batgrbproduct Analysis for Trigger=351323

Analysis Summary

Notes:

======================================================================
                  BAT GRB EVENT DATA PROCESSING REPORT
    Process Script Ver: batgrbproduct v2.44
    Process Start Time (local time): Thu May  7 04:21:22 EDT 2009
             Host Name: gcn5
   Current Working Dir: /local/data/raid2/prebascript/trigger351323/GCN5_download_cron
======================================================================

  Trigger: 00351323      Segment: 000

  BAT Trigger Time: 263311336   [s; MET]
      Trigger Stop: 263311400   [s; MET]
               UTC: 2009-05-06T14:02:11.281420    [includes UTCF correction] 
       Where From?: TDRSS position message

  BAT 
    RA: 274.662992497277   Dec: -17.0648248634969  [deg; J2000]

     Catalogged Source?: YES
     Point Source?:      YES
     GRB Indicated?:     NO    [ by BAT flight software ]
     Image S/N Ratio:    7.12
     Image Trigger?:     YES
     Rate S/N Ratio:     0  [ if not an image trigger ]
     Image S/N Ratio:    7.12

  Flight Position:   [ source = BAT ]
    RA: 274.662992497277   Dec: -17.0648248634969  [deg; J2000]

  Ground Position:   [ source = BAT pre-slew burst ]
    RA: 274.657726134129   Dec: -17.0691160604761  [deg; J2000]  
        { 18h 18m 37.9s , -17d 04' 08.8" }
         +/- 2.99699470583308 [arcmin] (estimated 90% radius based on SNR)
         +/- 1.4571736802739 [arcmin] (formal 1-sigma fit error)
    SNR: 6.34071764957535
 
  Angular difference between Flight and Ground position is 0.396908 arcmin
 
  Partial Coding Fraction: 0.9453125    [ including projection effects ]

  Duration
     T90: 64 +/- 
        Measured from: 0
                   to: 64     [s; relative to TRIGTIME]
     T50: 64 +/- 
        Measured from: 0
                   to: 64     [s; relative to TRIGTIME]

    WARNING: battblocks failed.  Used TDRSS fore/background intervals

  Fluence
     Peak Flux  (peak 64 second)
        Measured from: 0     
                   to: 64     [s; relative to TRIGTIME]
     Total Fluence        
        Measured from: 0     
                   to: 64     [s; relative to TRIGTIME]
     
             Band 1     Band 2     Band 3     Band 4
              15-25      25-50     50-100    100-350     keV
 Total     0.369054   0.155227   0.007025   0.028619
           0.049052   0.045617   0.041174   0.040297 [error]
 Peak      0.369054   0.155227   0.007025   0.028619
           0.049052   0.045617   0.041174   0.040297 [error]

     [ fluence units of on-axis counts / fully illuminated detector ] 

======================================================================
 
=== Fluence/Peak Flux Summary ===
 
              Model    Band1    Band2    Band3    Band4    Band5    Total      
                       15-25    25-50   50-100  100-350   15-150   15-350   keV
Fluence   Power-law 1.08e-07 6.98e-08 2.92e-08 1.67e-08 2.15e-07 2.24e-07   erg/cm2
              Error 2.35e-08 2.40e-08 2.10e-08 2.46e-08 6.06e-08 7.13e-08   erg/cm2
Peak flux Power-law 5.60e-02 2.09e-02 4.48e-03 1.15e-03 8.21e-02 8.25e-02   ph/cm2/s
              Error 1.12e-02 6.64e-03 3.99e-03 1.52e-03 1.67e-02 1.70e-02   ph/cm2/s
 
Fluence   Cutoff-PL 1.12e-07 7.16e-08 7.68e-09 6.11e-11 1.91e-07 1.91e-07   erg/cm2
              Error 2.60e-08 3.19e-08 2.21e-08 1.69e-08 5.62e-08 6.25e-08   erg/cm2
Peak flux Cutoff-PL 5.60e-02 2.09e-02 4.48e-03 1.14e-03 8.21e-02 8.25e-02   ph/cm2/s
              Error 1.12e-02 6.64e-03 3.99e-03 1.51e-03 1.67e-02 1.70e-02   ph/cm2/s
 
Fluence        Band 1.14e-07 6.78e-08 2.06e-08 7.90e-09 2.08e-07 2.49e-07   erg/cm2
              Error 0.00e+00 0.00e+00 0.00e+00 0.00e+00 0.00e+00 0.00e+00   erg/cm2
Peak flux      Band 5.76e-02 2.19e-02 1.59e-03 1.59e-05 8.10e-02 8.18e-02   ph/cm2/s
              Error 0.00e+00 0.00e+00 0.00e+00 0.00e+00 0.00e+00 0.00e+00   ph/cm2/s
 
=== Time-averaged spectral analysis ===
 
Model Ph_index Ph_90err Epeak  Epeak_90err Norm     Nomr_90err chi2   dof
PL    3.332    0.618    -      -           2.31e-04 1.35e-04   59.700 57
CPL   0.763    0.993      12.9    0.0      1.79e-02 0.00e+00   58.040 56
 
 
=== 1-s peak spectral analysis ===
 
Model Ph_index Ph_90err Epeak  Epeak_90err Norm     Nomr_90err chi2   dof
PL    3.219    0.574    -      -           2.53e-04 1.33e-04   60.550 57
CPL   0.706    0.000      13.2    0.0      1.99e-02 0.00e+00   58.700 56
 
Model      : spectral model: simple power-law (PL) and cutoff power-law (CPL)
Ph_index   : photon index: E^-{Ph_index} (minus sign is not included in the index)
Ph_90err   : 90% error of the photon index
Epeak      : Epeak in keV
Epeak_90err: 90% error of Epeak
Norm       : normalization at 50 keV in PL model and at 1 keV in CPL model
Nomr_90err : 90% error of the normalization
chi2       : Chi-Squared
dof        : degree of freedom
 
=== T90/T50 calculation in the 50-300 keV band (BATSE band) using 64 ms lc ===
 
T90 in the 50-300 keV band: 0.000000 sec.
T50 in the 50-300 keV band: 0.000000 sec.
 
=== Table of the duration information ==
 
        Value   tstart    tstop
T100   64.000    0.000   64.000
T90    64.000    0.000   64.000
T50    64.000    0.000   64.000
Peak   64.000    0.000   64.000
  • Click here for the BAT GCN circular template

    Image

    Pre-slew 15-350 keV image (Event data; bkg subtracted)

    #   RAcent  DECcent POSerr  Theta    Phi     Peak Cts     SNR  Name
      274.6577 -17.0691 0.0303   23.9  -11.5       0.6361     6.3  TRIG_00351323       
    ------------------------------------------
     
    Foreground time interval of the image:
      0.000  64.000 (delta_t =  64.000 [sec])
    Background time interval of the image:
    

    Lightcurves

    Notes:

    1 s binning

    From T0-310 s to T0+310 s
    From T100_start - 20 s to T100_end + 30 s
    Full time interval

    64 ms binning

    Full time interval
    From T100_start to T100_end
    From T0-5 sec to T0+5 sec

    16 ms binning

    From T100_start-5 s to T100_start+5 s

    8 ms binning

    From T100_start-3 s to T100_start+3 s

    2 ms binning

    From T100_start-1 s to T100_start+1 s

    SN=5 or 10 sec. binning (whichever binning is satisfied first)

    SN=5 or 10 sec. binning (T < 200 sec)

    Spectra

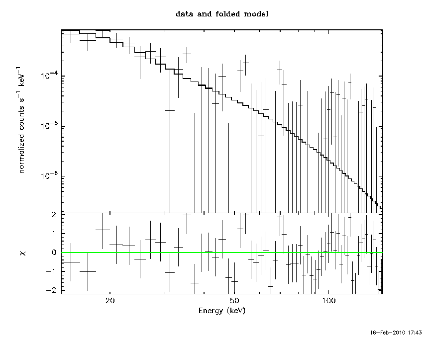
    Notes:

    Time averaged spectrum fit using the pre-slew DRM

    Power-law model
    Time interval is from    0.000 sec. to   64.000 sec.
     
    Spectral model in power-law:
    ------------------------------------------------------------
    Parameters  : value       lower 90%   higher 90%
    Photon index: 3.33174     ( -0.616219   0.619129 )
    Norm@50keV  : 2.30516E-04    ( -0.000108989   0.000160619 )
    ------------------------------------------------------------
    # Chi-Squared =          59.70 using 59 PHA bins.
    # Reduced chi-squared =          1.047 for     57 degrees of freedom 
    # Null hypothesis probability =   3.776505e-01
     
    Photon flux (15-150 keV)    in 64 sec: 8.21085E-02 ( -0.0174871  0.0175835 ) ph/cm2/s
    Energy fluence (15-150 keV)             : 2.15441e-07 ( -5.71837e-08  6.41126e-08 ) ergs/cm2
     
    
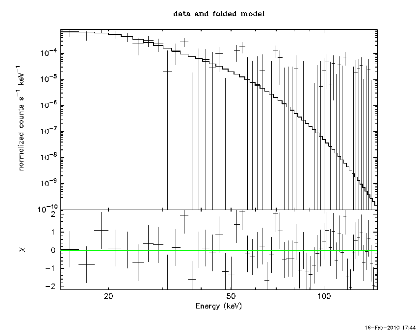
    Cutoff power-law model
    Time interval is from    0.000 sec. to   64.000 sec.
    Spectral model in the cutoff power-law:
    ------------------------------------------------------------
    Parameters  : value       lower 90%   higher 90%
    Photon index: 0.763229     ( -0.742007   1.2449 )
    Epeak [keV] : 12.9274      (   )
    Norm@50keV  : 1.78617E-02    (     )
    ------------------------------------------------------------
    # Chi-Squared =          58.04 using 59 PHA bins.
    # Reduced chi-squared =          1.036 for     56 degrees of freedom 
    # Null hypothesis probability =   3.999955e-01
     
    Photon flux (15-150 keV)    in 64 sec: 8.20744E-02 ( -0.0174816  0.0175775 ) ph/cm2/s
    Energy fluence (15-150 keV)             : 1.91297e-07 ( -4.78438e-08  6.44813e-08 ) ergs/cm2
     
    
    Band function
    Time interval is from    0.000 sec. to   64.000 sec.
     
    Spectral model in the Band function:
    ------------------------------------------------------------
    Parameters  : value       lower 90%   higher 90%
    alpha       : -1.04667   ( 1.04667   5.89532 )
    beta        : -9.29038    ( 7.10881   17.1086 )
    Epeak [keV] : 11.2069      ( -11.2556 9.34747 )
    Norm@50keV   : 1.10831E-02    ( -0.0110037   3.51954 )
    ------------------------------------------------------------
    # Chi-Squared =          58.06 using 59 PHA bins.
    # Reduced chi-squared =          1.056 for     55 degrees of freedom 
    # Null hypothesis probability =   3.631053e-01
     
    Photon flux (15-150 keV)    in 64 sec: 8.103948E-02 ( -0.0166261  0.0174958 ) ph/cm2/s
    Energy fluence (15-150 keV)             : 2.07744e-07 ( -4.35443e-08  4.70342e-08 ) ergs/cm2
     
    

    Peak spectrum fit

    Power-law model
    Time interval is from    0.000 sec. to   64.000 sec.
     
    Spectral model in power-law:
    ------------------------------------------------------------
    Parameters  : value       lower 90%   higher 90%
    Photon index: 3.21913     ( -0.507397   0.640515 )
    Norm@50keV  : 2.53456E-04    ( -0.000121053   0.000144721 )
    ------------------------------------------------------------
    # Chi-Squared =          60.55 using 59 PHA bins.
    # Reduced chi-squared =          1.062 for     57 degrees of freedom 
    # Null hypothesis probability =   3.491591e-01
     
    Photon flux (15-150 keV)    in 64 sec: 8.21055E-02 ( -0.0166423  0.0167857 ) ph/cm2/s
    Energy fluence (15-150 keV)             : 2.17262e-07 ( -5.66474e-08  6.39216e-08 ) ergs/cm2
     
    
    Cutoff power-law model
    Time interval is from    0.000 sec. to   64.000 sec.
    Spectral model in the cutoff power-law:
    ------------------------------------------------------------
    Parameters  : value       lower 90%   higher 90%
    Photon index: 0.706268     (     )
    Epeak [keV] : 13.2007      (   )
    Norm@50keV  : 1.98846E-02    (     )
    ------------------------------------------------------------
    # Chi-Squared =          58.70 using 59 PHA bins.
    # Reduced chi-squared =          1.048 for     56 degrees of freedom 
    # Null hypothesis probability =   3.767005e-01
     
    Photon flux (15-150 keV)    in 64 sec: 8.20734E-02 ( -0.016638  0.0167805 ) ph/cm2/s
    Energy fluence (15-150 keV)             : 1.9225e-07 ( -4.64544e-08  6.24026e-08 ) ergs/cm2
     
    
    Band function
    Time interval is from    0.000 sec. to   64.000 sec.
     
    Spectral model in the Band function:
    ------------------------------------------------------------
    Parameters  : value       lower 90%   higher 90%
    alpha       : 4.11308   ( 1.04757   1.04757 )
    beta        : -3.99343    ( 7.31883   17.314 )
    Epeak [keV] : 18.1651      ( -4.27672 8.7615 )
    Norm@50keV   : 213.374    ( -213.789   223.837 )
    ------------------------------------------------------------
    # Chi-Squared =          58.62 using 59 PHA bins.
    # Reduced chi-squared =          1.066 for     55 degrees of freedom 
    # Null hypothesis probability =   3.440325e-01
     
    Photon flux (15-150 keV)    in 64 sec: 8.103948E-02 ( -0.0166261  0.0174958 ) ph/cm2/s
    Energy fluence (15-150 keV)             : 2.07744e-07 ( -4.35443e-08  4.70342e-08 ) ergs/cm2
     
    

    Pre-slew spectrum (Pre-slew PHA with pre-slew DRM)

    Power-law model
     
    Spectral model in power-law:
    ------------------------------------------------------------
    Parameters  : value       lower 90%   higher 90%
    Photon index: 3.33174     ( -0.616219   0.619129 )
    Norm@50keV  : 2.30516E-04    ( -0.000108989   0.000160619 )
    ------------------------------------------------------------
    # Chi-Squared =          59.70 using 59 PHA bins.
    # Reduced chi-squared =          1.047 for     57 degrees of freedom 
    # Null hypothesis probability =   3.776505e-01
     
    Photon flux (15-150 keV)    in 64 sec: 8.21085E-02 ( -0.0174871  0.0175835 ) ph/cm2/s
    Energy fluence (15-150 keV)             : 2.15441e-07 ( -5.71837e-08  6.41126e-08 ) ergs/cm2
     
    
    Cutoff power-law model
    Spectral model in the cutoff power-law:
    ------------------------------------------------------------
    Parameters  : value       lower 90%   higher 90%
    Photon index: 0.763229     ( -0.742007   1.22204 )
    Epeak [keV] : 12.9274      (   )
    Norm@50keV  : 1.78617E-02    (     )
    ------------------------------------------------------------
    # Chi-Squared =          58.04 using 59 PHA bins.
    # Reduced chi-squared =          1.036 for     56 degrees of freedom 
    # Null hypothesis probability =   3.999955e-01
     
    Photon flux (15-150 keV)    in 64 sec: 8.20744E-02 ( -0.0174816  0.0175775 ) ph/cm2/s
    Energy fluence (15-150 keV)             : 1.91297e-07 ( -4.78438e-08  6.44813e-08 ) ergs/cm2
     
    
    Band function
     
    Spectral model in the Band function:
    ------------------------------------------------------------
    Parameters  : value       lower 90%   higher 90%
    alpha       : -1.04667   ( 1.04667   5.89532 )
    beta        : -9.29038    ( 7.10881   17.1086 )
    Epeak [keV] : 11.2069      ( -11.2556 9.34747 )
    Norm@50keV   : 1.10831E-02    ( -0.0110037   3.51954 )
    ------------------------------------------------------------
    # Chi-Squared =          58.06 using 59 PHA bins.
    # Reduced chi-squared =          1.056 for     55 degrees of freedom 
    # Null hypothesis probability =   3.631053e-01
     
    Photon flux (15-150 keV)    in 64 sec: 8.103948E-02 ( -0.0166261  0.0174958 ) ph/cm2/s
    Energy fluence (15-150 keV)             : 2.07744e-07 ( -4.35443e-08  4.70342e-08 ) ergs/cm2
     
    

    S(25-50 keV) vs. S(50-100 keV) plot

    S(25-50 keV)  = 6.98054e-08
    S(50-100 keV) = 2.92332e-08
    

    T90 vs. Hardness ratio plot

    T90                                   = 64 sec.
    Hardness ratio (energy fluence ratio) = 0.418781
    

    Color vs. Color plot

    Count Ratio  (25-50 keV) / (15-25 keV) = 0.420608
    Count Ratio (50-100 keV) / (15-25 keV) = 0.0190352
    

    Mask shadow pattern

    IMX = 0, IMY = 0
    

    TIME vs. PHA plot around the trigger time

    TIME vs. DetID plot around the trigger time

    100 us light curve (15-350 keV)

    Spacecraft aspect plot

    Bright source in the pre-burst/pre-slew/post-slew images

    Pre-burst image of 15-350 keV band

    Time interval of the image:
     
    

    Pre-slew background subtracted image of 15-350 keV band

    Time interval of the image:
    0.000000 64.000000
     
    # RAcent  DECcent POSerr Theta    Phi  PeakCts   SNR AngSep     Name
    #  [deg]    [deg]    ['] [deg]  [deg]                   [']
    244.9609 -15.6370    0.9  26.0   59.8   1.8471  13.1    1.1	Sco X-1                       
    254.5053  35.1971    7.5  32.4 -174.2  -0.1726  -1.5    9.0	Her X-1                       
    256.1719 -37.8810    4.5  41.9   25.7   0.5297   2.6    9.1	4U 1700-377                   
    256.4800 -36.4962    2.3  40.5   25.7   0.9180   5.0    4.9	GX 349+2                      
    262.9301 -24.6118    3.7  28.2   17.4   0.3417   3.2    9.1	GX 1+4                        
    264.9238 -44.4752   14.4  48.1   15.9   0.2371   0.8    7.9	4U 1735-44                    
    268.2790  -1.5335    2.9   7.7  -29.9   0.3764   4.1    7.2	SW J1753.5-0127               
    270.3146 -25.2266    4.7  29.8    3.9  -0.2513  -2.4    9.0	GX 5-1                        
    270.1411 -25.7238    4.2  30.3    4.5   0.2995   2.9    8.8	GRS 1758-258                  
    273.9955 -13.9629    3.1  20.9  -14.4   0.3703   3.8    4.5	GX 17+2                       
    275.8007 -30.4249    4.2  36.3   -1.3   0.3643   2.8    7.3	H1820-303                     
    285.1762 -24.9080    4.4  36.0  -18.2   0.3090   2.6    7.7	HT1900.1-2455                 
    288.7567  11.0224    1.9  27.0  -89.2   0.8123   6.1    5.2	GRS 1915+105                  
    267.0766 -32.9524    3.0  36.8   11.8   0.4880   3.8 ------	UNKNOWN                       
    274.6577 -17.0691    1.8  23.9  -11.5   0.6362   6.3 ------	UNKNOWN                       
    

    Post-slew image of 15-350 keV band

    Time interval of the image:
    120.400600 349.170000
    350.000000 963.076600
     
    # RAcent  DECcent POSerr Theta    Phi  PeakCts   SNR AngSep     Name
    #  [deg]    [deg]    ['] [deg]  [deg]                   [']
    244.9909 -15.6500    0.5  28.5   96.2  23.2359  23.7    0.9	Sco X-1                       
    255.9403 -37.8693    2.7  26.5   42.2   3.1324   4.3    2.7	4U 1700-377                   
    256.5062 -36.5167    2.6  25.2   43.6   2.9547   4.5    6.6	GX 349+2                      
    263.0307 -24.7831    3.6  13.3   60.3   1.7257   3.2    2.5	GX 1+4                        
    264.5354 -44.3021    0.0  28.5   22.9  -0.8364  -1.3   12.6	4U 1735-44                    
    268.3978  -1.4389    1.8  16.8  165.5   3.5229   6.5    2.0	SW J1753.5-0127               
    270.2375 -25.0765    2.5   9.0   34.1   2.9081   4.7    2.5	GX 5-1                        
    270.3427 -25.6371    4.2   9.5   32.0   1.9051   3.2    6.7	GRS 1758-258                  
    274.0247 -13.9589    3.4   3.2  176.5   2.0094   3.4    4.8	GX 17+2                       
    275.9470 -30.2838    2.6  13.3    2.8   2.7253   4.4    5.1	H1820-303                     
    285.2046 -24.9324    9.5  12.6  -42.0   0.6418   1.2    9.2	HT1900.1-2455                 
    288.8004  10.9273    0.9  31.3 -144.9   8.2548  12.3    1.1	GRS 1915+105                  
    274.6678 -17.0506    1.2   0.0 -150.4   5.2389   9.3 ------	UNKNOWN                       
    274.9404   5.0838    3.4  22.2 -171.6   1.9066   3.4 ------	UNKNOWN                       
    320.7992 -24.7223    5.7  43.6  -64.2   7.1400   2.1 ------	UNKNOWN                       
    324.1140 -32.9052    4.1  47.1  -53.0   9.9281   2.8 ------	UNKNOWN                       
    312.1707   2.9637    3.4  42.1 -107.2  10.3633   3.4 ------	UNKNOWN                       
    
    Plot creation:
    Tue Feb 16 17:46:36 EST 2010