948
T50    28.176   65.816   93.992
Peak    1.000   -0.030    0.970
  • Click here for the BAT GCN circular template

    Image

    Pre-slew 15-350 keV image (Event data; bkg subtracted)

    #   RAcent  DECcent POSerr  Theta    Phi     Peak Cts     SNR  Name
      237.7238 -54.3761 0.0945    0.1   -0.7      -0.3982    -2.0  TRIG_00341055       
    ------------------------------------------
     
    Foreground time interval of the image:
     -0.024 162.964 (delta_t = 162.988 [sec])
    Background time interval of the image:
    -119.316  -0.024 (delta_t = 119.292 [sec])
    

    Lightcurves

    Notes:

    1 s binning

    From T0-310 s to T0+310 s
    From T100_start - 20 s to T100_end + 30 s
    Full time interval

    64 ms binning

    Full time interval
    From T100_start to T100_end
    From T0-5 sec to T0+5 sec

    16 ms binning

    From T100_start-5 s to T100_start+5 s
    Blue+Cyan dotted lines: Time interval of the scaled map
    From 0.000000 to 0.064000
    

    8 ms binning

    From T100_start-3 s to T100_start+3 s
    Blue+Cyan dotted lines: Time interval of the scaled map
    From 0.000000 to 0.064000
    

    2 ms binning

    From T100_start-1 s to T100_start+1 s
    Blue+Cyan dotted lines: Time interval of the scaled map
    From 0.000000 to 0.064000
    

    SN=5 or 10 sec. binning (whichever binning is satisfied first)

    SN=5 or 10 sec. binning (T < 200 sec)

    Flight mask-tagged light curves

    Caution: Mask-weight map is always using the same on-axis map

    Quad-rate summed light curves (from T0-300 to T0+1000)

    Spectra

    Notes:

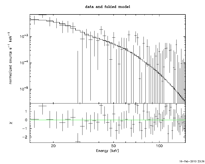
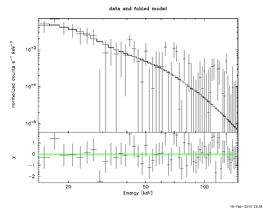
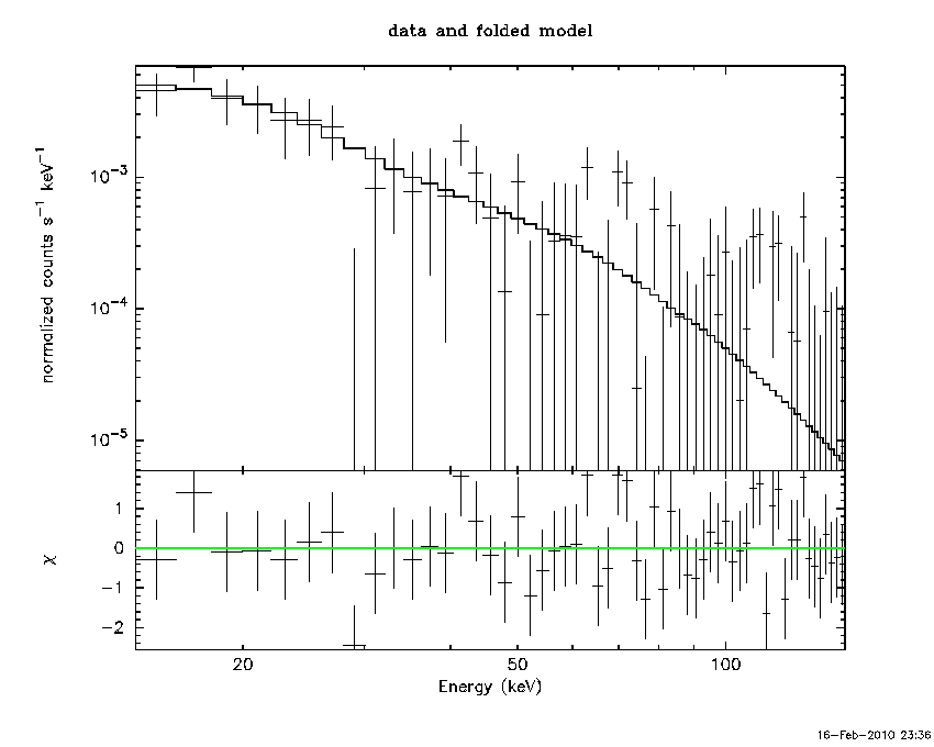
    Time averaged spectrum fit using the pre-slew DRM

    Power-law model
    Time interval is from   -0.024 sec. to  162.964 sec.
     
    Spectral model in power-law:
    ------------------------------------------------------------
    Parameters  : value       lower 90%   higher 90%
    Photon index: 1.50000     ( -1.5   -1.5 )
    Norm@50keV  : 0.0    ( 0   8.08253e-05 )
    ------------------------------------------------------------
    # Chi-Squared =          60.57 using 59 PHA bins.
    # Reduced chi-squared =          1.063 for     57 degrees of freedom 
    # Null hypothesis probability =   3.483950e-01
     
    Photon flux (15-150 keV)    in 163 sec: 3.68240E-03 ( -0.0036824  0.00526332 ) ph/cm2/s
    Energy fluence (15-150 keV)             : 1.0295e-07 ( -1.0295e-07  1.33797e-07 ) ergs/cm2
     
    
    Cutoff power-law model
    Time interval is from   -0.024 sec. to  162.964 sec.
    Spectral model in the cutoff power-law:
    ------------------------------------------------------------
    Parameters  : value       lower 90%   higher 90%
    Photon index: 2.64499     (     )
    Epeak [keV] : 50.0597      (   )
    Norm@50keV  : 1.33336E-35    (     )
    ------------------------------------------------------------
    # Chi-Squared =          60.49 using 59 PHA bins.
    # Reduced chi-squared =          1.080 for     56 degrees of freedom 
    # Null hypothesis probability =   3.169719e-01
     
    Photon flux (15-150 keV)    in 163 sec: 3.71354E-03 ( -0.00371354  0.00515705 ) ph/cm2/s
    Energy fluence (15-150 keV)             : 1.14164e-07 ( -1.14164e-07  1.28153e-07 ) ergs/cm2
     
    
    Band function
    Time interval is from   -0.024 sec. to  162.964 sec.
     
    Spectral model in the Band function:
    ------------------------------------------------------------
    Parameters  : value       lower 90%   higher 90%
    alpha       : 2.08152   ( 0.98395   0.98395 )
    beta        : -8.74371    ( -1.44682   -1.44682 )
    Epeak [keV] : 10000.00      ( -4.16087e+09 -4.16087e+09 )
    Norm@50keV   : 8.05843E-06    ( -7.79512e-06   4.41858e-05 )
    ------------------------------------------------------------
    # Chi-Squared =          58.18 using 59 PHA bins.
    # Reduced chi-squared =          1.058 for     55 degrees of freedom 
    # Null hypothesis probability =   3.590157e-01
     
    Photon flux (15-150 keV)    in 163 sec: 2.535671E-03 ( -0.00253567  0.00522609 ) ph/cm2/s
    Energy fluence (15-150 keV)             : 8.35693e-08 ( -8.35693e-08  1.64154e-07 ) ergs/cm2
     
    

    Peak spectrum fit

    Power-law model
    Time interval is from   -0.030 sec. to    0.970 sec.
     
    Spectral model in power-law:
    ------------------------------------------------------------
    Parameters  : value       lower 90%   higher 90%
    Photon index: 2.57534     ( -0.467518   0.582765 )
    Norm@50keV  : 3.14893E-03    ( -0.00126335   0.001245 )
    ------------------------------------------------------------
    # Chi-Squared =          50.16 using 59 PHA bins.
    # Reduced chi-squared =         0.8799 for     57 degrees of freedom 
    # Null hypothesis probability =   7.275766e-01
     
    Photon flux (15-150 keV)    in 1 sec: 0.648288 ( -0.129794  0.129742 ) ph/cm2/s
    Energy fluence (15-150 keV)             : 3.21698e-08 ( -8.67388e-09  9.32203e-09 ) ergs/cm2
     
    
    Cutoff power-law model
    Time interval is from   -0.030 sec. to    0.970 sec.
    Spectral model in the cutoff power-law:
    ------------------------------------------------------------
    Parameters  : value       lower 90%   higher 90%
    Photon index: 1.98926     (     )
    Epeak [keV] : 0.792318      (   )
    Norm@50keV  : 6.79015E-03    (     )
    ------------------------------------------------------------
    # Chi-Squared =          51.65 using 59 PHA bins.
    # Reduced chi-squared =         0.9223 for     56 degrees of freedom 
    # Null hypothesis probability =   6.401726e-01
     
    Photon flux (15-150 keV)    in 1 sec: 0.648005 ( -0.129754  0.1297 ) ph/cm2/s
    Energy fluence (15-150 keV)             : 3.21608e-08 ( -8.6721e-09  9.3205e-09 ) ergs/cm2
     
    
    Band function
    Time interval is from   -0.030 sec. to    0.970 sec.
     
    Spectral model in the Band function:
    ------------------------------------------------------------
    Parameters  : value       lower 90%   higher 90%
    alpha       : -3.00763   ( 3.00171   3.00171 )
    beta        : -2.57534    ( -0.582521   0.467763 )
    Epeak [keV] : 56.7833      ( -56.7833 -56.7833 )
    Norm@50keV   : 0.427984    ( -0.171832   0.169074 )
    ------------------------------------------------------------
    # Chi-Squared =          50.16 using 59 PHA bins.
    # Reduced chi-squared =         0.9119 for     55 degrees of freedom 
    # Null hypothesis probability =   6.598608e-01
     
    Photon flux (15-150 keV)    in 1 sec: 0.651560 ( -0.137538  0.136813 ) ph/cm2/s
    Energy fluence (15-150 keV)             : 3.19262e-08 ( -7.9196e-09  6.6515e-09 ) ergs/cm2
     
    

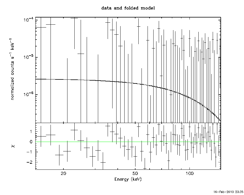
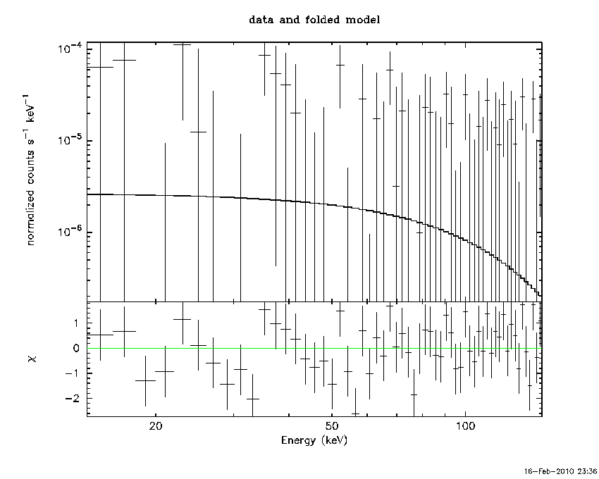
    Pre-slew spectrum (Pre-slew PHA with pre-slew DRM)

    Power-law model
     
    Spectral model in power-law:
    ------------------------------------------------------------
    Parameters  : value       lower 90%   higher 90%
    Photon index: 1.50000     ( -1.5   -1.5 )
    Norm@50keV  : 0.0    ( 0   8.08253e-05 )
    ------------------------------------------------------------
    # Chi-Squared =          60.57 using 59 PHA bins.
    # Reduced chi-squared =          1.063 for     57 degrees of freedom 
    # Null hypothesis probability =   3.483950e-01
     
    Photon flux (15-150 keV)    in 163 sec: 3.68240E-03 ( -0.0036824  0.00526332 ) ph/cm2/s
    Energy fluence (15-150 keV)             : 1.0295e-07 ( -1.0295e-07  1.33797e-07 ) ergs/cm2
     
    
    Cutoff power-law model
    Spectral model in the cutoff power-law:
    ------------------------------------------------------------
    Parameters  : value       lower 90%   higher 90%
    Photon index: 2.64499     (     )
    Epeak [keV] : 50.0597      (   )
    Norm@50keV  : 1.33336E-35    (     )
    ------------------------------------------------------------
    # Chi-Squared =          60.49 using 59 PHA bins.
    # Reduced chi-squared =          1.080 for     56 degrees of freedom 
    # Null hypothesis probability =   3.169719e-01
     
    Photon flux (15-150 keV)    in 163 sec: 3.71354E-03 ( -0.00371354  0.00515705 ) ph/cm2/s
    Energy fluence (15-150 keV)             : 1.14164e-07 ( -1.14164e-07  1.28153e-07 ) ergs/cm2
     
    
    Band function
     
    Spectral model in the Band function:
    ------------------------------------------------------------
    Parameters  : value       lower 90%   higher 90%
    alpha       : 2.08152   ( 0.98395   0.98395 )
    beta        : -8.74371    ( -1.44682   -1.44682 )
    Epeak [keV] : 10000.00      ( -4.16087e+09 -4.16087e+09 )
    Norm@50keV   : 8.05843E-06    ( -7.79512e-06   4.41858e-05 )
    ------------------------------------------------------------
    # Chi-Squared =          58.18 using 59 PHA bins.
    # Reduced chi-squared =          1.058 for     55 degrees of freedom 
    # Null hypothesis probability =   3.590157e-01
     
    Photon flux (15-150 keV)    in 163 sec: 2.535671E-03 ( -0.00253567  0.00522609 ) ph/cm2/s
    Energy fluence (15-150 keV)             : 8.35693e-08 ( -8.35693e-08  1.64154e-07 ) ergs/cm2
     
    

    S(25-50 keV) vs. S(50-100 keV) plot

    S(25-50 keV)  = 2.08185e-09
    S(50-100 keV) = 2.29853e-08
    

    T90 vs. Hardness ratio plot

    T90                                   = 49.227999985218 sec.
    Hardness ratio (energy fluence ratio) = 11.0408
    

    Color vs. Color plot

    Count Ratio  (25-50 keV) / (15-25 keV) = -3.38762
    Count Ratio (50-100 keV) / (15-25 keV) = -0.262026
    

    Mask shadow pattern

    IMX = 0, IMY = 0
    

    TIME vs. PHA plot around the trigger time

    Blue+Cyan dotted lines: Time interval of the scaled map
    From 0.000000 to 0.064000
    

    TIME vs. DetID plot around the trigger time

    Blue+Cyan dotted lines: Time interval of the scaled map
    From 0.000000 to 0.064000
    

    100 us light curve (15-350 keV)

    Blue+Cyan dotted lines: Time interval of the scaled map
    From 0.000000 to 0.064000
    

    Spacecraft aspect plot

    Bright source in the pre-burst/pre-slew/post-slew images

    Pre-burst image of 15-350 keV band

    Time interval of the image:
    -119.316000 -0.024000
     
    # RAcent  DECcent POSerr Theta    Phi  PeakCts   SNR AngSep     Name
    #  [deg]    [deg]    ['] [deg]  [deg]                   [']
    170.3268 -60.6224  136.2  35.1   46.9  -0.0196  -0.1    0.3	Cen X-3                       
    186.6480 -62.7528    0.6  27.1   46.4   3.0832  19.0    1.1	GX 301-2                      
    244.9860 -15.6342    0.5  39.1 -173.8   4.2250  24.2    0.5	Sco X-1                       
    255.9914 -37.9520    4.3  20.6 -140.2   0.3450   2.7    6.5	4U 1700-377                   
    256.4244 -36.4252    2.0  22.0 -141.6   0.7251   5.8    0.6	GX 349+2                      
    262.9146 -24.7100    3.6  35.0 -142.6   0.5490   3.2    5.6	GX 1+4                        
    264.7497 -44.4582   34.9  20.0 -113.4  -0.0431  -0.3    0.6	4U 1735-44                    
    270.3885 -25.1249    5.0  37.9 -132.2   0.5382   2.3    6.3	GX 5-1                        
    270.4281 -25.6590   22.1  37.4 -131.7   0.1159   0.5    8.5	GRS 1758-258                  
    274.1340 -14.0115   15.3  49.3 -135.5  -0.4308  -0.8    7.6	GX 17+2                       
    276.0209 -30.4774    8.2  36.2 -120.4   0.2966   1.4    8.3	H1820-303                     
    223.5330 -37.8329    2.4  19.1  138.8   0.6647   4.8 ------	UNKNOWN                       
    259.5407 -20.2513    2.6  37.9 -150.4   0.7882   4.4 ------	UNKNOWN                       
    267.4817 -28.8059    2.4  33.4 -132.7   0.8306   4.8 ------	UNKNOWN                       
    268.9188 -31.3257    2.7  31.9 -128.2   0.7091   4.3 ------	UNKNOWN                       
    280.7861 -22.0376    3.0  45.6 -122.6   2.2342   3.9 ------	UNKNOWN                       
    291.2712 -35.3142    2.9  41.2  -99.9   2.4455   4.1 ------	UNKNOWN                       
    

    Pre-slew background subtracted image of 15-350 keV band

    Time interval of the image:
    -0.024000 162.964000
     
    # RAcent  DECcent POSerr Theta    Phi  PeakCts   SNR AngSep     Name
    #  [deg]    [deg]    ['] [deg]  [deg]                   [']
    170.0854 -60.5328    4.7  35.3   56.9  -1.0651  -2.4    8.7	Cen X-3                       
    186.6895 -62.7849    0.7  27.1   56.3   4.5538  16.5    1.3	GX 301-2                      
    244.9674 -15.6378    0.8  39.1 -163.9   4.1355  14.1    0.7	Sco X-1                       
    255.8251 -37.8818    3.4  20.6 -130.7   0.7401   3.4    8.0	4U 1700-377                   
    256.4141 -36.4356    3.1  22.0 -131.6   0.8299   3.7    1.3	GX 349+2                      
    262.9386 -24.7367 1672.3  35.0 -132.6   0.0019   0.0    3.9	GX 1+4                        
    264.9336 -44.4027   11.0  20.1 -103.3  -0.2262  -1.1    8.6	4U 1735-44                    
    270.4551 -25.1583   22.3  37.9 -122.1   0.1930   0.5   10.4	GX 5-1                        
    270.4407 -25.6923    5.1  37.4 -121.7  -0.7996  -2.3    8.1	GRS 1758-258                  
    275.9915 -30.1968    7.5  36.5 -110.7  -0.6311  -1.5   10.8	H1820-303                     
     93.5466 -74.0106    1.9  49.4   17.2   3.9108   5.9 ------	UNKNOWN                       
    221.5248  -7.7358    2.3  48.4  163.3   2.6776   4.9 ------	UNKNOWN                       
    187.7694 -73.4294    2.0  27.7   33.0   1.4031   5.9 ------	UNKNOWN                       
    220.6547 -52.6128    1.8  10.3   97.6   1.3119   6.4 ------	UNKNOWN                       
    270.5211 -31.8277    1.9  32.3 -115.7   1.9478   6.1 ------	UNKNOWN                       
    

    Post-slew image of 15-350 keV band

    Time interval of the image:
     
    
    Plot creation:
    Tue Feb 16 23:37:23 EST 2010