batgrbproduct Analysis for Trigger=355911

Analysis Summary

Notes:

======================================================================
                  BAT GRB EVENT DATA PROCESSING REPORT
    Process Script Ver: batgrbproduct v2.45
    Process Start Time (local time): Sun Jun 28 23:42:28 EDT 2009
             Host Name: gcn5
   Current Working Dir: /local/data/raid16/prebascript_archive/trigger355911/GCN5_download_cron
======================================================================

  Trigger: 00355911      Segment: 000

  BAT Trigger Time: 267869168   [s; MET]
      Trigger Stop: 267869680   [s; MET]
               UTC: 2009-06-28T08:06:03.135260    [includes UTCF correction] 
       Where From?: TDRSS position message

  BAT 
    RA: 281.258249917138   Dec: -4.57509375432809  [deg; J2000]

     Catalogged Source?: YES
     Point Source?:      YES
     GRB Indicated?:     NO    [ by BAT flight software ]
     Image S/N Ratio:    6.99
     Image Trigger?:     YES
     Rate S/N Ratio:     0  [ if not an image trigger ]
     Image S/N Ratio:    6.99

  Flight Position:   [ source = BAT ]
    RA: 281.258249917138   Dec: -4.57509375432809  [deg; J2000]

  Ground Position:   [ source = BAT pre-slew burst ]
    RA: 281.29052600554   Dec: -4.48377415649073  [deg; J2000]  
        { 18h 45m 09.7s , -04d 29' 01.6" }
         +/- 4.73270310205594 [arcmin] (estimated 90% radius based on SNR)
         +/- 2.52886223821374 [arcmin] (formal 1-sigma fit error)
    SNR: 3.30123605069314
 
  Angular difference between Flight and Ground position is 5.809326 arcmin
 
  Partial Coding Fraction: 1.015625    [ including projection effects ]

  Duration
     T90: 641.640000015497 +/- 193.241359760456
        Measured from: 40.1200000941753
                   to: 681.760000109673     [s; relative to TRIGTIME]
     T50: 263.840000003576 +/- 291.009107669091
        Measured from: 153.168000102043
                   to: 417.008000105619     [s; relative to TRIGTIME]



  Fluence
     Peak Flux  (peak 1 second)
        Measured from: 734.99200001359     
                   to: 735.99200001359     [s; relative to TRIGTIME]
     Total Fluence        
        Measured from: 8.43200001120567     
                   to: 790.696000009775     [s; relative to TRIGTIME]
     
             Band 1     Band 2     Band 3     Band 4
              15-25      25-50     50-100    100-350     keV
 Total     1.084057   1.083927   0.307651  -0.036893
           0.150058   0.148323   0.129491   0.114803 [error]
 Peak      0.032121   0.046076  -0.005829   0.017345
           0.022666   0.020601   0.021043   0.018886 [error]

     [ fluence units of on-axis counts / fully illuminated detector ] 

======================================================================
 
=== Fluence/Peak Flux Summary ===
 
              Model    Band1    Band2    Band3    Band4    Band5    Total      
                       15-25    25-50   50-100  100-350   15-150   15-350   keV
Fluence   Power-law 3.38e-07 3.59e-07 2.70e-07 3.30e-07 1.09e-06 1.30e-06   erg/cm2
              Error 6.41e-08 6.80e-08 9.77e-08 2.21e-07 2.34e-07 3.69e-07   erg/cm2
Peak flux Power-law 1.55e-01 3.99e-02 5.40e-03 8.24e-04 2.01e-01 2.03e-01   ph/cm2/s
              Error 2.10e-01 4.52e-02 5.62e-03 4.21e-03 2.58e-01 2.58e-01   ph/cm2/s
 
Fluence   Cutoff-PL 3.24e-07 4.30e-07 1.93e-07 2.07e-08 9.66e-07 9.68e-07   erg/cm2
              Error 7.02e-08 9.26e-08 1.22e-07 9.36e-08 2.14e-07 2.33e-07   erg/cm2
Peak flux Cutoff-PL 2.16e-01 3.35e-01 7.62e-02 8.89e-04 6.26e-01 6.27e-01   ph/cm2/s
              Error 1.97e-01 1.94e-01 4.99e-02 9.68e-04 3.74e-01 3.75e-01   ph/cm2/s
 
Fluence        Band 0.00e+00 0.00e+00 0.00e+00 0.00e+00 0.00e+00 0.00e+00   erg/cm2
              Error 0.00e+00 0.00e+00 0.00e+00 0.00e+00 0.00e+00 0.00e+00   erg/cm2
Peak flux      Band 0.00e+00 0.00e+00 0.00e+00 0.00e+00 0.00e+00 0.00e+00   ph/cm2/s
              Error 0.00e+00 0.00e+00 0.00e+00 0.00e+00 0.00e+00 0.00e+00   ph/cm2/s
 
=== Time-averaged spectral analysis ===
 
Model Ph_index Ph_90err Epeak  Epeak_90err Norm     Nomr_90err chi2   dof
PL    2.411    0.335    -      -           1.43e-04 3.85e-05   56.740 57
CPL   0.768    1.719      26.1    0.0      1.65e-03 0.00e+00   52.320 56
 
 
=== 1-s peak spectral analysis ===
 
Model Ph_index Ph_90err Epeak  Epeak_90err Norm     Nomr_90err chi2   dof
PL    3.885    0.000    -      -           3.61e-04 3.80e-04   52.360 57
CPL  -3.726    0.215      41.2    9.6      7.58e+00 2.05e+01   45.450 56
 
Model      : spectral model: simple power-law (PL) and cutoff power-law (CPL)
Ph_index   : photon index: E^-{Ph_index} (minus sign is not included in the index)
Ph_90err   : 90% error of the photon index
Epeak      : Epeak in keV
Epeak_90err: 90% error of Epeak
Norm       : normalization at 50 keV in PL model and at 1 keV in CPL model
Nomr_90err : 90% error of the normalization
chi2       : Chi-Squared
dof        : degree of freedom
 
=== T90/T50 calculation in the 50-300 keV band (BATSE band) using 64 ms lc ===
 
T90 in the 50-300 keV band: 0.000000 sec.
T50 in the 50-300 keV band: 0.000000 sec.
 
=== Table of the duration information ==
 
        Value   tstart    tstop
T100  782.264    8.432  790.696
T90   641.640   40.120  681.760
T50   263.840  153.168  417.008
Peak    1.000  734.992  735.992
  • Click here for the BAT GCN circular template

    Image

    Pre-slew 15-350 keV image (Event data; bkg subtracted)

    #   RAcent  DECcent POSerr  Theta    Phi     Peak Cts     SNR  Name
      281.2905  -4.4838 0.0584    1.5   82.3       4.3070     3.3  TRIG_00355911       
    ------------------------------------------
     
    Foreground time interval of the image:
      8.432 532.301 (delta_t = 523.869 [sec])
    Background time interval of the image:
     -5.499   8.432 (delta_t =  13.931 [sec])
    

    Lightcurves

    Notes:

    1 s binning

    From T0-310 s to T0+310 s
    From T100_start - 20 s to T100_end + 30 s
    Full time interval

    64 ms binning

    Full time interval
    From T100_start to T100_end
    From T0-5 sec to T0+5 sec

    16 ms binning

    From T100_start-5 s to T100_start+5 s
    Blue+Cyan dotted lines: Time interval of the scaled map
    From 0.000000 to 512.000000
    

    8 ms binning

    From T100_start-3 s to T100_start+3 s
    Blue+Cyan dotted lines: Time interval of the scaled map
    From 0.000000 to 512.000000
    

    2 ms binning

    From T100_start-1 s to T100_start+1 s
    Blue+Cyan dotted lines: Time interval of the scaled map
    From 0.000000 to 512.000000
    

    SN=5 or 10 sec. binning (whichever binning is satisfied first)

    SN=5 or 10 sec. binning (T < 200 sec)

    Spectra

    Notes:

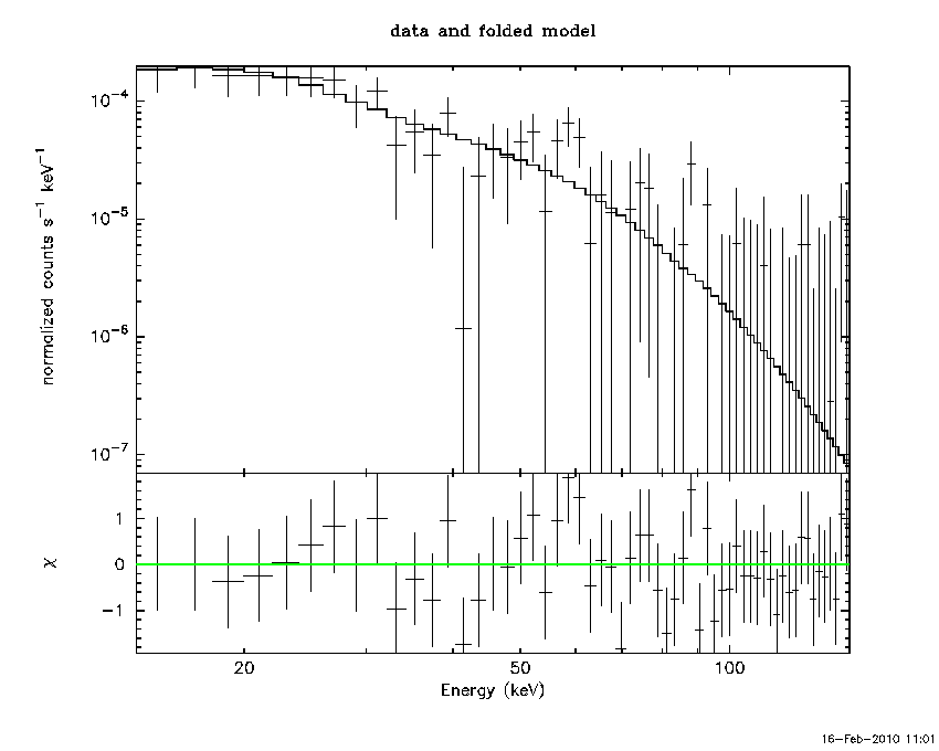
    Time averaged spectrum fit using the pre-slew DRM

    Power-law model
    Time interval is from    8.432 sec. to  790.696 sec.
     
    Spectral model in power-law:
    ------------------------------------------------------------
    Parameters  : value       lower 90%   higher 90%
    Photon index: 2.41058     ( -0.312561   0.35774 )
    Norm@50keV  : 1.42968E-04    ( -3.84226e-05   3.86645e-05 )
    ------------------------------------------------------------
    # Chi-Squared =          56.74 using 59 PHA bins.
    # Reduced chi-squared =         0.9954 for     57 degrees of freedom 
    # Null hypothesis probability =   4.847872e-01
     
    Photon flux (15-150 keV)    in 782.3 sec: 2.66171E-02 ( -0.00434972  0.00435606 ) ph/cm2/s
    Energy fluence (15-150 keV)             : 1.09362e-06 ( -2.2718e-07  2.41415e-07 ) ergs/cm2
     
    
    Cutoff power-law model
    Time interval is from    8.432 sec. to  790.696 sec.
    Spectral model in the cutoff power-law:
    ------------------------------------------------------------
    Parameters  : value       lower 90%   higher 90%
    Photon index: 0.768311     ( -2.20968   1.22893 )
    Epeak [keV] : 26.0783      (   )
    Norm@50keV  : 1.64884E-03    (     )
    ------------------------------------------------------------
    # Chi-Squared =          52.32 using 59 PHA bins.
    # Reduced chi-squared =         0.9343 for     56 degrees of freedom 
    # Null hypothesis probability =   6.150233e-01
     
    Photon flux (15-150 keV)    in 782.3 sec: 2.59885E-02 ( -0.0042314  0.004269 ) ph/cm2/s
    Energy fluence (15-150 keV)             : 9.66195e-07 ( -1.96331e-07  2.31318e-07 ) ergs/cm2
     
    
    Band function
    Time interval is from    8.432 sec. to  790.696 sec.
     
    Spectral model in the Band function:
    ------------------------------------------------------------
    Parameters  : value       lower 90%   higher 90%
    alpha       : -0.659040   ( -0.982483   2.2125 )
    beta        : -9.37166    ( 10   20 )
    Epeak [keV] : 26.8196      ( -13.0461 8.67538 )
    Norm@50keV   : 1.91121E-03    ( -0.00114582   0.632809 )
    ------------------------------------------------------------
    # Chi-Squared =          52.31 using 59 PHA bins.
    # Reduced chi-squared =         0.9511 for     55 degrees of freedom 
    # Null hypothesis probability =   5.780432e-01
     
    Photon flux (15-150 keV)    in 782.3 sec:  (    ) ph/cm2/s
    Energy fluence (15-150 keV)             : 0 ( 0  0 ) ergs/cm2
     
    

    Peak spectrum fit

    Power-law model
    Time interval is from  734.992 sec. to  735.992 sec.
     
    Spectral model in power-law:
    ------------------------------------------------------------
    Parameters  : value       lower 90%   higher 90%
    Photon index: 3.88460     ( -3.8846   -3.8846 )
    Norm@50keV  : 3.60646E-04    ( -0.000360646   0.000398423 )
    ------------------------------------------------------------
    # Chi-Squared =          52.36 using 59 PHA bins.
    # Reduced chi-squared =         0.9187 for     57 degrees of freedom 
    # Null hypothesis probability =   6.493575e-01
     
    Photon flux (15-150 keV)    in 1 sec: 0.201229 ( -0.201229  0.315196 ) ph/cm2/s
    Energy fluence (15-150 keV)             : 7.31454e-09 ( -7.31454e-09  1.05632e-08 ) ergs/cm2
     
    
    Cutoff power-law model
    Time interval is from  734.992 sec. to  735.992 sec.
    Spectral model in the cutoff power-law:
    ------------------------------------------------------------
    Parameters  : value       lower 90%   higher 90%
    Photon index: -3.72566     ( 3.73296   4.16266 )
    Epeak [keV] : 41.1878      ( -11.9239 7.33163 )
    Norm@50keV  : 7.58186    ( -7.65598   33.4027 )
    ------------------------------------------------------------
    # Chi-Squared =          45.45 using 59 PHA bins.
    # Reduced chi-squared =         0.8116 for     56 degrees of freedom 
    # Null hypothesis probability =   8.421949e-01
     
    Photon flux (15-150 keV)    in 1 sec: 0.626142 ( -0.368568  0.379528 ) ph/cm2/s
    Energy fluence (15-150 keV)             : 3.32318e-08 ( -1.87573e-08  1.86336e-08 ) ergs/cm2
     
    
    Band function
    Time interval is from  734.992 sec. to  735.992 sec.
     
    Spectral model in the Band function:
    ------------------------------------------------------------
    Parameters  : value       lower 90%   higher 90%
    alpha       : 4.38458   ( 1.14058   1.14058 )
    beta        : -10.00000    ( 9.70027e+12   9.70027e+12 )
    Epeak [keV] : 40.5732      ( -18.0309 6.97755 )
    Norm@50keV   : 19.2526    ( -18.2993   40.0084 )
    ------------------------------------------------------------
    # Chi-Squared =          45.40 using 59 PHA bins.
    # Reduced chi-squared =         0.8255 for     55 degrees of freedom 
    # Null hypothesis probability =   8.185080e-01
     
    Photon flux (15-150 keV)    in 1 sec:  (    ) ph/cm2/s
    Energy fluence (15-150 keV)             : 0 ( 0  0 ) ergs/cm2
     
    

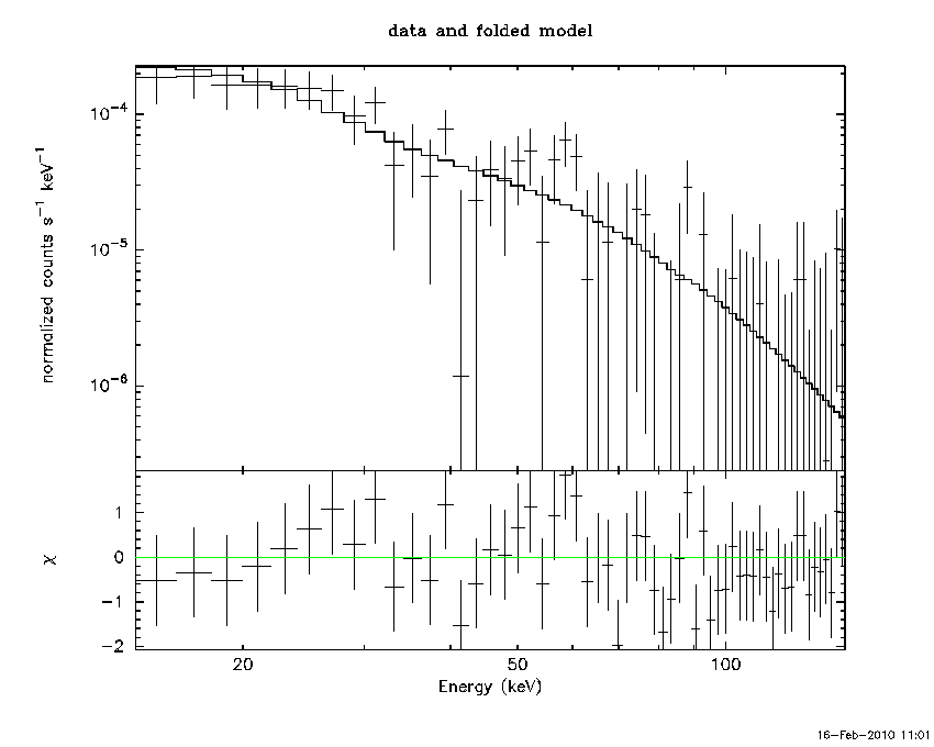
    Pre-slew spectrum (Pre-slew PHA with pre-slew DRM)

    Power-law model
     
    Spectral model in power-law:
    ------------------------------------------------------------
    Parameters  : value       lower 90%   higher 90%
    Photon index: 2.29677     ( -0.297558   0.335365 )
    Norm@50keV  : 1.91601E-04    ( -4.68661e-05   4.64163e-05 )
    ------------------------------------------------------------
    # Chi-Squared =          41.22 using 59 PHA bins.
    # Reduced chi-squared =         0.7231 for     57 degrees of freedom 
    # Null hypothesis probability =   9.427088e-01
     
    Photon flux (15-150 keV)    in 523.9 sec: 3.34239E-02 ( -0.00521731  0.00522029 ) ph/cm2/s
    Energy fluence (15-150 keV)             : 9.58669e-07 ( -1.89499e-07  1.99859e-07 ) ergs/cm2
     
    
    Cutoff power-law model
    Spectral model in the cutoff power-law:
    ------------------------------------------------------------
    Parameters  : value       lower 90%   higher 90%
    Photon index: 1.14117     ( -2.05264   0.873089 )
    Epeak [keV] : 27.1808      (   )
    Norm@50keV  : 1.02045E-03    (     )
    ------------------------------------------------------------
    # Chi-Squared =          37.91 using 59 PHA bins.
    # Reduced chi-squared =         0.6769 for     56 degrees of freedom 
    # Null hypothesis probability =   9.695229e-01
     
    Photon flux (15-150 keV)    in 523.9 sec: 3.24403E-02 ( -0.005141  0.0051943 ) ph/cm2/s
    Energy fluence (15-150 keV)             : 8.52642e-07 ( -1.72028e-07  2.04211e-07 ) ergs/cm2
     
    
    Band function
     
    Spectral model in the Band function:
    ------------------------------------------------------------
    Parameters  : value       lower 90%   higher 90%
    alpha       : -1.15583   ( -0.861737   1.15531 )
    beta        : -9.37121    ( 9.99926   19.9993 )
    Epeak [keV] : 27.1904      ( -8.43249 11.941 )
    Norm@50keV   : 9.95074E-04    ( -0.0009996   0.132164 )
    ------------------------------------------------------------
    # Chi-Squared =          37.92 using 59 PHA bins.
    # Reduced chi-squared =         0.6895 for     55 degrees of freedom 
    # Null hypothesis probability =   9.617028e-01
     
    Photon flux (15-150 keV)    in 523.9 sec:  (    ) ph/cm2/s
    Energy fluence (15-150 keV)             : 0 ( 0  0 ) ergs/cm2
     
    

    S(25-50 keV) vs. S(50-100 keV) plot

    S(25-50 keV)  = 3.59165e-07
    S(50-100 keV) = 2.70198e-07
    

    T90 vs. Hardness ratio plot

    T90                                   = 641.640000015497 sec.
    Hardness ratio (energy fluence ratio) = 0.752295
    

    Color vs. Color plot

    Count Ratio  (25-50 keV) / (15-25 keV) = 0.99988
    Count Ratio (50-100 keV) / (15-25 keV) = 0.283796
    

    Mask shadow pattern

    IMX = 3.592507589702664E-03, IMY = -2.649301403588573E-02
    

    TIME vs. PHA plot around the trigger time

    Blue+Cyan dotted lines: Time interval of the scaled map
    From 0.000000 to 512.000000
    

    TIME vs. DetID plot around the trigger time

    Blue+Cyan dotted lines: Time interval of the scaled map
    From 0.000000 to 512.000000
    

    100 us light curve (15-350 keV)

    Blue+Cyan dotted lines: Time interval of the scaled map
    From 0.000000 to 512.000000
    

    Spacecraft aspect plot

    Bright source in the pre-burst/pre-slew/post-slew images

    Pre-burst image of 15-350 keV band

    Time interval of the image:
    -5.499400 8.432000
     
    # RAcent  DECcent POSerr Theta    Phi  PeakCts   SNR AngSep     Name
    #  [deg]    [deg]    ['] [deg]  [deg]                   [']
    245.0332 -15.6627    4.1  38.5  119.5   0.3071   2.8    3.4	Sco X-1                       
    254.3155  35.3345    7.8  46.5 -160.7   0.1099   1.5    7.0	Her X-1                       
    263.0654 -24.8291    6.5  28.4   89.4   0.1141   1.8    5.9	GX 1+4                        
    268.3360  -1.4834    5.0  13.8  147.7   0.0872   2.3    2.7	SW J1753.5-0127               
    270.4405 -25.1288    9.8  24.6   76.9   0.0620   1.2    9.0	GX 5-1                        
    270.1136 -25.7242    4.9  25.3   76.8   0.1232   2.4   10.3	GRS 1758-258                  
    274.0627 -14.0070    4.9  13.4   86.6   0.0957   2.3    3.7	GX 17+2                       
    275.8994 -30.2668    4.0  27.7   62.4   0.1472   2.9    6.2	H1820-303                     
    284.9115 -24.8297    3.9  21.8   44.0   0.1224   2.9    8.7	HT1900.1-2455                 
    288.9029  10.8428    6.7  15.6 -103.4   0.0660   1.7    8.7	GRS 1915+105                  
    296.3623 -17.0393    2.4  19.7    6.5   0.1686   4.9 ------	UNKNOWN                       
    272.6495   5.8134    2.6  13.0 -175.4   0.1601   4.5 ------	UNKNOWN                       
    

    Pre-slew background subtracted image of 15-350 keV band

    Time interval of the image:
    8.432000 532.300600
     
    # RAcent  DECcent POSerr Theta    Phi  PeakCts   SNR AngSep     Name
    #  [deg]    [deg]    ['] [deg]  [deg]                   [']
    244.9043 -15.7780    6.3  38.7  119.4   7.5885   1.8    9.3	Sco X-1                       
    254.3355  35.3648    5.3  46.5 -160.7  -5.8288  -2.2    6.1	Her X-1                       
    262.8804 -24.6766  174.3  28.4   89.8   0.1562   0.1    8.1	GX 1+4                        
    268.3065  -1.4737   12.5  13.9  147.6  -1.3056  -0.9    3.9	SW J1753.5-0127               
    270.4711 -25.0994   15.1  24.6   76.8  -1.5196  -0.8   10.2	GX 5-1                        
    270.1130 -25.7246    7.0  25.3   76.8  -3.2758  -1.6   10.3	GRS 1758-258                  
    274.0393 -13.9501    8.5  13.4   86.8  -2.1205  -1.4    5.5	GX 17+2                       
    275.8759 -30.2142    5.7  27.7   62.5  -3.9412  -2.0    9.5	H1820-303                     
    284.9031 -24.8386    5.0  21.8   44.0  -3.6292  -2.3    8.7	HT1900.1-2455                 
    288.7420  11.0673   16.9  15.7 -104.3   0.9835   0.7    8.0	GRS 1915+105                  
    252.2554 -15.3640    2.1  31.8  116.4  12.6209   5.4 ------	UNKNOWN                       
    258.5366 -10.8653    2.4  24.6  121.4   8.5640   4.8 ------	UNKNOWN                       
    

    Post-slew image of 15-350 keV band

    Time interval of the image:
    668.200600 679.700610
     
    # RAcent  DECcent POSerr Theta    Phi  PeakCts   SNR AngSep     Name
    #  [deg]    [deg]    ['] [deg]  [deg]                   [']
    326.0489  38.3963    4.1  36.0   84.7   0.2527   2.8    7.3	Cyg X-2                       
     69.5390  48.3869    2.1  34.6  -80.4   0.3499   5.4 ------	UNKNOWN                       
     64.1326  32.3249    2.7  44.7  -59.6   0.5644   4.2 ------	UNKNOWN                       
    
    Plot creation:
    Tue Feb 16 11:02:14 EST 2010