batgrbproduct Analysis for Trigger=355981

Analysis Summary

Notes:

======================================================================
                  BAT GRB EVENT DATA PROCESSING REPORT
    Process Script Ver: batgrbproduct v2.45
    Process Start Time (local time): Tue Jun 30 03:47:43 EDT 2009
             Host Name: gcn5
   Current Working Dir: /local/data/raid16/prebascript_archive/trigger355981/GCN5_download_cron
======================================================================

  Trigger: 00355981      Segment: 000

  BAT Trigger Time: 267985715.584   [s; MET]
      Trigger Stop: 267985715.84   [s; MET]
               UTC: 2009-06-29T16:28:30.715480    [includes UTCF correction] 
       Where From?: TDRSS position message

  BAT 
    RA: 242.698293872996   Dec: 3.63263573013226  [deg; J2000]

     Catalogged Source?: NO
     Point Source?:      YES
     GRB Indicated?:     YES    [ by BAT flight software ]
     Image S/N Ratio:    5.8
     Image Trigger?:     NO
     Rate S/N Ratio:     42.1307488658818  [ if not an image trigger ]
     Image S/N Ratio:    5.8

  Flight Position:   [ source = BAT ]
    RA: 242.698293872996   Dec: 3.63263573013226  [deg; J2000]

  Ground Position:   [ source = BAT pre-slew burst ]
    RA: 242.6848723922   Dec: 3.58566757400932  [deg; J2000]  
        { 16h 10m 44.4s , +03d 35' 08.4" }
         +/- 3.41222490273088 [arcmin] (estimated 90% radius based on SNR)
         +/- 1.76487532299046 [arcmin] (formal 1-sigma fit error)
    SNR: 5.26788184488658
 
  Angular difference between Flight and Ground position is 2.930452 arcmin
 
  Partial Coding Fraction: 0.9296875    [ including projection effects ]

  Duration
     T90: 0.256000012159348 +/- 
        Measured from: 0
                   to: 0.256000012159348     [s; relative to TRIGTIME]
     T50: 0.256000012159348 +/- 
        Measured from: 0
                   to: 0.256000012159348     [s; relative to TRIGTIME]

    WARNING: battblocks failed.  Used TDRSS fore/background intervals

  Fluence
     Peak Flux  (peak 0.256000012159348 second)
        Measured from: 1.49011611938477e-08     
                   to: 0.256000027060509     [s; relative to TRIGTIME]
     Total Fluence        
        Measured from: 0     
                   to: 0.256000012159348     [s; relative to TRIGTIME]
     
             Band 1     Band 2     Band 3     Band 4
              15-25      25-50     50-100    100-350     keV
 Total     0.007370   0.014984  -0.000164   0.000573
           0.002897   0.002821   0.002477   0.002221 [error]
 Peak      0.007370   0.014984  -0.000164   0.000573
           0.002897   0.002821   0.002477   0.002221 [error]

     [ fluence units of on-axis counts / fully illuminated detector ] 

======================================================================
 
=== Fluence/Peak Flux Summary ===
 
              Model    Band1    Band2    Band3    Band4    Band5    Total      
                       15-25    25-50   50-100  100-350   15-150   15-350   keV
Fluence   Power-law 2.44e-09 3.01e-09 2.70e-09 4.20e-09 9.61e-09 1.24e-08   erg/cm2
              Error 1.14e-09 1.19e-09 1.62e-09 5.16e-09 4.19e-09 7.06e-09   erg/cm2
Peak flux Power-law 3.17e-01 2.16e-01 9.63e-02 5.96e-02 6.58e-01 6.89e-01   ph/cm2/s
              Error 1.47e-01 8.28e-02 5.58e-02 6.85e-02 2.49e-01 2.62e-01   ph/cm2/s
 
Fluence   Cutoff-PL 2.04e-09 4.83e-09 1.55e-09 2.80e-11 9.20e-09 8.43e-09   erg/cm2
              Error 1.04e-09 1.67e-09 1.64e-09 2.62e-10 3.09e-09 3.06e-09   erg/cm2
Peak flux Cutoff-PL 2.49e-01 3.44e-01 6.42e-02 5.12e-04 6.58e-01 6.58e-01   ph/cm2/s
              Error 1.31e-01 1.16e-01 6.67e-02 6.17e-03 2.22e-01 2.21e-01   ph/cm2/s
 
Fluence        Band 0.00e+00 0.00e+00 0.00e+00 0.00e+00 0.00e+00 0.00e+00   erg/cm2
              Error 0.00e+00 0.00e+00 0.00e+00 0.00e+00 0.00e+00 0.00e+00   erg/cm2
Peak flux      Band 0.00e+00 0.00e+00 0.00e+00 0.00e+00 0.00e+00 0.00e+00   ph/cm2/s
              Error 0.00e+00 0.00e+00 0.00e+00 0.00e+00 0.00e+00 0.00e+00   ph/cm2/s
 
=== Time-averaged spectral analysis ===
 
Model Ph_index Ph_90err Epeak  Epeak_90err Norm     Nomr_90err chi2   dof
PL    2.155    0.624    -      -           4.02e-03 1.92e-03   89.480 57
CPL  -4.821    0.000      36.0    7.0      7.35e+01 5.03e+01   83.270 56
 
 
=== 1-s peak spectral analysis ===
 
Model Ph_index Ph_90err Epeak  Epeak_90err Norm     Nomr_90err chi2   dof
PL    2.162    0.616    -      -           4.06e-03 1.92e-03   90.310 57
CPL  -4.801    0.000      35.9    6.9      7.37e+01 5.05e+01   84.140 56
 
Model      : spectral model: simple power-law (PL) and cutoff power-law (CPL)
Ph_index   : photon index: E^-{Ph_index} (minus sign is not included in the index)
Ph_90err   : 90% error of the photon index
Epeak      : Epeak in keV
Epeak_90err: 90% error of Epeak
Norm       : normalization at 50 keV in PL model and at 1 keV in CPL model
Nomr_90err : 90% error of the normalization
chi2       : Chi-Squared
dof        : degree of freedom
 
=== T90/T50 calculation in the 50-300 keV band (BATSE band) using 64 ms lc ===
 
T90 in the 50-300 keV band: 0.000000 sec.
T50 in the 50-300 keV band: 0.000000 sec.
 
=== Table of the duration information ==
 
        Value   tstart    tstop
T100    0.256    0.000    0.256
T90     0.256    0.000    0.256
T50     0.256    0.000    0.256
Peak    0.256    0.000    0.256
  • Click here for the BAT GCN circular template

    Image

    Pre-slew 15-350 keV image (Event data; bkg subtracted)

    #   RAcent  DECcent POSerr  Theta    Phi     Peak Cts     SNR  Name
      242.6849  +3.5857 0.0364   20.3   14.3       0.0278     5.3  TRIG_00355981       
    ------------------------------------------
     
    Foreground time interval of the image:
      0.000   0.256 (delta_t =   0.256 [sec])
    Background time interval of the image:
    -24.283  -3.584 (delta_t =  20.699 [sec])
    

    Lightcurves

    Notes:

    1 s binning

    From T0-310 s to T0+310 s
    From T100_start - 20 s to T100_end + 30 s
    Full time interval

    64 ms binning

    Full time interval
    From T100_start to T100_end
    From T0-5 sec to T0+5 sec

    16 ms binning

    From T100_start-5 s to T100_start+5 s

    8 ms binning

    From T100_start-3 s to T100_start+3 s

    2 ms binning

    From T100_start-1 s to T100_start+1 s

    SN=5 or 10 sec. binning (whichever binning is satisfied first)

    SN=5 or 10 sec. binning (T < 200 sec)

    Flight mask-tagged light curves

    Caution: Mask-weight map is always using the same on-axis map

    Quad-rate summed light curves (from T0-300 to T0+1000)

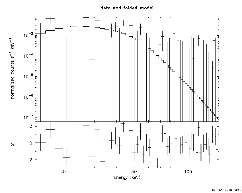
    Spectra

    Notes:

    Time averaged spectrum fit using the pre-slew DRM

    Power-law model
    Time interval is from    0.000 sec. to    0.256 sec.
     
    Spectral model in power-law:
    ------------------------------------------------------------
    Parameters  : value       lower 90%   higher 90%
    Photon index: 2.15525     ( -0.544493   0.704391 )
    Norm@50keV  : 4.02304E-03    ( -0.00195456   0.00188021 )
    ------------------------------------------------------------
    # Chi-Squared =          89.48 using 59 PHA bins.
    # Reduced chi-squared =          1.570 for     57 degrees of freedom 
    # Null hypothesis probability =   3.874813e-03
     
    Photon flux (15-150 keV)    in 0.256 sec: 0.650063 ( -0.251093  0.251221 ) ph/cm2/s
    Energy fluence (15-150 keV)             : 9.61047e-09 ( -4.11098e-09  4.27827e-09 ) ergs/cm2
     
    
    Cutoff power-law model
    Time interval is from    0.000 sec. to    0.256 sec.
    Spectral model in the cutoff power-law:
    ------------------------------------------------------------
    Parameters  : value       lower 90%   higher 90%
    Photon index: -4.82131     (     )
    Epeak [keV] : 35.9648      ( -6.49735 7.41734 )
    Norm@50keV  : 73.5476    ( -73.5554   27.0153 )
    ------------------------------------------------------------
    # Chi-Squared =          83.27 using 59 PHA bins.
    # Reduced chi-squared =          1.487 for     56 degrees of freedom 
    # Null hypothesis probability =   1.049078e-02
     
    Photon flux (15-150 keV)    in 0.256 sec: 0.650737 ( -0.220857  0.223514 ) ph/cm2/s
    Energy fluence (15-150 keV)             : 9.19967e-09 ( -3.02228e-09  3.15548e-09 ) ergs/cm2
     
    
    Band function
    Time interval is from    0.000 sec. to    0.256 sec.
     
    Spectral model in the Band function:
    ------------------------------------------------------------
    Parameters  : value       lower 90%   higher 90%
    alpha       : 4.97340   ( -83.8058   -73.806 )
    beta        : -7.20790    ( 5.8498   15.0399 )
    Epeak [keV] : 35.8824      ( -6.31835 7.34999 )
    Norm@50keV   : 91.9855    ( -50.0544   153.594 )
    ------------------------------------------------------------
    # Chi-Squared =          83.21 using 59 PHA bins.
    # Reduced chi-squared =          1.513 for     55 degrees of freedom 
    # Null hypothesis probability =   8.356770e-03
     
    Photon flux (15-150 keV)    in 0.256 sec:  (    ) ph/cm2/s
    Energy fluence (15-150 keV)             : 0 ( 0  0 ) ergs/cm2
     
    

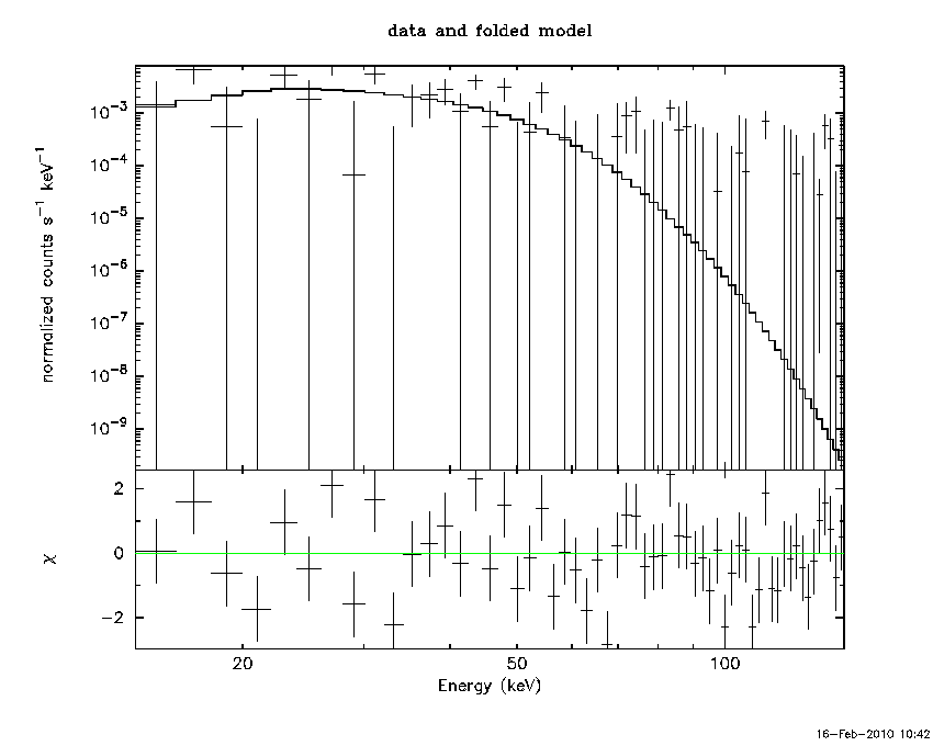
    Peak spectrum fit

    Power-law model
    Time interval is from    0.000 sec. to    0.256 sec.
     
    Spectral model in power-law:
    ------------------------------------------------------------
    Parameters  : value       lower 90%   higher 90%
    Photon index: 2.16230     ( -0.536213   0.695392 )
    Norm@50keV  : 4.05716E-03    ( -0.00195288   0.00187791 )
    ------------------------------------------------------------
    # Chi-Squared =          90.31 using 59 PHA bins.
    # Reduced chi-squared =          1.584 for     57 degrees of freedom 
    # Null hypothesis probability =   3.256426e-03
     
    Photon flux (15-150 keV)    in 0.256 sec: 0.657996 ( -0.24936  0.249422 ) ph/cm2/s
    Energy fluence (15-150 keV)             : 9.70171e-09 ( -4.09577e-09  4.26447e-09 ) ergs/cm2
     
    
    Cutoff power-law model
    Time interval is from    0.000 sec. to    0.256 sec.
    Spectral model in the cutoff power-law:
    ------------------------------------------------------------
    Parameters  : value       lower 90%   higher 90%
    Photon index: -4.80148     (     )
    Epeak [keV] : 35.8612      ( -6.45321 7.31844 )
    Norm@50keV  : 73.6545    ( -73.6643   27.3739 )
    ------------------------------------------------------------
    # Chi-Squared =          84.14 using 59 PHA bins.
    # Reduced chi-squared =          1.502 for     56 degrees of freedom 
    # Null hypothesis probability =   8.854697e-03
     
    Photon flux (15-150 keV)    in 0.256 sec: 0.658183 ( -0.220722  0.222579 ) ph/cm2/s
    Energy fluence (15-150 keV)             : 9.19967e-09 ( -3.02228e-09  3.15548e-09 ) ergs/cm2
     
    
    Band function
    Time interval is from    0.000 sec. to    0.256 sec.
     
    Spectral model in the Band function:
    ------------------------------------------------------------
    Parameters  : value       lower 90%   higher 90%
    alpha       : 4.99994   ( -31286.6   -31283.5 )
    beta        : -7.45901    ( 5.80408   15.4489 )
    Epeak [keV] : 36.3144      ( -6.69989 6.84415 )
    Norm@50keV   : 88.9159    ( -71.6678   245.599 )
    ------------------------------------------------------------
    # Chi-Squared =          84.09 using 59 PHA bins.
    # Reduced chi-squared =          1.529 for     55 degrees of freedom 
    # Null hypothesis probability =   7.005235e-03
     
    Photon flux (15-150 keV)    in 0.256 sec:  (    ) ph/cm2/s
    Energy fluence (15-150 keV)             : 0 ( 0  0 ) ergs/cm2
     
    

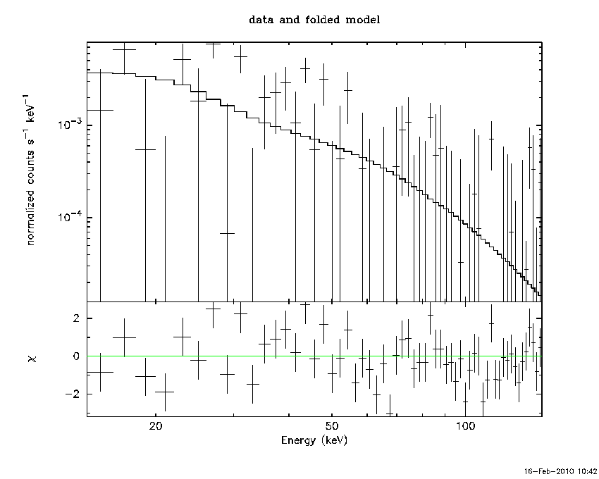
    Pre-slew spectrum (Pre-slew PHA with pre-slew DRM)

    Power-law model
     
    Spectral model in power-law:
    ------------------------------------------------------------
    Parameters  : value       lower 90%   higher 90%
    Photon index: 2.15525     ( -0.544493   0.704391 )
    Norm@50keV  : 4.02304E-03    ( -0.00195456   0.00188021 )
    ------------------------------------------------------------
    # Chi-Squared =          89.48 using 59 PHA bins.
    # Reduced chi-squared =          1.570 for     57 degrees of freedom 
    # Null hypothesis probability =   3.874813e-03
     
    Photon flux (15-150 keV)    in 0.256 sec: 0.650063 ( -0.251093  0.251221 ) ph/cm2/s
    Energy fluence (15-150 keV)             : 9.61047e-09 ( -4.11098e-09  4.27827e-09 ) ergs/cm2
     
    
    Cutoff power-law model
    Spectral model in the cutoff power-law:
    ------------------------------------------------------------
    Parameters  : value       lower 90%   higher 90%
    Photon index: -4.82131     (     )
    Epeak [keV] : 35.9648      ( -6.49735 7.41734 )
    Norm@50keV  : 73.5476    ( -73.5554   27.0153 )
    ------------------------------------------------------------
    # Chi-Squared =          83.27 using 59 PHA bins.
    # Reduced chi-squared =          1.487 for     56 degrees of freedom 
    # Null hypothesis probability =   1.049078e-02
     
    Photon flux (15-150 keV)    in 0.256 sec: 0.650737 ( -0.220857  0.223514 ) ph/cm2/s
    Energy fluence (15-150 keV)             : 9.19967e-09 ( -3.02228e-09  3.15548e-09 ) ergs/cm2
     
    
    Band function
     
    Spectral model in the Band function:
    ------------------------------------------------------------
    Parameters  : value       lower 90%   higher 90%
    alpha       : 4.97340   ( -83.8057   -73.806 )
    beta        : -7.20790    ( 5.8498   15.0399 )
    Epeak [keV] : 35.8824      ( -6.31835 7.34999 )
    Norm@50keV   : 91.9855    ( -50.0544   118.425 )
    ------------------------------------------------------------
    # Chi-Squared =          83.21 using 59 PHA bins.
    # Reduced chi-squared =          1.513 for     55 degrees of freedom 
    # Null hypothesis probability =   8.356770e-03
     
    Photon flux (15-150 keV)    in 0.256 sec:  (    ) ph/cm2/s
    Energy fluence (15-150 keV)             : 0 ( 0  0 ) ergs/cm2
     
    

    S(25-50 keV) vs. S(50-100 keV) plot

    S(25-50 keV)  = 3.0146e-09
    S(50-100 keV) = 2.70405e-09
    

    T90 vs. Hardness ratio plot

    T90                                   = 0.256000012159348 sec.
    Hardness ratio (energy fluence ratio) = 0.896985
    

    Color vs. Color plot

    Count Ratio  (25-50 keV) / (15-25 keV) = 2.03311
    Count Ratio (50-100 keV) / (15-25 keV) = -0.0222524
    

    Mask shadow pattern

    IMX = 0, IMY = 0
    

    TIME vs. PHA plot around the trigger time

    TIME vs. DetID plot around the trigger time

    100 us light curve (15-350 keV)

    Spacecraft aspect plot

    Bright source in the pre-burst/pre-slew/post-slew images

    Pre-burst image of 15-350 keV band

    Time interval of the image:
    -24.283400 -3.584000
     
    # RAcent  DECcent POSerr Theta    Phi  PeakCts   SNR AngSep     Name
    #  [deg]    [deg]    ['] [deg]  [deg]                   [']
    186.6737 -62.8066    6.0  58.3 -157.6  -0.5323  -1.9    2.2	GX 301-2                      
    244.9597 -15.6170    0.6   7.6   86.4   0.8707  19.0    1.8	Sco X-1                       
    254.5763  35.3120   14.4  53.9   15.7   0.2150   0.8    6.1	Her X-1                       
    255.8849 -37.7648    5.4  27.4  144.3   0.1438   2.1    6.8	4U 1700-377                   
    256.2675 -36.5133    8.8  26.7  142.0   0.0874   1.3    9.7	GX 349+2                      
    263.1645 -24.6644    3.1  25.9  111.8   0.2673   3.7    9.8	GX 1+4                        
    264.7151 -44.6048   14.6  36.9  144.6   0.0703   0.8    9.4	4U 1735-44                    
    268.5307  -1.5852    0.0  34.2   66.3  -0.3399  -3.2   12.6	SW J1753.5-0127               
    270.2835 -25.2125   37.9  32.3  110.1  -0.0279  -0.3    8.0	GX 5-1                        
    270.3006 -25.8771   33.1  32.5  111.3   0.0316   0.4    8.0	GRS 1758-258                  
    274.1149 -14.1446    4.2  35.8   90.2   0.3276   2.7    9.1	GX 17+2                       
    276.0396 -30.4642   10.7  38.4  117.2   0.1638   1.1    8.3	H1820-303                     
    241.9658   0.4762    2.2  17.1   14.8   0.2509   5.4 ------	UNKNOWN                       
    197.3168 -68.0418    2.4  57.9 -165.6   1.1553   4.8 ------	UNKNOWN                       
    205.0465  -4.9658    2.4  33.3  -76.2   0.3859   4.7 ------	UNKNOWN                       
    193.7897 -22.3308    3.1  41.2 -107.9   0.7291   3.8 ------	UNKNOWN                       
    

    Pre-slew background subtracted image of 15-350 keV band

    Time interval of the image:
    0.000000 0.256000
     
    # RAcent  DECcent POSerr Theta    Phi  PeakCts   SNR AngSep     Name
    #  [deg]    [deg]    ['] [deg]  [deg]                   [']
    186.6430 -62.7560    5.9  58.3 -157.5   0.0616   2.0    0.9	GX 301-2                      
    245.0202 -15.7888    5.2   7.6   87.7  -0.0111  -2.2    9.2	Sco X-1                       
    254.4617  35.3563    8.8  53.9   15.5   0.0377   1.3    0.9	Her X-1                       
    256.0604 -37.9302    5.2  27.6  144.4   0.0146   2.2    6.2	4U 1700-377                   
    256.3561 -36.3128    5.2  26.6  141.5  -0.0146  -2.2    7.6	GX 349+2                      
    262.8343 -24.6324    0.0  25.6  111.9   0.0175   2.5   11.7	GX 1+4                        
    264.7954 -44.3285    6.0  36.8  144.2  -0.0185  -1.9    7.6	4U 1735-44                    
    268.3808  -1.5818   10.0  34.0   66.1   0.0128   1.2    7.8	SW J1753.5-0127               
    270.3214 -25.2044    6.6  32.4  110.1  -0.0167  -1.7    7.8	GX 5-1                        
    270.1605 -25.9078    0.0  32.4  111.4  -0.0098  -1.0   12.5	GRS 1758-258                  
    273.9932 -14.1341    7.5  35.7   90.1   0.0203   1.5    5.9	GX 17+2                       
    275.8199 -30.4881    5.5  38.2  117.3   0.0328   2.1    9.1	H1820-303                     
    278.2907 -57.1545    2.4  51.4  150.8   0.1208   4.8 ------	UNKNOWN                       
    257.8705 -69.6791    2.3  55.2  169.4   0.1454   5.0 ------	UNKNOWN                       
    249.2629   9.7108    1.9  28.4   24.0   0.0385   6.2 ------	UNKNOWN                       
    237.9885  30.2905    2.1  46.3   -0.9   0.0536   5.6 ------	UNKNOWN                       
    212.6923  29.7920    2.5  51.4  -29.3   0.0688   4.7 ------	UNKNOWN                       
    

    Post-slew image of 15-350 keV band

    Time interval of the image:
    70.416600 113.916600
     
    # RAcent  DECcent POSerr Theta    Phi  PeakCts   SNR AngSep     Name
    #  [deg]    [deg]    ['] [deg]  [deg]                   [']
    244.9735 -15.6397    0.5  19.4  134.5   1.7334  23.6    0.3	Sco X-1                       
    254.3507  35.2661    3.5  33.4  -21.5  -0.2650  -3.3    7.0	Her X-1                       
    255.7697 -37.8268    7.2  43.2  126.0   0.4997   1.6   10.3	4U 1700-377                   
    256.4331 -36.2822    9.4  41.9  124.5   0.3458   1.2    8.5	GX 349+2                      
    263.0697 -24.8138    5.9  34.6  107.4   0.3131   2.0    5.3	GX 1+4                        
    268.4146  -1.4190   21.2  26.2   61.8  -0.0517  -0.5    3.4	SW J1753.5-0127               
    270.4502 -25.0325   13.3  39.3   99.4   0.2497   0.9    9.4	GX 5-1                        
    270.2747 -25.8635   31.0  39.8  100.5  -0.1110  -0.4    7.4	GRS 1758-258                  
    274.0320 -13.9008   10.1  35.7   81.2  -0.2122  -1.1    8.3	GX 17+2                       
    288.8032  11.1710    0.0  46.3   39.1   0.6523   2.7   13.5	GRS 1915+105                  
    243.9361 -24.6590    2.5  28.3  138.8   0.4209   4.6 ------	UNKNOWN                       
    205.4509 -38.2727    3.0  54.3  176.9   1.0669   3.8 ------	UNKNOWN                       
    193.0928 -14.9426    2.5  52.5 -150.9   1.0763   4.6 ------	UNKNOWN                       
    189.6937 -10.6229    3.4  54.7 -144.7   1.4972   3.4 ------	UNKNOWN                       
    
    Plot creation:
    Tue Feb 16 10:43:43 EST 2010