batgrbproduct Analysis for Trigger=358760

Analysis Summary

Notes:

======================================================================
                  BAT GRB EVENT DATA PROCESSING REPORT
    Process Script Ver: batgrbproduct v2.45
    Process Start Time (local time): Sat Aug  1 05:42:17 EDT 2009
             Host Name: gcn5
   Current Working Dir: /local/data/raid16/prebascript_archive/trigger358760/GCN5_download_cron
======================================================================

  Trigger: 00358760      Segment: 000

  BAT Trigger Time: 270737195.804   [s; MET]
      Trigger Stop: 270737195.868   [s; MET]
               UTC: 2009-07-31T12:46:30.846340    [includes UTCF correction] 
       Where From?: (*SHORT BURST*) TDRSS scaled map message

  BAT 
    RA: 189.691562675699   Dec: -15.4089072936449  [deg; J2000]

     Catalogged Source?: NO
     Point Source?:      YES
     GRB Indicated?:     YES    [ by BAT flight software ]
     Image S/N Ratio:    6.71
     Image Trigger?:     NO
     Rate S/N Ratio:     6.48074069840786  [ if not an image trigger ]
     Image S/N Ratio:    6.71

  Flight Position:   [ source = BAT ]
    RA: 189.691562675699   Dec: -15.4089072936449  [deg; J2000]

  Ground Position:   [ source = BAT pre-slew burst ]
    RA: 189.693319413174   Dec: -15.3632152432572  [deg; J2000]  
        { 12h 38m 46.4s , -15d 21' 47.6" }
         +/- 3.30326453344813 [arcmin] (estimated 90% radius based on SNR)
         +/- 2.3613870322251 [arcmin] (formal 1-sigma fit error)
    SNR: 5.51786067959574
 
  Angular difference between Flight and Ground position is 2.743406 arcmin
 
  Partial Coding Fraction: 1.015625    [ including projection effects ]

  Duration
     T90: 0.0639999508857727 +/- 
        Measured from: 0
                   to: 0.0639999508857727     [s; relative to TRIGTIME]
     T50: 0.0639999508857727 +/- 
        Measured from: 0
                   to: 0.0639999508857727     [s; relative to TRIGTIME]

    WARNING: battblocks failed.  Used TDRSS fore/background intervals

  Fluence
     Peak Flux  (peak 0.0639999508857727 second)
        Measured from: -2.98023223876953e-08     
                   to: 0.0639999210834503     [s; relative to TRIGTIME]
     Total Fluence        
        Measured from: 0     
                   to: 0.0639999508857727     [s; relative to TRIGTIME]
     
             Band 1     Band 2     Band 3     Band 4
              15-25      25-50     50-100    100-350     keV
 Total     0.000041   0.004015   0.006701   0.000400
           0.001208   0.001285   0.001385   0.001163 [error]
 Peak      0.000041   0.004015   0.006701   0.000400
           0.001208   0.001285   0.001385   0.001163 [error]

     [ fluence units of on-axis counts / fully illuminated detector ] 

======================================================================
 
=== Fluence/Peak Flux Summary ===
 
              Model    Band1    Band2    Band3    Band4    Band5    Total      
                       15-25    25-50   50-100  100-350   15-150   15-350   keV
Fluence   Power-law 3.83e-10 3.80e-10 2.63e-10 2.87e-10 1.14e-09 1.31e-09   erg/cm2
              Error 3.96e-10 3.05e-10 1.89e-10 3.07e-10 8.79e-10 9.56e-10   erg/cm2
Peak flux Power-law 1.97e-01 1.09e-01 3.78e-02 1.71e-02 3.54e-01 3.58e-01   ph/cm2/s
              Error 2.05e-01 8.84e-02 2.70e-02 1.73e-02 3.05e-01 3.06e-01   ph/cm2/s
 
Fluence   Cutoff-PL 4.32e-10 1.78e-09 1.45e-09 3.77e-09 0.00e+00 0.00e+00   erg/cm2
              Error 3.14e-10 7.23e-10 6.30e-10 1.42e-09 0.00e+00 0.00e+00   erg/cm2
Peak flux Cutoff-PL 2.10e-01 4.81e-01 2.21e-01 9.10e-03 9.15e-01 9.23e-01   ph/cm2/s
              Error 1.23e-01 1.95e-01 9.27e-02 8.47e-03 3.58e-01 3.60e-01   ph/cm2/s
 
Fluence        Band 0.00e+00 0.00e+00 0.00e+00 0.00e+00 0.00e+00 0.00e+00   erg/cm2
              Error 0.00e+00 0.00e+00 0.00e+00 0.00e+00 0.00e+00 0.00e+00   erg/cm2
Peak flux      Band 0.00e+00 0.00e+00 0.00e+00 0.00e+00 0.00e+00 0.00e+00   ph/cm2/s
              Error 0.00e+00 0.00e+00 0.00e+00 0.00e+00 0.00e+00 0.00e+00   ph/cm2/s
 
=== Time-averaged spectral analysis ===
 
Model Ph_index Ph_90err Epeak  Epeak_90err Norm     Nomr_90err chi2   dof
PL    2.515    0.938    -      -           1.76e-03 1.52e-03   86.280 57
CPL  -3.896   -0.622      50.9    8.5      4.83e+00 5.61e+00   71.720 56
 
 
=== 1-s peak spectral analysis ===
 
Model Ph_index Ph_90err Epeak  Epeak_90err Norm     Nomr_90err chi2   dof
PL    2.514    0.933    -      -           1.76e-03 1.52e-03   86.840 57
CPL  -3.912   -0.632      50.9    8.4      4.91e+00 5.60e+00   72.150 56
 
Model      : spectral model: simple power-law (PL) and cutoff power-law (CPL)
Ph_index   : photon index: E^-{Ph_index} (minus sign is not included in the index)
Ph_90err   : 90% error of the photon index
Epeak      : Epeak in keV
Epeak_90err: 90% error of Epeak
Norm       : normalization at 50 keV in PL model and at 1 keV in CPL model
Nomr_90err : 90% error of the normalization
chi2       : Chi-Squared
dof        : degree of freedom
 
=== T90/T50 calculation in the 50-300 keV band (BATSE band) using 64 ms lc ===
 
T90 in the 50-300 keV band: 0.000000 sec.
T50 in the 50-300 keV band: 0.000000 sec.
 
=== Table of the duration information ==
 
        Value   tstart    tstop
T100    0.064    0.000    0.064
T90     0.064    0.000    0.064
T50     0.064    0.000    0.064
Peak    0.064   -0.000    0.064
  • Click here for the BAT GCN circular template

    Image

    Pre-slew 15-350 keV image (Event data; bkg subtracted)

    #   RAcent  DECcent POSerr  Theta    Phi     Peak Cts     SNR  Name
      189.6933 -15.3632 0.0349   10.5 -170.9       0.0129     5.5  TRIG_00358760       
    ------------------------------------------
     
    Foreground time interval of the image:
      0.000   0.064 (delta_t =   0.064 [sec])
    Background time interval of the image:
    -60.804  -3.804 (delta_t =  57.000 [sec])
    

    Lightcurves

    Notes:

    1 s binning

    From T0-310 s to T0+310 s
    From T100_start - 20 s to T100_end + 30 s
    Full time interval

    64 ms binning

    Full time interval
    From T100_start to T100_end
    From T0-5 sec to T0+5 sec

    16 ms binning

    From T100_start-5 s to T100_start+5 s
    Blue+Cyan dotted lines: Time interval of the scaled map
    From 0.000000 to 0.064000
    

    8 ms binning

    From T100_start-3 s to T100_start+3 s
    Blue+Cyan dotted lines: Time interval of the scaled map
    From 0.000000 to 0.064000
    

    2 ms binning

    From T100_start-1 s to T100_start+1 s
    Blue+Cyan dotted lines: Time interval of the scaled map
    From 0.000000 to 0.064000
    

    SN=5 or 10 sec. binning (whichever binning is satisfied first)

    SN=5 or 10 sec. binning (T < 200 sec)

    Flight mask-tagged light curves

    Caution: Mask-weight map is always using the same on-axis map

    Quad-rate summed light curves (from T0-300 to T0+1000)

    Spectra

    Notes:

    Time averaged spectrum fit using the pre-slew DRM

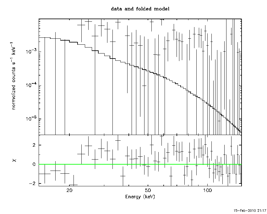
    Power-law model
    Time interval is from    0.000 sec. to    0.064 sec.
     
    Spectral model in power-law:
    ------------------------------------------------------------
    Parameters  : value       lower 90%   higher 90%
    Photon index: 2.51495     ( -1.13729   0.738109 )
    Norm@50keV  : 1.75680E-03    ( -0.00176253   0.00128113 )
    ------------------------------------------------------------
    # Chi-Squared =          86.28 using 59 PHA bins.
    # Reduced chi-squared =          1.514 for     57 degrees of freedom 
    # Null hypothesis probability =   7.396719e-03
     
    Photon flux (15-150 keV)    in 0.064 sec: 0.353825 ( -0.29428  0.317046 ) ph/cm2/s
    Energy fluence (15-150 keV)             : 1.141e-09 ( -8.7031e-10  8.88019e-10 ) ergs/cm2
     
    
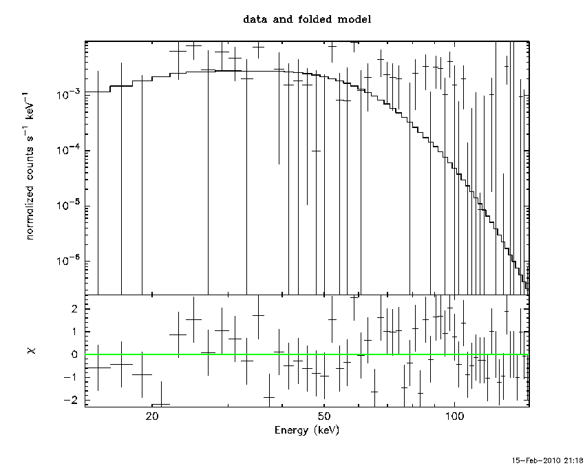
    Cutoff power-law model
    Time interval is from    0.000 sec. to    0.064 sec.
    Spectral model in the cutoff power-law:
    ------------------------------------------------------------
    Parameters  : value       lower 90%   higher 90%
    Photon index: -3.89600     ( 3.90364   2.66052 )
    Epeak [keV] : 50.8720      ( -9.48428 7.41621 )
    Norm@50keV  : 4.82983    ( -4.86376   6.35185 )
    ------------------------------------------------------------
    # Chi-Squared =          71.72 using 59 PHA bins.
    # Reduced chi-squared =          1.281 for     56 degrees of freedom 
    # Null hypothesis probability =   7.681618e-02
     
    Photon flux (15-150 keV)    in 0.064 sec: 0.914070 ( -0.358776  0.35871 ) ph/cm2/s
    Energy fluence (15-150 keV)             : 0 ( 0  0 ) ergs/cm2
     
    
    Band function
    Time interval is from    0.000 sec. to    0.064 sec.
     
    Spectral model in the Band function:
    ------------------------------------------------------------
    Parameters  : value       lower 90%   higher 90%
    alpha       : 3.86610   ( -4.22999   -5.51227 )
    beta        : -9.99601    ( 792.088   802.08 )
    Epeak [keV] : 50.6238      ( -10.5791 6.76528 )
    Norm@50keV   : 4.82872    ( -4.81022   6.44754 )
    ------------------------------------------------------------
    # Chi-Squared =          71.73 using 59 PHA bins.
    # Reduced chi-squared =          1.304 for     55 degrees of freedom 
    # Null hypothesis probability =   6.437978e-02
     
    Photon flux (15-150 keV)    in 0.064 sec:  (    ) ph/cm2/s
    Energy fluence (15-150 keV)             : 0 ( 0  0 ) ergs/cm2
     
    

    Peak spectrum fit

    Power-law model
    Time interval is from    0.000 sec. to    0.064 sec.
     
    Spectral model in power-law:
    ------------------------------------------------------------
    Parameters  : value       lower 90%   higher 90%
    Photon index: 2.51397     ( -1.13118   0.735517 )
    Norm@50keV  : 1.75745E-03    ( -0.00176319   0.0012792 )
    ------------------------------------------------------------
    # Chi-Squared =          86.84 using 59 PHA bins.
    # Reduced chi-squared =          1.523 for     57 degrees of freedom 
    # Null hypothesis probability =   6.627810e-03
     
    Photon flux (15-150 keV)    in 0.064 sec: 0.353737 ( -0.293688  0.316402 ) ph/cm2/s
    Energy fluence (15-150 keV)             : 1.14109e-09 ( -8.68646e-10  8.86445e-10 ) ergs/cm2
     
    
    Cutoff power-law model
    Time interval is from    0.000 sec. to    0.064 sec.
    Spectral model in the cutoff power-law:
    ------------------------------------------------------------
    Parameters  : value       lower 90%   higher 90%
    Photon index: -3.91224     ( 3.91948   2.65635 )
    Epeak [keV] : 50.9068      ( -9.43566 7.36607 )
    Norm@50keV  : 4.90584    ( -4.93845   6.26903 )
    ------------------------------------------------------------
    # Chi-Squared =          72.15 using 59 PHA bins.
    # Reduced chi-squared =          1.288 for     56 degrees of freedom 
    # Null hypothesis probability =   7.197175e-02
     
    Photon flux (15-150 keV)    in 0.064 sec: 0.915417 ( -0.358063  0.357763 ) ph/cm2/s
    Energy fluence (15-150 keV)             : 0 ( 0  0 ) ergs/cm2
     
    
    Band function
    Time interval is from    0.000 sec. to    0.064 sec.
     
    Spectral model in the Band function:
    ------------------------------------------------------------
    Parameters  : value       lower 90%   higher 90%
    alpha       : 3.89624   ( -3.73497   -5.04115 )
    beta        : -9.99580    ( 752.597   762.588 )
    Epeak [keV] : 50.6983      ( -10.012 6.90706 )
    Norm@50keV   : 4.96008    ( -4.93658   6.32929 )
    ------------------------------------------------------------
    # Chi-Squared =          72.16 using 59 PHA bins.
    # Reduced chi-squared =          1.312 for     55 degrees of freedom 
    # Null hypothesis probability =   6.016939e-02
     
    Photon flux (15-150 keV)    in 0.064 sec:  (    ) ph/cm2/s
    Energy fluence (15-150 keV)             : 0 ( 0  0 ) ergs/cm2
     
    

    Pre-slew spectrum (Pre-slew PHA with pre-slew DRM)

    Power-law model
     
    Spectral model in power-law:
    ------------------------------------------------------------
    Parameters  : value       lower 90%   higher 90%
    Photon index: 2.51495     ( -1.13729   0.738109 )
    Norm@50keV  : 1.75680E-03    ( -0.00176253   0.00128113 )
    ------------------------------------------------------------
    # Chi-Squared =          86.28 using 59 PHA bins.
    # Reduced chi-squared =          1.514 for     57 degrees of freedom 
    # Null hypothesis probability =   7.396719e-03
     
    Photon flux (15-150 keV)    in 0.064 sec: 0.353825 ( -0.29428  0.317046 ) ph/cm2/s
    Energy fluence (15-150 keV)             : 1.141e-09 ( -8.7031e-10  8.88019e-10 ) ergs/cm2
     
    
    Cutoff power-law model
    Spectral model in the cutoff power-law:
    ------------------------------------------------------------
    Parameters  : value       lower 90%   higher 90%
    Photon index: -3.89600     ( 3.90364   2.66052 )
    Epeak [keV] : 50.8720      ( -9.48428 7.41621 )
    Norm@50keV  : 4.82983    ( -4.86376   6.35185 )
    ------------------------------------------------------------
    # Chi-Squared =          71.72 using 59 PHA bins.
    # Reduced chi-squared =          1.281 for     56 degrees of freedom 
    # Null hypothesis probability =   7.681618e-02
     
    Photon flux (15-150 keV)    in 0.064 sec: 0.914070 ( -0.358776  0.35871 ) ph/cm2/s
    Energy fluence (15-150 keV)             : 0 ( 0  0 ) ergs/cm2
     
    
    Band function
     
    Spectral model in the Band function:
    ------------------------------------------------------------
    Parameters  : value       lower 90%   higher 90%
    alpha       : 3.86610   ( -4.23679   -5.51227 )
    beta        : -9.99601    ( 792.088   802.08 )
    Epeak [keV] : 50.6238      ( -10.5791 6.76528 )
    Norm@50keV   : 4.82872    ( -4.81022   6.44754 )
    ------------------------------------------------------------
    # Chi-Squared =          71.73 using 59 PHA bins.
    # Reduced chi-squared =          1.304 for     55 degrees of freedom 
    # Null hypothesis probability =   6.437978e-02
     
    Photon flux (15-150 keV)    in 0.064 sec:  (    ) ph/cm2/s
    Energy fluence (15-150 keV)             : 0 ( 0  0 ) ergs/cm2
     
    

    S(25-50 keV) vs. S(50-100 keV) plot

    S(25-50 keV)  = 3.79506e-10
    S(50-100 keV) = 2.62931e-10
    

    T90 vs. Hardness ratio plot

    T90                                   = 0.0639999508857727 sec.
    Hardness ratio (energy fluence ratio) = 0.692824
    

    Color vs. Color plot

    Count Ratio  (25-50 keV) / (15-25 keV) = 97.9268
    Count Ratio (50-100 keV) / (15-25 keV) = 163.439
    

    Mask shadow pattern

    IMX = 0, IMY = 0
    

    TIME vs. PHA plot around the trigger time

    Blue+Cyan dotted lines: Time interval of the scaled map
    From 0.000000 to 0.064000
    

    TIME vs. DetID plot around the trigger time

    Blue+Cyan dotted lines: Time interval of the scaled map
    From 0.000000 to 0.064000
    

    100 us light curve (15-350 keV)

    Blue+Cyan dotted lines: Time interval of the scaled map
    From 0.000000 to 0.064000
    

    Spacecraft aspect plot

    Bright source in the pre-burst/pre-slew/post-slew images

    Pre-burst image of 15-350 keV band

    Time interval of the image:
    -60.804000 -3.804000
     
    # RAcent  DECcent POSerr Theta    Phi  PeakCts   SNR AngSep     Name
    #  [deg]    [deg]    ['] [deg]  [deg]                   [']
    208.0945 -20.1355    2.4  19.9  123.5   0.3838   4.8 ------	UNKNOWN                       
    

    Pre-slew background subtracted image of 15-350 keV band

    Time interval of the image:
    0.000000 0.064000
     
    # RAcent  DECcent POSerr Theta    Phi  PeakCts   SNR AngSep     Name
    #  [deg]    [deg]    ['] [deg]  [deg]                   [']
    220.8702   1.4311    1.9  27.8   61.6   0.0232   6.0 ------	UNKNOWN                       
    

    Post-slew image of 15-350 keV band

    Time interval of the image:
    47.496600 302.286000
     
    # RAcent  DECcent POSerr Theta    Phi  PeakCts   SNR AngSep     Name
    #  [deg]    [deg]    ['] [deg]  [deg]                   [']
    135.6098 -40.6371    9.7  53.0 -157.4  -0.6934  -1.2    6.2	Vela X-1                      
    170.3030 -60.4848    8.8  47.2  165.2   0.6420   1.3    8.3	Cen X-3                       
    186.7342 -62.7734    4.3  47.4  154.1   1.4941   2.7    2.1	GX 301-2                      
    232.5630  12.1018    2.4  50.5   31.7   4.2954   4.9 ------	UNKNOWN                       
    207.2586 -44.4833    2.9  32.7  128.8   1.1447   4.0 ------	UNKNOWN                       
    212.7123 -16.8501    3.1  22.1   69.2   0.7415   3.7 ------	UNKNOWN                       
    202.3984  -9.9099    2.4  13.5   39.9   0.8565   4.8 ------	UNKNOWN                       
    214.6963  24.4812    4.1  46.7    4.1   0.9531   2.8 ------	UNKNOWN                       
    158.8947   2.8796    2.7  35.5  -89.4   1.8234   4.2 ------	UNKNOWN                       
    131.7798 -31.7313    3.9  54.9 -146.0   4.3029   3.0 ------	UNKNOWN                       
    
    Plot creation:
    Mon Feb 15 21:18:56 EST 2010