batgrbproduct Analysis for Trigger=350184

Analysis Summary

Notes:

======================================================================
                  BAT GRB EVENT DATA PROCESSING REPORT
    Process Script Ver: batgrbproduct v2.46
    Process Start Time (local time): Sun Jan 19 17:21:17 EST 2014
             Host Name: batevent1
   Current Working Dir: /local/data/batevent/batevent_reproc/trigger350184
======================================================================

  Trigger: 00350184      Segment: 000

  BAT Trigger Time: 262166124.032   [s; MET]
      Trigger Stop: 262166125.056   [s; MET]
               UTC: 2009-04-23T07:55:19.349660    [includes UTCF correction] 
       Where From?: TDRSS position message

  BAT 
    RA: 148.894774542363   Dec: 18.160243227552  [deg; J2000]

     Catalogged Source?: NO
     Point Source?:      YES
     GRB Indicated?:     YES    [ by BAT flight software ]
     Image S/N Ratio:    8.16
     Image Trigger?:     NO
     Rate S/N Ratio:     11.2694276695846  [ if not an image trigger ]
     Image S/N Ratio:    8.16

  Flight Position:   [ source = BAT ]
    RA: 148.894774542363   Dec: 18.160243227552  [deg; J2000]

  Ground Position:   [ source = BAT pre-slew burst ]
    RA: 148.889545872   Dec: 18.1659867564125  [deg; J2000]  
        { 09h 55m 33.5s , +18d 09' 57.6" }
         +/- 1.06308019948789 [arcmin] (estimated 90% radius based on SNR)
         +/- 0.351888802339676 [arcmin] (formal 1-sigma fit error)
    SNR: 27.8719214680514
 
  Angular difference between Flight and Ground position is 0.455647 arcmin
 
  Partial Coding Fraction: 0.921875    [ including projection effects ]

  Duration
     T90: 10.3039999902248 +/- 1.05554725375129
        Measured from: 0.30799999833107
                   to: 10.6119999885559     [s; relative to TRIGTIME]
     T50: 4.84000000357628 +/- 0.4
        Measured from: 2.99599999189377
                   to: 7.83599999547005     [s; relative to TRIGTIME]



  Fluence
     Peak Flux  (peak 1 second)
        Measured from: 3.61599999666214     
                   to: 4.61599999666214     [s; relative to TRIGTIME]
     Total Fluence        
        Measured from: -0.668000012636185     
                   to: 11.7400000095367     [s; relative to TRIGTIME]
     
             Band 1     Band 2     Band 3     Band 4
              15-25      25-50     50-100    100-350     keV
 Total     0.369549   0.513486   0.272211   0.034315
           0.019339   0.020579   0.017684   0.014653 [error]
 Peak      0.061842   0.084085   0.052852   0.006485
           0.005985   0.006447   0.005645   0.004337 [error]

     [ fluence units of on-axis counts / fully illuminated detector ] 

======================================================================
 
=== Fluence/Peak Flux Summary ===
 
              Model    Band1    Band2    Band3    Band4    Band5    Total      
                       15-25    25-50   50-100  100-350   15-150   15-350   keV
Fluence   Power-law 1.27e-07 1.94e-07 2.21e-07 4.82e-07 6.85e-07 1.02e-06   erg/cm2
              Error 1.03e-08 1.00e-08 1.70e-08 7.59e-08 4.01e-08 9.19e-08   erg/cm2
Peak flux Power-law 6.33e-01 5.84e-01 3.72e-01 3.65e-01 1.74e+00 1.95e+00   ph/cm2/s
              Error 8.84e-02 5.24e-02 4.60e-02 8.88e-02 1.54e-01 1.75e-01   ph/cm2/s
 
Fluence   Cutoff-PL 1.11e-07 2.15e-07 2.20e-07 1.18e-07 6.25e-07 6.64e-07   erg/cm2
              Error 1.21e-08 1.36e-08 2.01e-08 6.51e-08 4.58e-08 7.87e-08   erg/cm2
Peak flux Cutoff-PL 5.97e-01 6.12e-01 3.82e-01 2.18e-01 1.71e+00 1.81e+00   ph/cm2/s
              Error 1.01e-01 6.60e-02 5.02e-02 1.38e-01 1.58e-01 2.29e-01   ph/cm2/s
 
Fluence        Band 1.06e-07 2.22e-07 2.08e-07 2.64e-07 6.36e-07 8.02e-07   erg/cm2
              Error 1.30e-08 1.50e-08 1.99e-08 -------- 4.44e-08 --------   erg/cm2
Peak flux      Band 6.05e-01 6.06e-01 3.80e-01 2.44e-01 1.72e+00 1.84e+00   ph/cm2/s
              Error -------- -------- -------- -------- -------- --------   ph/cm2/s
 
=== Time-averaged spectral analysis ===
 
Model Ph_index Ph_90err Epeak  Epeak_90err Norm     Nomr_90err chi2   dof
PL    1.808    0.092    -      -           6.00e-03 3.43e-04   63.750 57
CPL   0.765    0.470      53.2    7.7      2.21e-02 1.41e-02   45.100 56
 
 
=== 1-s peak spectral analysis ===
 
Model Ph_index Ph_90err Epeak  Epeak_90err Norm     Nomr_90err chi2   dof
PL    1.649    0.153    -      -           1.33e-02 1.28e-03   44.360 57
CPL   1.224    0.581      86.0  -27.9      2.25e-02 1.89e-02   42.800 56
 
Model      : spectral model: simple power-law (PL) and cutoff power-law (CPL)
Ph_index   : photon index: E^-{Ph_index} (minus sign is not included in the index)
Ph_90err   : 90% error of the photon index
Epeak      : Epeak in keV
Epeak_90err: 90% error of Epeak
Norm       : normalization at 50 keV in PL model and at 1 keV in CPL model
Nomr_90err : 90% error of the normalization
chi2       : Chi-Squared
dof        : degree of freedom
 
=== T90/T50 calculation in the 50-300 keV band (BATSE band) using 64 ms lc ===
 
T90 in the 50-300 keV band: 12.672000 sec.
T50 in the 50-300 keV band: 5.120000 sec.
 
=== Table of the duration information ==
 
        Value   tstart    tstop
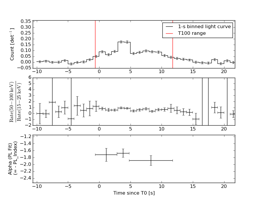
T100   12.408   -0.668   11.740
T90    10.304    0.308   10.612
T50     4.840    2.996    7.836
Peak    1.000    3.616    4.616
  • Click here for the BAT GCN circular template
  • Special notes of this burst

    Image

    Pre-slew 15.0-350.0 keV image (Event data)

    #   RAcent    DECcent   POSerr    Theta     Phi              Peak Cts       SNR   Name
      148.8895    18.1660   0.0069    25.0329  -172.0965         1.1413986     27.872 TRIG_00350184                 
     
    Foreground time interval of the image:
     -0.668  10.669 (delta_t =  11.337 [sec])
    Background time interval of the image:
    -30.331  -0.668 (delta_t =  29.663 [sec])
    

    Lightcurves

    Notes:

    1 s binning

    From T0-310 s to T0+310 s
    From T100_start - 20 s to T100_end + 30 s
    Full time interval

    64 ms binning

    Full time interval
    From T100_start to T100_end
    From T0-5 sec to T0+5 sec

    16 ms binning

    From T100_start-5 s to T100_start+5 s
    Blue+Cyan dotted lines: Time interval of the scaled map
    From 0.000000 to 1.024000
    

    8 ms binning

    From T100_start-3 s to T100_start+3 s
    Blue+Cyan dotted lines: Time interval of the scaled map
    From 0.000000 to 1.024000
    

    2 ms binning

    From T100_start-1 s to T100_start+1 s
    Blue+Cyan dotted lines: Time interval of the scaled map
    From 0.000000 to 1.024000
    

    SN=5 or 10 sec. binning (whichever binning is satisfied first)

    SN=5 or 10 sec. binning (T < 200 sec)

    Quad-rate summed light curves (from T0-300s to T0+1000s)

    Spectral Evolution

    Spectra

    Notes:

    Time averaged spectrum fit using the average DRM

    Power-law model
    Time interval is from   -0.668 sec. to   11.740 sec.
     
    Spectral model in power-law:
    ------------------------------------------------------------
    Parameters  : value       lower 90%   higher 90%
    Photon index: 1.80835     ( -0.0913861   0.0928842 )
    Norm@50keV  : 6.00078E-03    ( -0.000344025   0.000341766 )
    ------------------------------------------------------------
    #Fit statistic : Chi-Squared =          63.75 using 59 PHA bins.
    # Reduced chi-squared =          1.118 for     57 degrees of freedom 
    # Null hypothesis probability =   2.510726e-01
     
    Photon flux (15-150 keV)    in 12.41 sec: 0.829584 ( -0.0436881  0.0437352 ) ph/cm2/s
    Energy fluence (15-150 keV)             : 6.85384e-07 ( -3.99194e-08  4.01986e-08 ) ergs/cm2
     
    
    Cutoff power-law model
    Time interval is from   -0.668 sec. to   11.740 sec.
    Spectral model in the cutoff power-law:
    ------------------------------------------------------------
    Parameters  : value       lower 90%   higher 90%
    Photon index: 0.764934     ( -0.49693   0.442233 )
    Epeak [keV] : 53.2297      ( -5.82968 9.47163 )
    Norm@50keV  : 2.20758E-02    ( -0.00926473   0.0189616 )
    ------------------------------------------------------------
    #Fit statistic : Chi-Squared =          45.10 using 59 PHA bins.
    # Reduced chi-squared =         0.8054 for     56 degrees of freedom 
    # Null hypothesis probability =   8.510667e-01
     
    Photon flux (15-150 keV)    in 12.41 sec: 0.789110 ( -0.046408  0.046486 ) ph/cm2/s
    Energy fluence (15-150 keV)             : 6.24656e-07 ( -4.52891e-08  4.62707e-08 ) ergs/cm2
     
    
    Band function
    Time interval is from   -0.668 sec. to   11.740 sec.
     
    Spectral model in the Band function:
    ------------------------------------------------------------
    Parameters  : value       lower 90%   higher 90%
    alpha       : -0.164311   ( -0.860046   1.78093 )
    beta        : -2.36817    ( 2.3709   0.309107 )
    Epeak [keV] : 44.6353      ( -9.23723 12.2751 )
    Norm@50keV   : 5.30639E-02    ( -0.0589562   0.839013 )
    ------------------------------------------------------------
    #Fit statistic : Chi-Squared =          42.95 using 59 PHA bins.
    # Reduced chi-squared =         0.7810 for     55 degrees of freedom 
    # Null hypothesis probability =   8.810758e-01
     
    Photon flux (15-150 keV)    in 12.41 sec: 0.786358 ( 6.21364  -0.046304 ) ph/cm2/s
    Energy fluence (15-150 keV)             : 6.36325e-07 ( -6.36238e-07  -4.43099e-08 ) ergs/cm2
     
    
    Single BB
     
    Spectral model blackbody:
    ------------------------------------------------------------
    Parameters  : value    Lower 90%  Upper 90%
    kT [keV]    : 11.6745  (-0.665771  0.714067)
    R^2/D10^2   : 0.221507  (-0.0444341   0.0549384)
    (R is the radius in km and D10 is the distance to the source in units of 10 kpc)
    ------------------------------------------------------------
    #Fit statistic : Chi-Squared =          84.75 using 59 PHA bins.
    # Reduced chi-squared =          1.487 for     57 degrees of freedom 
    # Null hypothesis probability =   9.958949e-03
     
    Energy  Fluence     90% Error
    [keV]   [erg/cm2]   [erg/cm2]
    15- 25  7.902e-08   7.266e-09
    25- 50  2.407e-07   1.477e-08
    50-150  1.936e-07   2.389e-08
    15-150  5.133e-07   2.929e-08
    
    Thermal bremsstrahlung (OTTB)
     
     
    Spectral model: thermal bremsstrahlung
    ------------------------------------------------------------
    Parameters  : value         Lower 90%    Upper 90%
    kT [keV]    : 94.8841       (-15.9882      21.7966)
    Norm        : 3.72117       (-0.27405     0.302033)
    ------------------------------------------------------------
    #Fit statistic : Chi-Squared =          48.98 using 59 PHA bins.
    # Reduced chi-squared =         0.8593 for     57 degrees of freedom 
    # Null hypothesis probability =   7.662001e-01
     
    Energy  Fluence     90% Error
    [keV]   [erg/cm2]   [erg/cm2]
    15- 25  1.206e-07   1.041e-08
    25- 50  2.064e-07   1.247e-08
    50-150  3.244e-07   9.363e-08
    15-150  6.514e-07   1.007e-07
    
    Double BB
     
     
    Spectral model: bbodyrad<1> + bbodyrad<2>
    ------------------------------------------------------------
    Parameters  : value         Lower 90%    Upper 90%
    kT1 [keV]   : 7.94478        (-1.4198      1.29644)
    R1^2/D10^2  : 0.640776        (-0.225614      0.479574)
    kT2 [keV]   : 22.9762        (-5.24096      10.2313)
    R2^2/D10^2  : 1.05028E-02    (-0.00797743   0.0219597)
    ------------------------------------------------------------
    #Fit statistic : Chi-Squared =          43.37 using 59 PHA bins.
    # Reduced chi-squared =         0.7885 for     55 degrees of freedom 
    # Null hypothesis probability =   8.715436e-01
     
    Energy  Fluence     90% Error
    [keV]   [erg/cm2]   [erg/cm2]
    15- 25  1.028e-07   1.695e-08
    25- 50  2.238e-07   3.984e-08
    50-150  3.068e-07   1.279e-07
    15-150  6.334e-07   1.634e-07
    

    Peak spectrum fit

    Power-law model
    Time interval is from    3.616 sec. to    4.616 sec.
     
    Spectral model in power-law:
    ------------------------------------------------------------
    Parameters  : value       lower 90%   higher 90%
    Photon index: 1.64895     ( -0.151241   0.155164 )
    Norm@50keV  : 1.33376E-02    ( -0.00128587   0.00127092 )
    ------------------------------------------------------------
    #Fit statistic : Chi-Squared =          44.36 using 59 PHA bins.
    # Reduced chi-squared =         0.7783 for     57 degrees of freedom 
    # Null hypothesis probability =   8.888824e-01
     
    Photon flux (15-150 keV)    in 1 sec: 1.74096 ( -0.154358  0.154429 ) ph/cm2/s
    Energy fluence (15-150 keV)             : 1.24058e-07 ( -1.26903e-08  1.28251e-08 ) ergs/cm2
     
    
    Cutoff power-law model
    Time interval is from    3.616 sec. to    4.616 sec.
    Spectral model in the cutoff power-law:
    ------------------------------------------------------------
    Parameters  : value       lower 90%   higher 90%
    Photon index: 1.22392     ( -0.664054   0.498232 )
    Epeak [keV] : 85.9772      ( -30.0847 -85.9772 )
    Norm@50keV  : 2.25040E-02    ( -0.00998   0.0278536 )
    ------------------------------------------------------------
    #Fit statistic : Chi-Squared =          42.80 using 59 PHA bins.
    # Reduced chi-squared =         0.7643 for     56 degrees of freedom 
    # Null hypothesis probability =   9.026979e-01
     
    Photon flux (15-150 keV)    in 1 sec: 1.71484 ( -0.15854  0.15837 ) ph/cm2/s
    Energy fluence (15-150 keV)             : 1.19944e-07 ( -1.4019e-08  1.404e-08 ) ergs/cm2
     
    
    Band function
    Time interval is from    3.616 sec. to    4.616 sec.
     
    Spectral model in the Band function:
    ------------------------------------------------------------
    Parameters  : value       lower 90%   higher 90%
    alpha       : -1.22382   ( -0.378313   0.577007 )
    beta        : -10.0000    ( 10   1.42109e-14 )
    Epeak [keV] : 85.9566      ( -25.5718 -85.9566 )
    Norm@50keV   : 2.25037E-02    ( -0.00998369   0.0279046 )
    ------------------------------------------------------------
    #Fit statistic : Chi-Squared =          42.80 using 59 PHA bins.
    # Reduced chi-squared =         0.7782 for     55 degrees of freedom 
    # Null hypothesis probability =   8.844548e-01
     
    Photon flux (15-150 keV)    in 1 sec: 1.72230 (    ) ph/cm2/s
    Energy fluence (15-150 keV)             : 1.20607e-07 ( 0  0 ) ergs/cm2
     
    
    Single BB
     
    Spectral model blackbody:
    ------------------------------------------------------------
    Parameters  : value    Lower 90%  Upper 90%
    kT [keV]    : 12.6245  (-1.37574  1.5813)
    R^2/D10^2   : 0.357168  (-0.123675   0.184731)
    (R is the radius in km and D10 is the distance to the source in units of 10 kpc)
    ------------------------------------------------------------
    #Fit statistic : Chi-Squared =          70.54 using 59 PHA bins.
    # Reduced chi-squared =          1.237 for     57 degrees of freedom 
    # Null hypothesis probability =   1.073406e-01
     
    Energy  Fluence     90% Error
    [keV]   [erg/cm2]   [erg/cm2]
    15- 25  1.207e-08   1.938e-09
    25- 50  4.026e-08   4.780e-09
    50-150  3.986e-08   9.110e-09
    15-150  9.219e-08   1.141e-08
    
    Thermal bremsstrahlung (OTTB)
     
     
    Spectral model: thermal bremsstrahlung
    ------------------------------------------------------------
    Parameters  : value         Lower 90%    Upper 90%
    kT [keV]    : 150.645       (-51.3121      -149.372)
    Norm        : 7.20544       (-0.696335     0.452121)
    ------------------------------------------------------------
    #Fit statistic : Chi-Squared =          42.81 using 59 PHA bins.
    # Reduced chi-squared =         0.7511 for     57 degrees of freedom 
    # Null hypothesis probability =   9.184462e-01
     
    Energy  Fluence     90% Error
    [keV]   [erg/cm2]   [erg/cm2]
    15- 25  1.850e-08   2.325e-09
    25- 50  3.431e-08   8.195e-09
    50-150  6.785e-08   2.986e-08
    15-150  1.207e-07   4.091e-08
    
    Double BB
     
     
    Spectral model: bbodyrad<1> + bbodyrad<2>
    ------------------------------------------------------------
    Parameters  : value         Lower 90%    Upper 90%
    kT1 [keV]   : 7.33094        (-1.92307      1.97531)
    R1^2/D10^2  : 1.72550        (-0.905906      2.14292)
    kT2 [keV]   : 26.1589        (-7.19265      17.2812)
    R2^2/D10^2  : 1.85568E-02    (-0.0151819   0.0462464)
    ------------------------------------------------------------
    #Fit statistic : Chi-Squared =          42.64 using 59 PHA bins.
    # Reduced chi-squared =         0.7752 for     55 degrees of freedom 
    # Null hypothesis probability =   8.879677e-01
     
    Energy  Fluence     90% Error
    [keV]   [erg/cm2]   [erg/cm2]
    15- 25  1.774e-08   5.647e-09
    25- 50  3.580e-08   1.287e-08
    50-150  6.743e-08   3.344e-08
    15-150  1.210e-07   4.562e-08
    

    Pre-slew spectrum (Pre-slew PHA with pre-slew DRM)

    Power-law model
     
    Spectral model in power-law:
    ------------------------------------------------------------
    Parameters  : value       lower 90%   higher 90%
    Photon index: 1.82574     ( -0.0914679   0.093087 )
    Norm@50keV  : 6.25251E-03    ( -0.000362335   0.000359828 )
    ------------------------------------------------------------
    #Fit statistic : Chi-Squared =          64.95 using 59 PHA bins.
    # Reduced chi-squared =          1.139 for     57 degrees of freedom 
    # Null hypothesis probability =   2.194352e-01
     
    Photon flux (15-150 keV)    in 11.34 sec: 0.870332 ( -0.0459646  0.0460113 ) ph/cm2/s
    Energy fluence (15-150 keV)             : 6.52241e-07 ( -3.81851e-08  3.84579e-08 ) ergs/cm2
     
    
    Cutoff power-law model
    Spectral model in the cutoff power-law:
    ------------------------------------------------------------
    Parameters  : value       lower 90%   higher 90%
    Photon index: 0.708069     ( -0.501682   0.446986 )
    Epeak [keV] : 51.7478      ( -5.34697 8.09876 )
    Norm@50keV  : 2.53365E-02    ( -0.0107442   0.0221158 )
    ------------------------------------------------------------
    #Fit statistic : Chi-Squared =          43.69 using 59 PHA bins.
    # Reduced chi-squared =         0.7802 for     56 degrees of freedom 
    # Null hypothesis probability =   8.843107e-01
     
    Photon flux (15-150 keV)    in 11.34 sec: 0.825696 ( -0.048697  0.048774 ) ph/cm2/s
    Energy fluence (15-150 keV)             : 5.91635e-07 ( -4.27269e-08  4.37792e-08 ) ergs/cm2
     
    
    Band function
     
    Spectral model in the Band function:
    ------------------------------------------------------------
    Parameters  : value       lower 90%   higher 90%
    alpha       : -6.59158E-02   ( -0.932506   1.5731 )
    beta        : -2.45224    ( 2.46719   0.36269 )
    Epeak [keV] : 44.0941      ( -9.37894 12.7625 )
    Norm@50keV   : 6.45129E-02    ( -0.053674   0.61494 )
    ------------------------------------------------------------
    #Fit statistic : Chi-Squared =          42.73 using 59 PHA bins.
    # Reduced chi-squared =         0.7768 for     55 degrees of freedom 
    # Null hypothesis probability =   8.860650e-01
     
    Photon flux (15-150 keV)    in 11.34 sec: 0.825582 ( 6.17442  -0.0486 ) ph/cm2/s
    Energy fluence (15-150 keV)             : 6.02719e-07 ( -6.02639e-07  -4.26667e-08 ) ergs/cm2
     
    

    S(25-50 keV) vs. S(50-100 keV) plot

    S(25-50 keV)  = 1.94e-07
    S(50-100 keV) = 2.21e-07
    

    T90 vs. Hardness ratio plot

    T90                                   = 10.3039999902248 sec.
    Hardness ratio (energy fluence ratio) = 1.13918
    

    Color vs. Color plot

    Count Ratio  (25-50 keV) / (15-25 keV) = 1.38949
    Count Ratio (50-100 keV) / (15-25 keV) = 0.736603
    

    Mask shadow pattern

    IMX = -4.625712549329783E-01, IMY = 6.421546464279676E-02
    

    TIME vs. PHA plot around the trigger time

    Blue+Cyan dotted lines: Time interval of the scaled map
    From 0.000000 to 1.024000
    

    TIME vs. DetID plot around the trigger time

    Blue+Cyan dotted lines: Time interval of the scaled map
    From 0.000000 to 1.024000
    

    100 us light curve (15-350 keV)

    Blue+Cyan dotted lines: Time interval of the scaled map
    From 0.000000 to 1.024000
    

    Spacecraft aspect plot

    Bright source in the pre-burst/pre-slew/post-slew images

    Pre-burst image of 15-350 keV band

    Time interval of the image:
    -30.331400 -0.668000
     
    # RAcent  DECcent POSerr Theta    Phi  PeakCts   SNR AngSep     Name
    #  [deg]    [deg]    ['] [deg]  [deg]                   [']
    

    Pre-slew background subtracted image of 15-350 keV band

    Time interval of the image:
    -0.668000 10.668590
     
    # RAcent  DECcent POSerr Theta    Phi  PeakCts   SNR AngSep     Name
    #  [deg]    [deg]    ['] [deg]  [deg]                   [']
    173.3315  -7.9001    2.5  46.6  136.4   0.7632   4.7 ------	UNKNOWN                       
    148.8895  18.1660    0.4  25.0 -172.1   1.1413  27.9 ------	UNKNOWN                       
    

    Post-slew image of 15-350 keV band

    Time interval of the image:
    56.668600 718.368600
     
    # RAcent  DECcent POSerr Theta    Phi  PeakCts   SNR AngSep     Name
    #  [deg]    [deg]    ['] [deg]  [deg]                   [']
    171.8137 -15.3837    2.8  40.4  122.8   4.2765   4.1 ------	UNKNOWN                       
    199.9093  44.4618    2.6  49.8   24.7   6.2192   4.4 ------	UNKNOWN                       
    143.8336 -35.9680    2.2  54.4  163.2  10.2847   5.3 ------	UNKNOWN                       
    133.7167 -21.6997    2.6  42.6  179.3   2.5525   4.5 ------	UNKNOWN                       
    116.6207 -17.2765    3.3  47.6 -158.2   2.4617   3.5 ------	UNKNOWN                       
    109.0433  53.8552    3.8  47.0  -53.0   5.6618   3.1 ------	UNKNOWN                       
    
    Plot creation:
    Sun May 31 04:19:04 EDT 2015