batgrbproduct Analysis for Trigger=349441

Analysis Summary

Notes:

======================================================================
                  BAT GRB EVENT DATA PROCESSING REPORT
    Process Script Ver: batgrbproduct v2.44
    Process Start Time (local time): Fri Apr 17 14:36:16 EDT 2009
             Host Name: gcn5
   Current Working Dir: /local/data/raid2/prebascript/trigger349441/GCN5_download_cron
======================================================================

  Trigger: 00349441      Segment: 000

  BAT Trigger Time: 261658243.136   [s; MET]
      Trigger Stop: 261658259.52   [s; MET]
               UTC: 2009-04-17T10:50:38.469720    [includes UTCF correction] 
       Where From?: TDRSS position message

  BAT 
    RA: 240.258829828141   Dec: -46.8833363262028  [deg; J2000]

     Catalogged Source?: NO
     Point Source?:      YES
     GRB Indicated?:     YES    [ by BAT flight software ]
     Image S/N Ratio:    5.77
     Image Trigger?:     NO
     Rate S/N Ratio:     11.4891252930761  [ if not an image trigger ]
     Image S/N Ratio:    5.77

  Flight Position:   [ source = BAT ]
    RA: 240.258829828141   Dec: -46.8833363262028  [deg; J2000]

  Ground Position:   [ source = BAT pre-slew burst ]
    RA: 240.330874873103   Dec: -46.9301606950861  [deg; J2000]  
        { 16h 01m 19.4s , -46d 55' 48.6" }
         +/- 4.02092531444135 [arcmin] (estimated 90% radius based on SNR)
         +/- 2.56077560197135 [arcmin] (formal 1-sigma fit error)
    SNR: 4.16673147799213
 
  Angular difference between Flight and Ground position is 4.076097 arcmin
 
  Partial Coding Fraction: 1    [ including projection effects ]

  Duration
     T90: 16.3840000033379 +/- 
        Measured from: 0
                   to: 16.3840000033379     [s; relative to TRIGTIME]
     T50: 16.3840000033379 +/- 
        Measured from: 0
                   to: 16.3840000033379     [s; relative to TRIGTIME]

    WARNING: battblocks failed.  Used TDRSS fore/background intervals

  Fluence
     Peak Flux  (peak 16.3840000033379 second)
        Measured from: 0     
                   to: 16.3840000033379     [s; relative to TRIGTIME]
     Total Fluence        
        Measured from: 0     
                   to: 16.3840000033379     [s; relative to TRIGTIME]
     
             Band 1     Band 2     Band 3     Band 4
              15-25      25-50     50-100    100-350     keV
 Total     0.127537   0.006170  -0.016786  -0.021144
           0.027995   0.021498   0.018171   0.015561 [error]
 Peak      0.127537   0.006170  -0.016786  -0.021144
           0.027995   0.021498   0.018171   0.015561 [error]

     [ fluence units of on-axis counts / fully illuminated detector ] 

======================================================================
 
=== Fluence/Peak Flux Summary ===
 
              Model    Band1    Band2    Band3    Band4    Band5    Total      
                       15-25    25-50   50-100  100-350   15-150   15-350   keV
Fluence   Power-law 2.41e-08 1.21e-08 3.73e-09 1.47e-09 4.07e-08 4.17e-08   erg/cm2
              Error 1.20e-08 9.07e-09 6.09e-09 5.74e-09 2.37e-08 2.56e-08   erg/cm2
Peak flux Power-law 5.11e-02 1.46e-02 2.26e-03 4.01e-04 6.82e-02 6.83e-02   ph/cm2/s
              Error 2.45e-02 1.02e-02 3.47e-03 1.34e-03 3.29e-02 3.30e-02   ph/cm2/s
 
Fluence   Cutoff-PL 2.41e-08 1.21e-08 3.72e-09 1.45e-09 4.07e-08 4.13e-08   erg/cm2
              Error 1.20e-08 9.08e-09 6.09e-09 5.68e-09 2.37e-08 2.56e-08   erg/cm2
Peak flux Cutoff-PL 5.11e-02 1.46e-02 2.26e-03 3.98e-04 6.82e-02 6.83e-02   ph/cm2/s
              Error 2.46e-02 1.02e-02 3.47e-03 1.33e-03 3.29e-02 3.30e-02   ph/cm2/s
 
Fluence        Band 3.13e-08 9.62e-09 1.05e-10 6.50e-13 4.17e-08 4.64e-08   erg/cm2
              Error 0.00e+00 0.00e+00 0.00e+00 0.00e+00 0.00e+00 0.00e+00   erg/cm2
Peak flux      Band 5.17e-02 1.84e-02 1.21e-03 1.09e-05 7.12e-02 7.14e-02   ph/cm2/s
              Error 0.00e+00 0.00e+00 0.00e+00 0.00e+00 0.00e+00 0.00e+00   ph/cm2/s
 
=== Time-averaged spectral analysis ===
 
Model Ph_index Ph_90err Epeak  Epeak_90err Norm     Nomr_90err chi2   dof
PL    3.613    1.311    -      -           1.50e-04 1.74e-04   78.110 57
CPL  -4.985    0.000      18.5    4.4      1.13e+03 8.31e+02   73.510 56
 
 
=== 1-s peak spectral analysis ===
 
Model Ph_index Ph_90err Epeak  Epeak_90err Norm     Nomr_90err chi2   dof
PL    3.612    1.261    -      -           1.55e-04 1.76e-04   79.140 57
CPL  -4.985    0.000      18.5    4.3      1.15e+03 8.37e+02   74.300 56
 
Model      : spectral model: simple power-law (PL) and cutoff power-law (CPL)
Ph_index   : photon index: E^-{Ph_index} (minus sign is not included in the index)
Ph_90err   : 90% error of the photon index
Epeak      : Epeak in keV
Epeak_90err: 90% error of Epeak
Norm       : normalization at 50 keV in PL model and at 1 keV in CPL model
Nomr_90err : 90% error of the normalization
chi2       : Chi-Squared
dof        : degree of freedom
 
=== T90/T50 calculation in the 50-300 keV band (BATSE band) using 64 ms lc ===
 
T90 in the 50-300 keV band: 0.000000 sec.
T50 in the 50-300 keV band: 0.000000 sec.
 
=== Table of the duration information ==
 
        Value   tstart    tstop
T100   16.384    0.000   16.384
T90    16.384    0.000   16.384
T50    16.384    0.000   16.384
Peak   16.384    0.000   16.384
  • Click here for the BAT GCN circular template

    Image

    Pre-slew 15-350 keV image (Event data; bkg subtracted)

    #   RAcent  DECcent POSerr  Theta    Phi     Peak Cts     SNR  Name
      240.3309 -46.9302 0.0464   17.7  -14.0       0.2134     4.2  TRIG_00349441       
    ------------------------------------------
     
    Foreground time interval of the image:
      0.000  16.384 (delta_t =  16.384 [sec])
    Background time interval of the image:
    -60.136 -35.136 (delta_t =  25.000 [sec])
    

    Lightcurves

    Notes:

    1 s binning

    From T0-310 s to T0+310 s
    From T100_start - 20 s to T100_end + 30 s
    Full time interval

    64 ms binning

    Full time interval
    From T100_start to T100_end
    From T0-5 sec to T0+5 sec

    16 ms binning

    From T100_start-5 s to T100_start+5 s

    8 ms binning

    From T100_start-3 s to T100_start+3 s

    2 ms binning

    From T100_start-1 s to T100_start+1 s

    SN=5 or 10 sec. binning (whichever binning is satisfied first)

    SN=5 or 10 sec. binning (T < 200 sec)

    Flight mask-tagged light curves

    Caution: Mask-weight map is always using the same on-axis map

    Quad-rate summed light curves (from T0-300 to T0+1000)

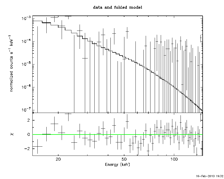
    Spectra

    Notes:

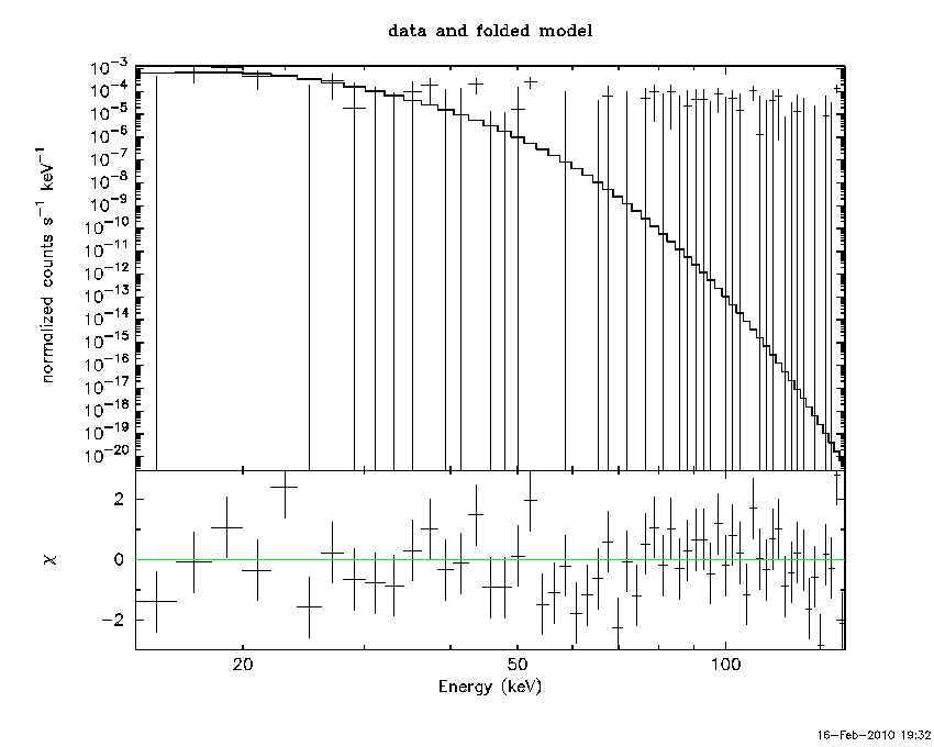
    Time averaged spectrum fit using the pre-slew DRM

    Power-law model
    Time interval is from    0.000 sec. to   16.384 sec.
     
    Spectral model in power-law:
    ------------------------------------------------------------
    Parameters  : value       lower 90%   higher 90%
    Photon index: 3.61259     ( -1.0044   1.6169 )
    Norm@50keV  : 1.50433E-04    ( -0.00014775   0.000199401 )
    ------------------------------------------------------------
    # Chi-Squared =          78.11 using 59 PHA bins.
    # Reduced chi-squared =          1.370 for     57 degrees of freedom 
    # Null hypothesis probability =   3.321209e-02
     
    Photon flux (15-150 keV)    in 16.38 sec: 6.63299E-02 ( -0.0331102  0.0335084 ) ph/cm2/s
    Energy fluence (15-150 keV)             : 4.07446e-08 ( -2.1884e-08  2.55566e-08 ) ergs/cm2
     
    
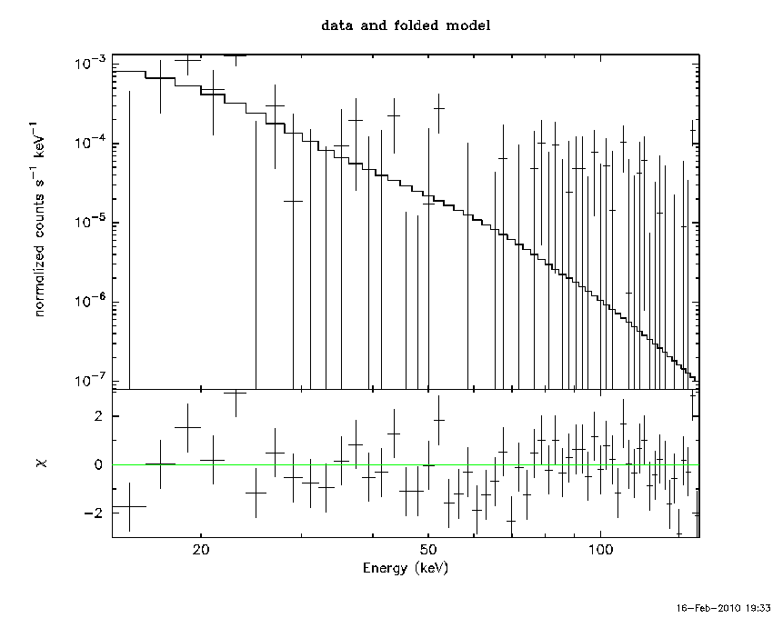
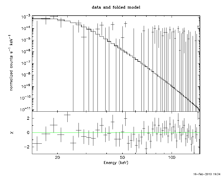
    Cutoff power-law model
    Time interval is from    0.000 sec. to   16.384 sec.
    Spectral model in the cutoff power-law:
    ------------------------------------------------------------
    Parameters  : value       lower 90%   higher 90%
    Photon index: -4.98526     (     )
    Epeak [keV] : 18.5030      ( -3.88814 4.95301 )
    Norm@50keV  : 1133.09    ( -1133.25   528.211 )
    ------------------------------------------------------------
    # Chi-Squared =          73.51 using 59 PHA bins.
    # Reduced chi-squared =          1.313 for     56 degrees of freedom 
    # Null hypothesis probability =   5.828454e-02
     
    Photon flux (15-150 keV)    in 16.38 sec: 6.63035E-02 ( -0.0331125  0.033509 ) ph/cm2/s
    Energy fluence (15-150 keV)             : 4.07459e-08 ( -2.18873e-08  2.55536e-08 ) ergs/cm2
     
    
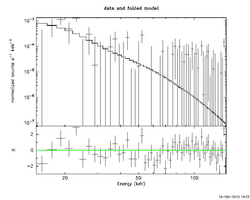
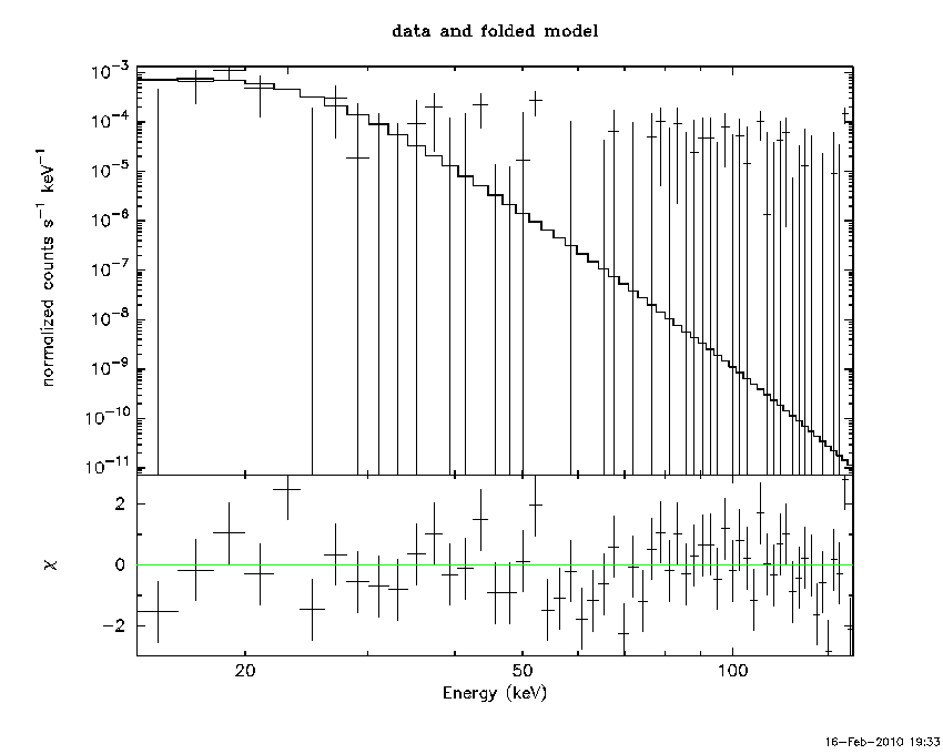
    Band function
    Time interval is from    0.000 sec. to   16.384 sec.
     
    Spectral model in the Band function:
    ------------------------------------------------------------
    Parameters  : value       lower 90%   higher 90%
    alpha       : 4.38534   ( 1.76739   1.76739 )
    beta        : -9.37167    ( 6.38463   16.3836 )
    Epeak [keV] : 17.3534      ( -3.12915 4.98011 )
    Norm@50keV   : 540.078    ( -534.839   13862.8 )
    ------------------------------------------------------------
    # Chi-Squared =          73.81 using 59 PHA bins.
    # Reduced chi-squared =          1.342 for     55 degrees of freedom 
    # Null hypothesis probability =   4.605866e-02
     
    Photon flux (15-150 keV)    in 16.38 sec: 7.117975E-02 ( -0.0325691  0.0325803 ) ph/cm2/s
    Energy fluence (15-150 keV)             : 4.17095e-08 ( -1.77897e-08  1.92223e-08 ) ergs/cm2
     
    

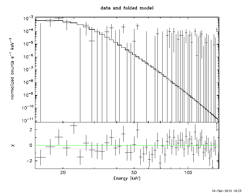
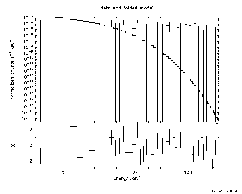
    Peak spectrum fit

    Power-law model
    Time interval is from    0.000 sec. to   16.384 sec.
     
    Spectral model in power-law:
    ------------------------------------------------------------
    Parameters  : value       lower 90%   higher 90%
    Photon index: 3.61172     ( -0.974201   1.54709 )
    Norm@50keV  : 1.54849E-04    ( -0.000152294   0.000198905 )
    ------------------------------------------------------------
    # Chi-Squared =          79.14 using 59 PHA bins.
    # Reduced chi-squared =          1.388 for     57 degrees of freedom 
    # Null hypothesis probability =   2.779964e-02
     
    Photon flux (15-150 keV)    in 16.38 sec: 6.82377E-02 ( -0.0327021  0.0330931 ) ph/cm2/s
    Energy fluence (15-150 keV)             : 4.19567e-08 ( -2.17304e-08  2.538e-08 ) ergs/cm2
     
    
    Cutoff power-law model
    Time interval is from    0.000 sec. to   16.384 sec.
    Spectral model in the cutoff power-law:
    ------------------------------------------------------------
    Parameters  : value       lower 90%   higher 90%
    Photon index: -4.98519     (     )
    Epeak [keV] : 18.5148      ( -3.79338 4.76535 )
    Norm@50keV  : 1150.67    ( -1150.83   523.239 )
    ------------------------------------------------------------
    # Chi-Squared =          74.30 using 59 PHA bins.
    # Reduced chi-squared =          1.327 for     56 degrees of freedom 
    # Null hypothesis probability =   5.138905e-02
     
    Photon flux (15-150 keV)    in 16.38 sec: 6.82099E-02 ( -0.0327002  0.0330931 ) ph/cm2/s
    Energy fluence (15-150 keV)             : 4.19606e-08 ( -2.17345e-08  2.53744e-08 ) ergs/cm2
     
    
    Band function
    Time interval is from    0.000 sec. to   16.384 sec.
     
    Spectral model in the Band function:
    ------------------------------------------------------------
    Parameters  : value       lower 90%   higher 90%
    alpha       : 4.36445   ( 1.80339   1.98548 )
    beta        : -9.37167    ( 6.50913   16.5086 )
    Epeak [keV] : 17.4691      ( -2.69211 5.18738 )
    Norm@50keV   : 502.115    ( -497.527   12023.5 )
    ------------------------------------------------------------
    # Chi-Squared =          74.60 using 59 PHA bins.
    # Reduced chi-squared =          1.356 for     55 degrees of freedom 
    # Null hypothesis probability =   4.043095e-02
     
    Photon flux (15-150 keV)    in 16.38 sec: 7.117975E-02 ( -0.0325691  0.0325803 ) ph/cm2/s
    Energy fluence (15-150 keV)             : 4.17095e-08 ( -1.77897e-08  1.92223e-08 ) ergs/cm2
     
    

    Pre-slew spectrum (Pre-slew PHA with pre-slew DRM)

    Power-law model
     
    Spectral model in power-law:
    ------------------------------------------------------------
    Parameters  : value       lower 90%   higher 90%
    Photon index: 3.61259     ( -1.0044   1.6169 )
    Norm@50keV  : 1.50433E-04    ( -0.00014775   0.000199401 )
    ------------------------------------------------------------
    # Chi-Squared =          78.11 using 59 PHA bins.
    # Reduced chi-squared =          1.370 for     57 degrees of freedom 
    # Null hypothesis probability =   3.321209e-02
     
    Photon flux (15-150 keV)    in 16.38 sec: 6.63299E-02 ( -0.0331102  0.0335084 ) ph/cm2/s
    Energy fluence (15-150 keV)             : 4.07446e-08 ( -2.1884e-08  2.55566e-08 ) ergs/cm2
     
    
    Cutoff power-law model
    Spectral model in the cutoff power-law:
    ------------------------------------------------------------
    Parameters  : value       lower 90%   higher 90%
    Photon index: -4.98526     (     )
    Epeak [keV] : 18.5030      ( -3.88814 4.95301 )
    Norm@50keV  : 1133.09    ( -1133.25   528.211 )
    ------------------------------------------------------------
    # Chi-Squared =          73.51 using 59 PHA bins.
    # Reduced chi-squared =          1.313 for     56 degrees of freedom 
    # Null hypothesis probability =   5.828454e-02
     
    Photon flux (15-150 keV)    in 16.38 sec: 6.63035E-02 ( -0.0331125  0.033509 ) ph/cm2/s
    Energy fluence (15-150 keV)             : 4.07459e-08 ( -2.18873e-08  2.55536e-08 ) ergs/cm2
     
    
    Band function
     
    Spectral model in the Band function:
    ------------------------------------------------------------
    Parameters  : value       lower 90%   higher 90%
    alpha       : 4.38534   ( 1.76739   1.76739 )
    beta        : -9.37167    ( 6.38463   16.3836 )
    Epeak [keV] : 17.3534      ( -3.12915 4.98011 )
    Norm@50keV   : 540.078    ( -534.839   13862.8 )
    ------------------------------------------------------------
    # Chi-Squared =          73.81 using 59 PHA bins.
    # Reduced chi-squared =          1.342 for     55 degrees of freedom 
    # Null hypothesis probability =   4.605866e-02
     
    Photon flux (15-150 keV)    in 16.38 sec: 7.117975E-02 ( -0.0325691  0.0325803 ) ph/cm2/s
    Energy fluence (15-150 keV)             : 4.17095e-08 ( -1.77897e-08  1.92223e-08 ) ergs/cm2
     
    

    S(25-50 keV) vs. S(50-100 keV) plot

    S(25-50 keV)  = 1.20915e-08
    S(50-100 keV) = 3.73271e-09
    

    T90 vs. Hardness ratio plot

    T90                                   = 16.3840000033379 sec.
    Hardness ratio (energy fluence ratio) = 0.308705
    

    Color vs. Color plot

    Count Ratio  (25-50 keV) / (15-25 keV) = 0.0483781
    Count Ratio (50-100 keV) / (15-25 keV) = -0.131617
    

    Mask shadow pattern

    IMX = 0, IMY = 0
    

    TIME vs. PHA plot around the trigger time

    TIME vs. DetID plot around the trigger time

    100 us light curve (15-350 keV)

    Spacecraft aspect plot

    Bright source in the pre-burst/pre-slew/post-slew images

    Pre-burst image of 15-350 keV band

    Time interval of the image:
    -60.136000 -35.136000
     
    # RAcent  DECcent POSerr Theta    Phi  PeakCts   SNR AngSep     Name
    #  [deg]    [deg]    ['] [deg]  [deg]                   [']
    186.3924 -62.9068    0.0  50.2    3.0   0.2037   1.2   10.9	GX 301-2                      
    244.9798 -15.6457    0.2  14.3  146.0   2.7487  46.4    0.3	Sco X-1                       
    256.0212 -37.8066    2.2  11.2  -70.2   0.3134   5.4    2.8	4U 1700-377                   
    256.3173 -36.4303    7.3  10.5  -76.7   0.0948   1.6    5.7	GX 349+2                      
    262.9978 -24.7650  237.3  15.5 -133.2  -0.0030  -0.0    1.3	GX 1+4                        
    264.5885 -44.3094   12.9  20.3  -67.7  -0.0561  -0.9   10.7	4U 1735-44                    
    268.4324  -1.4140    9.8  35.2 -167.7   0.0889   1.2    4.5	SW J1753.5-0127               
    270.2347 -25.0652    5.3  21.5 -125.1   0.1401   2.2    2.8	GX 5-1                        
    270.2678 -25.8023   55.9  21.3 -123.1  -0.0136  -0.2    4.0	GRS 1758-258                  
    273.9729 -13.8799   19.9  29.9 -144.2   0.0390   0.6    9.6	GX 17+2                       
    276.0660 -30.5177    6.2  25.5 -109.0  -0.1380  -1.9   11.6	H1820-303                     
    285.1792 -25.0872    0.0  34.5 -116.4  -0.1583  -1.6   12.7	HT1900.1-2455                 
    288.8179  10.9023    4.8  57.6 -156.5   0.7373   2.4    2.8	GRS 1915+105                  
    239.4737  19.4524    3.1  49.8  143.3   1.1092   3.7 ------	UNKNOWN                       
    250.6986  14.0811    2.5  44.1  157.9   0.6078   4.7 ------	UNKNOWN                       
    260.3540  23.6306    2.3  55.1  167.5   1.5916   5.1 ------	UNKNOWN                       
    250.7433   0.4517    2.5  30.6  160.4   0.3430   4.6 ------	UNKNOWN                       
    295.0006 -33.2787    2.6  41.1 -100.3   1.0791   4.4 ------	UNKNOWN                       
    

    Pre-slew background subtracted image of 15-350 keV band

    Time interval of the image:
    0.000000 16.384000
     
    # RAcent  DECcent POSerr Theta    Phi  PeakCts   SNR AngSep     Name
    #  [deg]    [deg]    ['] [deg]  [deg]                   [']
    186.6107 -62.7301    7.7  50.1    3.2  -0.2308  -1.5    2.7	GX 301-2                      
    244.9057 -15.5864    3.9  14.3  145.7   0.1655   3.0    5.3	Sco X-1                       
    255.7379 -37.9228    0.0  11.1  -69.0   0.0817   1.6   12.7	4U 1700-377                   
    256.6784 -36.3437    0.0  10.7  -78.0  -0.0162  -0.3   12.7	GX 349+2                      
    263.1345 -24.8554   10.4  15.6 -132.7   0.0585   1.1    9.5	GX 1+4                        
    264.5929 -44.2997    3.8  20.3  -67.7   0.1846   3.0   11.1	4U 1735-44                    
    268.2122  -1.5223    5.6  35.0 -167.9   0.1370   2.0   10.2	SW J1753.5-0127               
    270.1725 -24.8932    5.8  21.5 -125.6  -0.1209  -2.0   12.7	GX 5-1                        
    270.2809 -25.8088    3.7  21.4 -123.1   0.1869   3.1    4.1	GRS 1758-258                  
    273.9491 -13.9794    6.0  29.9 -144.1   0.1186   1.9    4.8	GX 17+2                       
    275.8342 -30.4882   18.7  25.3 -109.1   0.0413   0.6    8.7	H1820-303                     
    285.1982 -24.9067  136.5  34.5 -116.7   0.0083   0.1    8.9	HT1900.1-2455                 
    288.8446  10.8677    8.5  57.6 -156.4  -0.3746  -1.4    5.4	GRS 1915+105                  
    262.5317  19.3525    2.6  51.6  171.4   0.7411   4.4 ------	UNKNOWN                       
    221.1199 -71.4750    2.2  43.9  -16.6   0.4667   5.1 ------	UNKNOWN                       
    227.9756 -73.9205    2.3  45.1  -20.8   0.4551   5.0 ------	UNKNOWN                       
    

    Post-slew image of 15-350 keV band

    Time interval of the image:
    103.664600 231.884000
    232.864000 302.933000
     
    # RAcent  DECcent POSerr Theta    Phi  PeakCts   SNR AngSep     Name
    #  [deg]    [deg]    ['] [deg]  [deg]                   [']
    170.2309 -60.5497    3.9  41.4    4.8   0.8938   3.0    5.1	Cen X-3                       
    186.6742 -62.7958    3.2  33.4    2.4   0.9658   3.6    1.6	GX 301-2                      
    244.9731 -15.6417    0.3  31.5  149.2  11.3821  42.5    0.4	Sco X-1                       
    256.0240 -37.8351    1.1  14.7 -161.8   2.0524  10.2    1.9	4U 1700-377                   
    256.2692 -36.3665   15.6  15.9 -165.2   0.1491   0.7    8.7	GX 349+2                      
    262.9223 -24.6107    7.0  28.7 -172.6   0.3317   1.6    9.4	GX 1+4                        
    264.7544 -44.6058   94.0  17.2 -128.2  -0.0237  -0.1    9.4	4U 1735-44                    
    268.4630  -1.4721    9.1  51.6  177.6   0.6773   1.3    5.8	SW J1753.5-0127               
    270.2575 -25.1193    3.0  32.2 -161.5   0.8249   3.8    2.8	GX 5-1                        
    270.1997 -25.8637    4.1  31.6 -160.6   0.5954   2.8    9.1	GRS 1758-258                  
    273.9808 -14.0991    5.2  43.2 -167.6   0.7077   2.2    4.0	GX 17+2                       
    275.9511 -30.5195    5.6  31.9 -147.5   0.4852   2.1    9.2	H1820-303                     
    285.0381 -24.9100  391.5  41.6 -145.4   0.0095   0.0    0.6	HT1900.1-2455                 
    
    Plot creation:
    Tue Feb 16 19:35:33 EST 2010