batgrbproduct Analysis for Trigger=341452

Analysis Summary

Notes:

======================================================================
                  BAT GRB EVENT DATA PROCESSING REPORT
    Process Script Ver: batgrbproduct v2.42
    Process Start Time (local time): Thu Jan 29 13:44:34 EST 2009
             Host Name: gcn5
   Current Working Dir: /local/data/raid2/prebascript/trigger341452/GCN5_download_cron
======================================================================

  Trigger: 00341452      Segment: 000

  BAT Trigger Time: 254903592   [s; MET]
      Trigger Stop: 254903912   [s; MET]
               UTC: 2009-01-29T06:33:07.545200    [includes UTCF correction] 
       Where From?: TDRSS position message

  BAT 
    RA: 252.047839106946   Dec: -45.2356927497954  [deg; J2000]

     Catalogged Source?: YES
     Point Source?:      YES
     GRB Indicated?:     NO    [ by BAT flight software ]
     Image S/N Ratio:    10.68
     Image Trigger?:     YES
     Rate S/N Ratio:     0  [ if not an image trigger ]
     Image S/N Ratio:    10.68

  Flight Position:   [ source = BAT ]
    RA: 252.047839106946   Dec: -45.2356927497954  [deg; J2000]

  Ground Position:   [ source = BAT pre-slew burst ]
    RA: 251.960458862193   Dec: -45.2368075079326  [deg; J2000]  
        { 16h 47m 50.5s , -45d 14' 12.5" }
         +/- 2.94453427425307 [arcmin] (estimated 90% radius based on SNR)
         +/- 1.83896367857053 [arcmin] (formal 1-sigma fit error)
    SNR: 6.5027138871473
 
  Angular difference between Flight and Ground position is 3.692518 arcmin
 
  Partial Coding Fraction: 0.9921875    [ including projection effects ]

  Duration
     T90: 325.295999974012 +/- 54.3540605981251
        Measured from: -17.9439999163151
                   to: 307.352000057697     [s; relative to TRIGTIME]
     T50: 170.063999980688 +/- 75.8388004171411
        Measured from: 53.4000000953674
                   to: 223.464000076056     [s; relative to TRIGTIME]



  Fluence
     Peak Flux  (peak 1 second)
        Measured from: 198.555999994278     
                   to: 199.555999994278     [s; relative to TRIGTIME]
     Total Fluence        
        Measured from: -40.7439999878407     
                   to: 332.296000003815     [s; relative to TRIGTIME]
     
             Band 1     Band 2     Band 3     Band 4
              15-25      25-50     50-100    100-350     keV
 Total     1.295195   1.119996   0.342535   0.016604
           0.108210   0.098832   0.083981   0.071922 [error]
 Peak      0.006669   0.015025   0.011008   0.007378
           0.005667   0.005267   0.004281   0.003689 [error]

     [ fluence units of on-axis counts / fully illuminated detector ] 

======================================================================
 
=== Fluence/Peak Flux Summary ===
 
              Model    Band1    Band2    Band3    Band4    Band5    Total      
                       15-25    25-50   50-100  100-350   15-150   15-350   keV
Fluence   Power-law 3.66e-07 4.09e-07 3.27e-07 4.34e-07 1.26e-06 1.54e-06   erg/cm2
              Error 5.25e-08 4.64e-08 7.34e-08 1.87e-07 1.66e-07 2.80e-07   erg/cm2
Peak flux Power-law 5.60e-02 6.95e-02 6.27e-02 9.81e-02 2.22e-01 2.86e-01   ph/cm2/s
              Error 6.13e-02 5.58e-02 4.81e-02 1.42e-01 1.15e-01 1.51e-01   ph/cm2/s
 
Fluence   Cutoff-PL 3.44e-07 4.51e-07 2.81e-07 7.99e-08 1.14e-06 1.16e-06   erg/cm2
              Error 5.99e-08 6.67e-08 9.81e-08 2.24e-07 0.00e+00 0.00e+00   erg/cm2
Peak flux Cutoff-PL 5.60e-02 6.96e-02 6.27e-02 9.74e-02 2.22e-01 2.86e-01   ph/cm2/s
              Error 6.13e-02 5.58e-02 4.81e-02 1.41e-01 1.15e-01 1.50e-01   ph/cm2/s
 
Fluence        Band 3.42e-07 4.47e-07 2.84e-07 1.83e-07 1.17e-06 1.26e-06   erg/cm2
              Error 0.00e+00 0.00e+00 0.00e+00 0.00e+00 0.00e+00 0.00e+00   erg/cm2
Peak flux      Band 4.70e-02 7.49e-02 6.55e-02 9.09e-02 2.15e-01 3.00e-01   ph/cm2/s
              Error 0.00e+00 0.00e+00 0.00e+00 0.00e+00 0.00e+00 0.00e+00   ph/cm2/s
 
=== Time-averaged spectral analysis ===
 
Model Ph_index Ph_90err Epeak  Epeak_90err Norm     Nomr_90err chi2   dof
PL    2.323    0.231    -      -           3.52e-04 5.70e-05   50.760 57
CPL   1.460    1.081      23.3    0.0      1.20e-03 0.00e+00   48.540 56
 
 
=== 1-s peak spectral analysis ===
 
Model Ph_index Ph_90err Epeak  Epeak_90err Norm     Nomr_90err chi2   dof
PL    1.149    1.055    -      -           1.90e-03 9.64e-04   58.740 57
CPL   1.150    1.056    9999.4    0.0      1.91e-03 1.21e+00   58.740 56
 
Model      : spectral model: simple power-law (PL) and cutoff power-law (CPL)
Ph_index   : photon index: E^-{Ph_index} (minus sign is not included in the index)
Ph_90err   : 90% error of the photon index
Epeak      : Epeak in keV
Epeak_90err: 90% error of Epeak
Norm       : normalization at 50 keV in PL model and at 1 keV in CPL model
Nomr_90err : 90% error of the normalization
chi2       : Chi-Squared
dof        : degree of freedom
 
=== T90/T50 calculation in the 50-300 keV band (BATSE band) using 64 ms lc ===
 
T90 in the 50-300 keV band: 0.000000 sec.
T50 in the 50-300 keV band: 0.000000 sec.
 
=== Table of the duration information ==
 
        Value   tstart    tstop
T100  373.040  -40.744  332.296
T90   325.296  -17.944  307.352
T50   170.064   53.400  223.464
Peak    1.000  198.556  199.556
  • Click here for the BAT GCN circular template

    Image

    Pre-slew 15-350 keV image (Event data; bkg subtracted)

    #   RAcent  DECcent POSerr  Theta    Phi     Peak Cts     SNR  Name
      251.9605 -45.2368 0.0297   12.9 -133.4       1.8802     6.5  TRIG_00341452       
    ------------------------------------------
     
    Foreground time interval of the image:
    -40.744 332.296 (delta_t = 373.040 [sec])
    Background time interval of the image:
    -239.000 -40.744 (delta_t = 198.256 [sec])
    

    Lightcurves

    Notes:

    1 s binning

    From T0-310 s to T0+310 s
    From T100_start - 20 s to T100_end + 30 s
    Full time interval

    64 ms binning

    Full time interval
    From T100_start to T100_end
    From T0-5 sec to T0+5 sec

    16 ms binning

    From T100_start-5 s to T100_start+5 s
    Blue+Cyan dotted lines: Time interval of the scaled map
    From 0.000000 to 320.000000
    

    8 ms binning

    From T100_start-3 s to T100_start+3 s
    Blue+Cyan dotted lines: Time interval of the scaled map
    From 0.000000 to 320.000000
    

    2 ms binning

    From T100_start-1 s to T100_start+1 s
    Blue+Cyan dotted lines: Time interval of the scaled map
    From 0.000000 to 320.000000
    

    SN=5 or 10 sec. binning (whichever binning is satisfied first)

    SN=5 or 10 sec. binning (T < 200 sec)

    Spectra

    Notes:

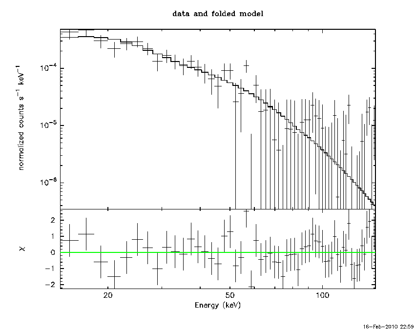
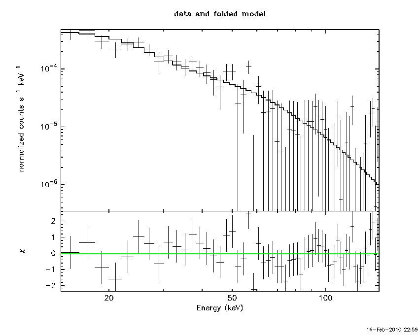
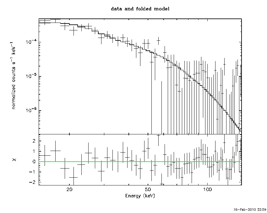
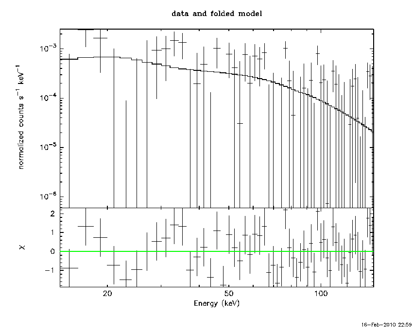
    Time averaged spectrum fit using the pre-slew DRM

    Power-law model
    Time interval is from  -40.744 sec. to  332.296 sec.
     
    Spectral model in power-law:
    ------------------------------------------------------------
    Parameters  : value       lower 90%   higher 90%
    Photon index: 2.32304     ( -0.221718   0.239329 )
    Norm@50keV  : 3.52494E-04    ( -5.74823e-05   5.6498e-05 )
    ------------------------------------------------------------
    # Chi-Squared =          50.76 using 59 PHA bins.
    # Reduced chi-squared =         0.8904 for     57 degrees of freedom 
    # Null hypothesis probability =   7.070018e-01
     
    Photon flux (15-150 keV)    in 373 sec: 6.24004E-02 ( -0.00663782  0.0066392 ) ph/cm2/s
    Energy fluence (15-150 keV)             : 1.26193e-06 ( -1.63156e-07  1.68555e-07 ) ergs/cm2
     
    
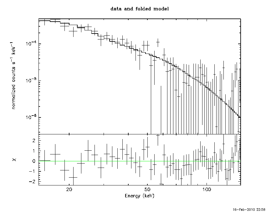
    Cutoff power-law model
    Time interval is from  -40.744 sec. to  332.296 sec.
    Spectral model in the cutoff power-law:
    ------------------------------------------------------------
    Parameters  : value       lower 90%   higher 90%
    Photon index: 1.46010     ( -1.6124   0.5505 )
    Epeak [keV] : 23.2689      (   )
    Norm@50keV  : 1.19823E-03    (     )
    ------------------------------------------------------------
    # Chi-Squared =          48.54 using 59 PHA bins.
    # Reduced chi-squared =         0.8668 for     56 degrees of freedom 
    # Null hypothesis probability =   7.502502e-01
     
    Photon flux (15-150 keV)    in 373 sec: 5.99036E-02 ( -0.0071057  0.0071574 ) ph/cm2/s
    Energy fluence (15-150 keV)             : 1.13744e-06 ( 2.11912e-07  -1.13744e-06 ) ergs/cm2
     
    
    Band function
    Time interval is from  -40.744 sec. to  332.296 sec.
     
    Spectral model in the Band function:
    ------------------------------------------------------------
    Parameters  : value       lower 90%   higher 90%
    alpha       : -1.17083   ( 0.686592   1.61217 )
    beta        : -3.17416    ( 3.34562   1.08744 )
    Epeak [keV] : 26.2042      ( -28.6653 7.17753 )
    Norm@50keV   : 1.82104E-03    ( -0.00182444   0.0372634 )
    ------------------------------------------------------------
    # Chi-Squared =          48.24 using 59 PHA bins.
    # Reduced chi-squared =         0.8771 for     55 degrees of freedom 
    # Null hypothesis probability =   7.285719e-01
     
    Photon flux (15-150 keV)    in 373 sec: 6.023980E-02 ( -0.00700252  0.00689086 ) ph/cm2/s
    Energy fluence (15-150 keV)             : 1.16525e-06 ( -1.33168e-07  1.90569e-07 ) ergs/cm2
     
    

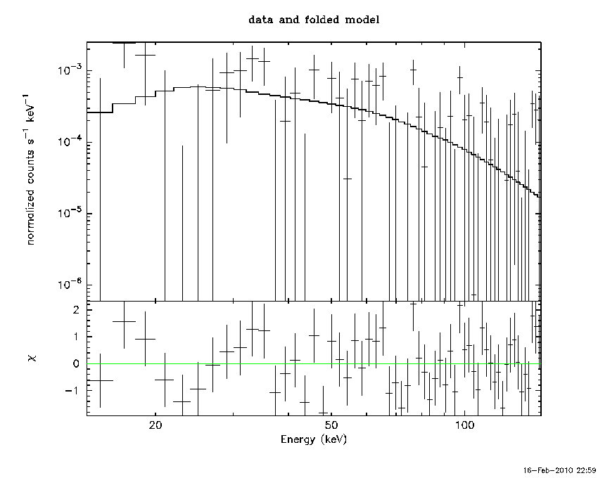
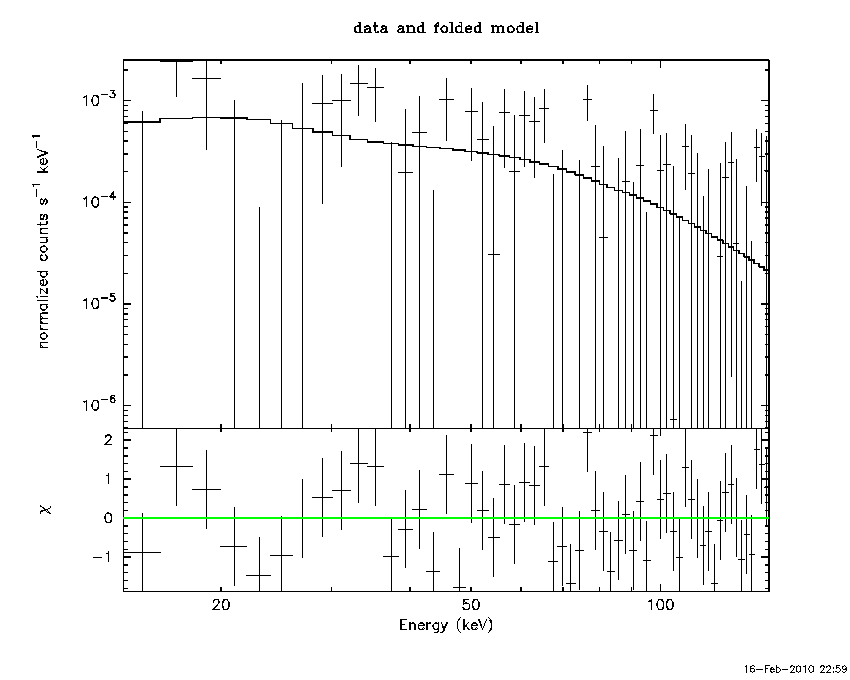
    Peak spectrum fit

    Power-law model
    Time interval is from  198.556 sec. to  199.556 sec.
     
    Spectral model in power-law:
    ------------------------------------------------------------
    Parameters  : value       lower 90%   higher 90%
    Photon index: 1.14920     ( -1.16976   0.94096 )
    Norm@50keV  : 1.90436E-03    ( -0.000990499   0.000936805 )
    ------------------------------------------------------------
    # Chi-Squared =          58.74 using 59 PHA bins.
    # Reduced chi-squared =          1.031 for     57 degrees of freedom 
    # Null hypothesis probability =   4.114245e-01
     
    Photon flux (15-150 keV)    in 1 sec: 0.222062 ( -0.113618  0.116357 ) ph/cm2/s
    Energy fluence (15-150 keV)             : 1.96087e-08 ( -1.0109e-08  1.04508e-08 ) ergs/cm2
     
    
    Cutoff power-law model
    Time interval is from  198.556 sec. to  199.556 sec.
    Spectral model in the cutoff power-law:
    ------------------------------------------------------------
    Parameters  : value       lower 90%   higher 90%
    Photon index: 1.15005     ( -1.18097   0.930722 )
    Epeak [keV] : 9999.36      ( -9999.72 -9999.72 )
    Norm@50keV  : 1.91183E-03    ( -0.000935529   2.41332 )
    ------------------------------------------------------------
    # Chi-Squared =          58.74 using 59 PHA bins.
    # Reduced chi-squared =          1.049 for     56 degrees of freedom 
    # Null hypothesis probability =   3.753009e-01
     
    Photon flux (15-150 keV)    in 1 sec: 0.221996 ( -0.113582  0.116313 ) ph/cm2/s
    Energy fluence (15-150 keV)             : 1.96112e-08 ( -1.01131e-08  1.04548e-08 ) ergs/cm2
     
    
    Band function
    Time interval is from  198.556 sec. to  199.556 sec.
     
    Spectral model in the Band function:
    ------------------------------------------------------------
    Parameters  : value       lower 90%   higher 90%
    alpha       : 4.84462   ( -14.2647   -14.2647 )
    beta        : -1.43852    ( 1.43852   1.38374 )
    Epeak [keV] : 37.9870      ( -37.987 45.4977 )
    Norm@50keV   : 10.9059    ( -10.906   7.86229 )
    ------------------------------------------------------------
    # Chi-Squared =          58.60 using 59 PHA bins.
    # Reduced chi-squared =          1.065 for     55 degrees of freedom 
    # Null hypothesis probability =   3.449260e-01
     
    Photon flux (15-150 keV)    in 1 sec: 0.214926 ( -0.114128  0.118674 ) ph/cm2/s
    Energy fluence (15-150 keV)             : 1.93691e-08 ( -9.2268e-09  5.3745e-09 ) ergs/cm2
     
    

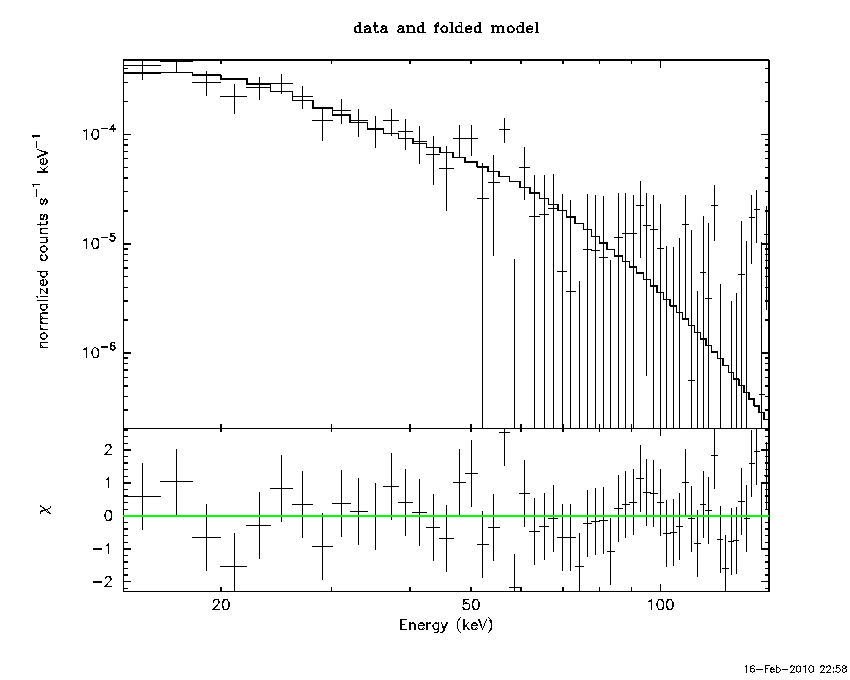
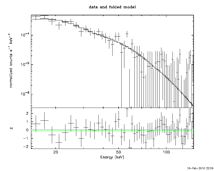
    Pre-slew spectrum (Pre-slew PHA with pre-slew DRM)

    Power-law model
     
    Spectral model in power-law:
    ------------------------------------------------------------
    Parameters  : value       lower 90%   higher 90%
    Photon index: 2.32304     ( -0.221718   0.239329 )
    Norm@50keV  : 3.52494E-04    ( -5.74823e-05   5.6498e-05 )
    ------------------------------------------------------------
    # Chi-Squared =          50.76 using 59 PHA bins.
    # Reduced chi-squared =         0.8904 for     57 degrees of freedom 
    # Null hypothesis probability =   7.070018e-01
     
    Photon flux (15-150 keV)    in 373 sec: 6.24004E-02 ( -0.00663782  0.0066392 ) ph/cm2/s
    Energy fluence (15-150 keV)             : 1.26193e-06 ( -1.63156e-07  1.68555e-07 ) ergs/cm2
     
    
    Cutoff power-law model
    Spectral model in the cutoff power-law:
    ------------------------------------------------------------
    Parameters  : value       lower 90%   higher 90%
    Photon index: 1.46010     ( -1.6124   0.550044 )
    Epeak [keV] : 23.2689      (   )
    Norm@50keV  : 1.19823E-03    (     )
    ------------------------------------------------------------
    # Chi-Squared =          48.54 using 59 PHA bins.
    # Reduced chi-squared =         0.8668 for     56 degrees of freedom 
    # Null hypothesis probability =   7.502502e-01
     
    Photon flux (15-150 keV)    in 373 sec: 5.99036E-02 ( -0.0071057  0.0071574 ) ph/cm2/s
    Energy fluence (15-150 keV)             : 1.13744e-06 ( 2.11912e-07  -1.13744e-06 ) ergs/cm2
     
    
    Band function
     
    Spectral model in the Band function:
    ------------------------------------------------------------
    Parameters  : value       lower 90%   higher 90%
    alpha       : -1.17083   ( 0.686592   1.61217 )
    beta        : -3.17416    ( 3.34562   1.08744 )
    Epeak [keV] : 26.2042      ( -28.6653 7.17753 )
    Norm@50keV   : 1.82104E-03    ( -0.00182444   0.0372634 )
    ------------------------------------------------------------
    # Chi-Squared =          48.24 using 59 PHA bins.
    # Reduced chi-squared =         0.8771 for     55 degrees of freedom 
    # Null hypothesis probability =   7.285719e-01
     
    Photon flux (15-150 keV)    in 373 sec: 6.023980E-02 ( -0.00700252  0.00689086 ) ph/cm2/s
    Energy fluence (15-150 keV)             : 1.16525e-06 ( -1.33168e-07  1.90569e-07 ) ergs/cm2
     
    

    S(25-50 keV) vs. S(50-100 keV) plot

    S(25-50 keV)  = 4.09084e-07
    S(50-100 keV) = 3.27012e-07
    

    T90 vs. Hardness ratio plot

    T90                                   = 325.295999974012 sec.
    Hardness ratio (energy fluence ratio) = 0.799376
    

    Color vs. Color plot

    Count Ratio  (25-50 keV) / (15-25 keV) = 0.864732
    Count Ratio (50-100 keV) / (15-25 keV) = 0.264466
    

    Mask shadow pattern

    IMX = 0, IMY = 0
    

    TIME vs. PHA plot around the trigger time

    Blue+Cyan dotted lines: Time interval of the scaled map
    From 0.000000 to 320.000000
    

    TIME vs. DetID plot around the trigger time

    Blue+Cyan dotted lines: Time interval of the scaled map
    From 0.000000 to 320.000000
    

    100 us light curve (15-350 keV)

    Blue+Cyan dotted lines: Time interval of the scaled map
    From 0.000000 to 320.000000
    

    Spacecraft aspect plot

    Bright source in the pre-burst/pre-slew/post-slew images

    Pre-burst image of 15-350 keV band

    Time interval of the image:
    -239.000000 -40.744000
     
    # RAcent  DECcent POSerr Theta    Phi  PeakCts   SNR AngSep     Name
    #  [deg]    [deg]    ['] [deg]  [deg]                   [']
    170.0529 -60.6661   12.3  35.3   47.3   0.2899   0.9    8.2	Cen X-3                       
    186.7520 -62.7891    2.2  27.1   46.8   1.1766   5.3    2.9	GX 301-2                      
    244.9614 -15.6390    0.5  39.1 -173.4   5.4027  23.7    1.0	Sco X-1                       
    255.9866 -37.8441  254.1  20.6 -139.9  -0.0078  -0.0    0.0	4U 1700-377                   
    256.4354 -36.4231    2.9  22.0 -141.0   0.7002   3.9    0.0	GX 349+2                      
    263.0978 -24.7735    4.2  35.0 -141.8   0.6282   2.7    5.1	GX 1+4                        
    264.6414 -44.6168    6.7  19.8 -112.6   0.3097   1.7   10.9	4U 1735-44                    
    270.3101 -25.1435    3.3  37.8 -131.8   1.0543   3.5    4.1	GX 5-1                        
    270.2684 -25.6129    5.1  37.4 -131.4   0.6397   2.3    8.0	GRS 1758-258                  
    273.9853 -14.0304  199.2  49.2 -135.2  -0.0493  -0.1    1.2	GX 17+2                       
    275.9547 -30.3334    3.5  36.3 -120.1   0.9903   3.3    2.5	H1820-303                     
    178.5323 -50.6461    3.1  35.2   66.6   1.4454   3.7 ------	UNKNOWN                       
    175.0448 -60.1145    2.7  33.1   49.7   1.2020   4.3 ------	UNKNOWN                       
    242.7715 -89.3004    2.8  35.0   -4.5   0.8866   4.0 ------	UNKNOWN                       
    329.3465 -71.5600    2.7  40.1  -33.8   1.1806   4.3 ------	UNKNOWN                       
    278.1035 -48.1867    3.3  25.6  -91.5   0.7634   3.5 ------	UNKNOWN                       
      8.7819 -63.3912    3.3  56.3  -28.4   3.1341   3.5 ------	UNKNOWN                       
    

    Pre-slew background subtracted image of 15-350 keV band

    Time interval of the image:
    -40.744000 332.296000
     
    # RAcent  DECcent POSerr Theta    Phi  PeakCts   SNR AngSep     Name
    #  [deg]    [deg]    ['] [deg]  [deg]                   [']
    170.2531 -60.6707    9.7  35.2   47.4  -0.6956  -1.2    3.4	Cen X-3                       
    186.4003 -62.6859    3.4  27.3   47.0   1.4469   3.4    8.7	GX 301-2                      
    245.1029 -15.6932    6.6  39.0 -173.1   0.7833   1.7    7.8	Sco X-1                       
    256.0076 -37.6949   10.6  20.8 -140.1   0.3619   1.1    9.0	4U 1700-377                   
    256.2380 -36.3172    4.6  22.1 -141.5   0.8669   2.5   11.5	GX 349+2                      
    263.1135 -24.8753    5.6  34.9 -141.7  -0.8587  -2.1    9.6	GX 1+4                        
    264.9242 -44.3666    6.8  20.1 -112.8   0.6002   1.7    9.2	4U 1735-44                    
    270.3552 -25.1927    5.6  37.8 -131.7  -1.0478  -2.1    7.8	GX 5-1                        
    270.0875 -25.6442    0.0  37.3 -131.6  -0.0976  -0.2   13.0	GRS 1758-258                  
    273.9948 -14.0244 1924.0  49.2 -135.2   0.0080   0.0    1.0	GX 17+2                       
    275.9683 -30.4904    6.2  36.2 -119.9  -1.0141  -1.9    7.7	H1820-303                     
    135.0555 -70.5514    2.2  43.7   23.6   3.4733   5.2 ------	UNKNOWN                       
    236.4617  -5.8571    2.1  48.5  173.9   4.0323   5.5 ------	UNKNOWN                       
    251.9606 -45.2368    1.8  12.9 -133.4   1.8798   6.5 ------	UNKNOWN                       
     24.1645 -70.7281    2.0  52.7  -17.7   5.1766   5.8 ------	UNKNOWN                       
    

    Post-slew image of 15-350 keV band

    Time interval of the image:
    803.200590 963.087200
     
    # RAcent  DECcent POSerr Theta    Phi  PeakCts   SNR AngSep     Name
    #  [deg]    [deg]    ['] [deg]  [deg]                   [']
    186.4101 -62.8381    6.9  40.1   48.9   0.7467   1.7    7.9	GX 301-2                      
    244.9882 -15.6525    0.4  30.2  175.1   4.7762  26.2    0.9	Sco X-1                       
    255.9429 -37.8766   30.1   7.9 -148.4   0.0558   0.4    2.8	4U 1700-377                   
    256.5041 -36.3158    3.6   9.6 -149.1   0.4671   3.2    7.2	GX 349+2                      
    262.8079 -24.6374    0.0  22.4 -144.8   0.4474   3.1   12.7	GX 1+4                        
    264.4806 -44.3542    0.0   8.9  -82.7   0.5250   3.5   12.6	4U 1735-44                    
    268.3760  -1.4675    4.2  46.1 -148.3   0.8496   2.8    1.0	SW J1753.5-0127               
    270.3771 -25.0834    2.3  25.0 -128.9   0.8703   5.1    5.1	GX 5-1                        
    270.4031 -25.5810    3.9  24.6 -128.2   0.5642   3.3   11.1	GRS 1758-258                  
    274.1125 -14.0114   19.7  36.4 -133.4   0.1415   0.6    6.4	GX 17+2                       
    276.0262 -30.4463   10.5  23.9 -111.3   0.1922   1.1    7.1	H1820-303                     
    285.0428 -24.9121  175.0  33.4 -107.6   0.0172   0.1    0.6	HT1900.1-2455                 
    247.5893  -5.2396    2.9  40.2 -178.2   0.8652   3.9 ------	UNKNOWN                       
    282.6992 -49.1337    3.2  21.0  -59.6   0.5642   3.6 ------	UNKNOWN                       
    285.0961  -9.9566    2.6  45.3 -122.2   3.3126   4.5 ------	UNKNOWN                       
    322.0609 -46.5523    3.0  47.1  -53.3   2.6487   3.9 ------	UNKNOWN                       
    297.8017 -26.4809    3.3  40.9  -92.7   2.6608   3.5 ------	UNKNOWN                       
    
    Plot creation:
    Tue Feb 16 23:01:38 EST 2010