batgrbproduct Analysis for Trigger=360435

Analysis Summary

Notes:

======================================================================
                  BAT GRB EVENT DATA PROCESSING REPORT
    Process Script Ver: batgrbproduct v2.45
    Process Start Time (local time): Thu Aug 20 01:43:40 EDT 2009
             Host Name: gcn5
   Current Working Dir: /local/data/raid16/prebascript_archive/trigger360435/GCN5_download_cron
======================================================================

  Trigger: 00360435      Segment: 000

  BAT Trigger Time: 272402468.864   [s; MET]
      Trigger Stop: 272402469.376   [s; MET]
               UTC: 2009-08-19T19:21:03.852120    [includes UTCF correction] 
       Where From?: TDRSS position message

  BAT 
    RA: 250.100069030358   Dec: -47.3303261590304  [deg; J2000]

     Catalogged Source?: NO
     Point Source?:      YES
     GRB Indicated?:     YES    [ by BAT flight software ]
     Image S/N Ratio:    5.78
     Image Trigger?:     NO
     Rate S/N Ratio:     55.7404700374871  [ if not an image trigger ]
     Image S/N Ratio:    5.78

  Flight Position:   [ source = BAT ]
    RA: 250.100069030358   Dec: -47.3303261590304  [deg; J2000]

  Ground Position:   [ source = BAT pre-slew burst ]
    RA: 250.105615959753   Dec: -47.3037895802323  [deg; J2000]  
        { 16h 40m 25.3s , -47d 18' 13.6" }
         +/- 3.39117112602379 [arcmin] (estimated 90% radius based on SNR)
         +/- 2.01269763610553 [arcmin] (formal 1-sigma fit error)
    SNR: 5.3146655917784
 
  Angular difference between Flight and Ground position is 1.608102 arcmin
 
  Partial Coding Fraction: 0.46875    [ including projection effects ]

  Duration
     T90: 0.51199996471405 +/- 
        Measured from: 0
                   to: 0.51199996471405     [s; relative to TRIGTIME]
     T50: 0.51199996471405 +/- 
        Measured from: 0
                   to: 0.51199996471405     [s; relative to TRIGTIME]

    WARNING: battblocks failed.  Used TDRSS fore/background intervals

  Fluence
     Peak Flux  (peak 0.51199996471405 second)
        Measured from: 0     
                   to: 0.51199996471405     [s; relative to TRIGTIME]
     Total Fluence        
        Measured from: 0     
                   to: 0.51199996471405     [s; relative to TRIGTIME]
     
             Band 1     Band 2     Band 3     Band 4
              15-25      25-50     50-100    100-350     keV
 Total     0.027369   0.020552   0.002144   0.001157
           0.007453   0.006697   0.005663   0.004807 [error]
 Peak      0.027369   0.020552   0.002144   0.001157
           0.007453   0.006697   0.005663   0.004807 [error]

     [ fluence units of on-axis counts / fully illuminated detector ] 

======================================================================
 
=== Fluence/Peak Flux Summary ===
 
              Model    Band1    Band2    Band3    Band4    Band5    Total      
                       15-25    25-50   50-100  100-350   15-150   15-350   keV
Fluence   Power-law 9.13e-09 8.06e-09 4.89e-09 4.48e-09 2.40e-08 2.66e-08   erg/cm2
              Error 3.93e-09 3.48e-09 3.96e-09 7.82e-09 1.04e-08 1.43e-08   erg/cm2
Peak flux Power-law 6.07e-01 2.96e-01 8.83e-02 3.33e-02 1.01e+00 1.03e+00   ph/cm2/s
              Error 2.55e-01 1.22e-01 6.89e-02 5.31e-02 3.59e-01 3.65e-01   ph/cm2/s
 
Fluence   Cutoff-PL 8.50e-09 1.02e-08 1.68e-09 1.26e-11 2.04e-08 2.04e-08   erg/cm2
              Error 4.24e-09 4.92e-09 3.92e-09 4.84e-09 9.03e-09 1.19e-08   erg/cm2
Peak flux Cutoff-PL 5.58e-01 3.75e-01 3.47e-02 1.58e-04 9.67e-01 9.67e-01   ph/cm2/s
              Error 2.78e-01 1.71e-01 7.09e-02 2.46e-02 3.50e-01 3.50e-01   ph/cm2/s
 
Fluence        Band 0.00e+00 0.00e+00 0.00e+00 0.00e+00 0.00e+00 0.00e+00   erg/cm2
              Error 0.00e+00 0.00e+00 0.00e+00 0.00e+00 0.00e+00 0.00e+00   erg/cm2
Peak flux      Band 0.00e+00 0.00e+00 0.00e+00 0.00e+00 0.00e+00 0.00e+00   ph/cm2/s
              Error 0.00e+00 0.00e+00 0.00e+00 0.00e+00 0.00e+00 0.00e+00   ph/cm2/s
 
=== Time-averaged spectral analysis ===
 
Model Ph_index Ph_90err Epeak  Epeak_90err Norm     Nomr_90err chi2   dof
PL    2.722    0.818    -      -           4.37e-03 2.67e-03   56.500 57
CPL  -0.325    1.009      24.0    0.0      5.02e-01 0.00e+00   54.760 56
 
 
=== 1-s peak spectral analysis ===
 
Model Ph_index Ph_90err Epeak  Epeak_90err Norm     Nomr_90err chi2   dof
PL    2.745    0.803    -      -           4.39e-03 2.67e-03   57.300 57
CPL  -0.161    1.005      23.1    0.0      4.17e-01 0.00e+00   55.610 56
 
Model      : spectral model: simple power-law (PL) and cutoff power-law (CPL)
Ph_index   : photon index: E^-{Ph_index} (minus sign is not included in the index)
Ph_90err   : 90% error of the photon index
Epeak      : Epeak in keV
Epeak_90err: 90% error of Epeak
Norm       : normalization at 50 keV in PL model and at 1 keV in CPL model
Nomr_90err : 90% error of the normalization
chi2       : Chi-Squared
dof        : degree of freedom
 
=== T90/T50 calculation in the 50-300 keV band (BATSE band) using 64 ms lc ===
 
T90 in the 50-300 keV band: 0.000000 sec.
T50 in the 50-300 keV band: 0.000000 sec.
 
=== Table of the duration information ==
 
        Value   tstart    tstop
T100    0.512    0.000    0.512
T90     0.512    0.000    0.512
T50     0.512    0.000    0.512
Peak    0.512    0.000    0.512
  • Click here for the BAT GCN circular template

    Image

    Pre-slew 15-350 keV image (Event data; bkg subtracted)

    #   RAcent  DECcent POSerr  Theta    Phi     Peak Cts     SNR  Name
      250.1056 -47.3038 0.0361   43.3 -173.5       0.0675     5.3  TRIG_00360435       
    ------------------------------------------
     
    Foreground time interval of the image:
      0.000   0.512 (delta_t =   0.512 [sec])
    Background time interval of the image:
    -60.864  -4.864 (delta_t =  56.000 [sec])
    

    Lightcurves

    Notes:

    1 s binning

    From T0-310 s to T0+310 s
    From T100_start - 20 s to T100_end + 30 s
    Full time interval

    64 ms binning

    Full time interval
    From T100_start to T100_end
    From T0-5 sec to T0+5 sec

    16 ms binning

    From T100_start-5 s to T100_start+5 s

    8 ms binning

    From T100_start-3 s to T100_start+3 s

    2 ms binning

    From T100_start-1 s to T100_start+1 s

    SN=5 or 10 sec. binning (whichever binning is satisfied first)

    SN=5 or 10 sec. binning (T < 200 sec)

    Spectra

    Notes:

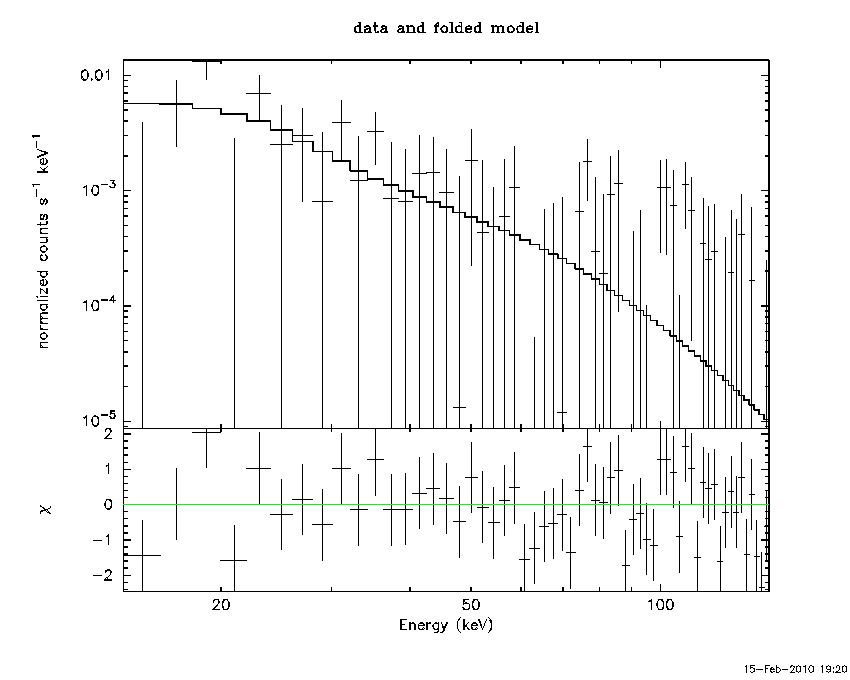
    Time averaged spectrum fit using the pre-slew DRM

    Power-law model
    Time interval is from    0.000 sec. to    0.512 sec.
     
    Spectral model in power-law:
    ------------------------------------------------------------
    Parameters  : value       lower 90%   higher 90%
    Photon index: 2.72221     ( -0.702107   0.934004 )
    Norm@50keV  : 4.36947E-03    ( -0.00257432   0.00276431 )
    ------------------------------------------------------------
    # Chi-Squared =          56.50 using 59 PHA bins.
    # Reduced chi-squared =         0.9913 for     57 degrees of freedom 
    # Null hypothesis probability =   4.936821e-01
     
    Photon flux (15-150 keV)    in 0.512 sec: 0.989732 ( -0.363818  0.363819 ) ph/cm2/s
    Energy fluence (15-150 keV)             : 2.39876e-08 ( -9.91805e-09  1.0948e-08 ) ergs/cm2
     
    
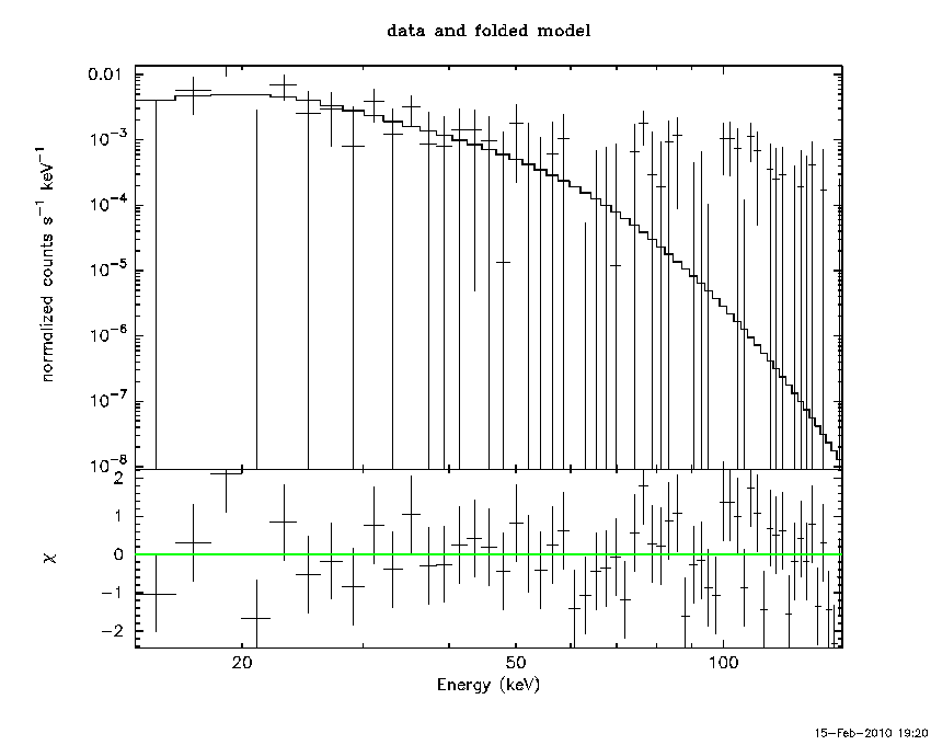
    Cutoff power-law model
    Time interval is from    0.000 sec. to    0.512 sec.
    Spectral model in the cutoff power-law:
    ------------------------------------------------------------
    Parameters  : value       lower 90%   higher 90%
    Photon index: -0.325324     ( 0.378808   2.39667 )
    Epeak [keV] : 23.9668      (   )
    Norm@50keV  : 0.501786    (     )
    ------------------------------------------------------------
    # Chi-Squared =          54.76 using 59 PHA bins.
    # Reduced chi-squared =         0.9779 for     56 degrees of freedom 
    # Null hypothesis probability =   5.218957e-01
     
    Photon flux (15-150 keV)    in 0.512 sec: 0.941084 ( -0.345203  0.359216 ) ph/cm2/s
    Energy fluence (15-150 keV)             : 2.03576e-08 ( -7.68404e-09  1.03746e-08 ) ergs/cm2
     
    
    Band function
    Time interval is from    0.000 sec. to    0.512 sec.
     
    Spectral model in the Band function:
    ------------------------------------------------------------
    Parameters  : value       lower 90%   higher 90%
    alpha       : 1.48929   ( 0.813639   0.813639 )
    beta        : -9.99997    ( 126112   126122 )
    Epeak [keV] : 25.5513      ( -20.5102 12.9331 )
    Norm@50keV   : 3.17406    ( -2.9345   421.45 )
    ------------------------------------------------------------
    # Chi-Squared =          54.72 using 59 PHA bins.
    # Reduced chi-squared =         0.9949 for     55 degrees of freedom 
    # Null hypothesis probability =   4.852906e-01
     
    Photon flux (15-150 keV)    in 0.512 sec:  (    ) ph/cm2/s
    Energy fluence (15-150 keV)             : 0 ( 0  0 ) ergs/cm2
     
    

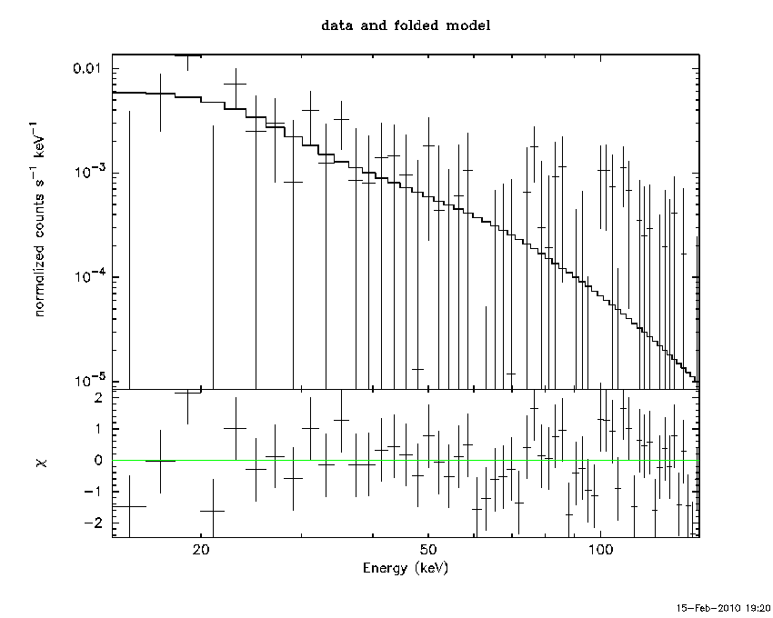
    Peak spectrum fit

    Power-law model
    Time interval is from    0.000 sec. to    0.512 sec.
     
    Spectral model in power-law:
    ------------------------------------------------------------
    Parameters  : value       lower 90%   higher 90%
    Photon index: 2.74523     ( -0.688198   0.918609 )
    Norm@50keV  : 4.39466E-03    ( -0.00256516   0.00276716 )
    ------------------------------------------------------------
    # Chi-Squared =          57.30 using 59 PHA bins.
    # Reduced chi-squared =          1.005 for     57 degrees of freedom 
    # Null hypothesis probability =   4.637774e-01
     
    Photon flux (15-150 keV)    in 0.512 sec: 1.01088 ( -0.359233  0.359273 ) ph/cm2/s
    Energy fluence (15-150 keV)             : 2.43269e-08 ( -9.82129e-09  1.08721e-08 ) ergs/cm2
     
    
    Cutoff power-law model
    Time interval is from    0.000 sec. to    0.512 sec.
    Spectral model in the cutoff power-law:
    ------------------------------------------------------------
    Parameters  : value       lower 90%   higher 90%
    Photon index: -0.160783     ( 0.210871   2.22097 )
    Epeak [keV] : 23.1296      (   )
    Norm@50keV  : 0.416533    (     )
    ------------------------------------------------------------
    # Chi-Squared =          55.61 using 59 PHA bins.
    # Reduced chi-squared =         0.9930 for     56 degrees of freedom 
    # Null hypothesis probability =   4.896857e-01
     
    Photon flux (15-150 keV)    in 0.512 sec: 0.967075 ( -0.346461  0.353275 ) ph/cm2/s
    Energy fluence (15-150 keV)             : 2.07478e-08 ( -7.66628e-09  9.44855e-09 ) ergs/cm2
     
    
    Band function
    Time interval is from    0.000 sec. to    0.512 sec.
     
    Spectral model in the Band function:
    ------------------------------------------------------------
    Parameters  : value       lower 90%   higher 90%
    alpha       : 1.54028   ( 0.050251   0.050251 )
    beta        : -6.95011    ( 5.94236   15.9421 )
    Epeak [keV] : 25.8068      ( -22.2915 13.3026 )
    Norm@50keV   : 3.40653    ( -3.40674   368.159 )
    ------------------------------------------------------------
    # Chi-Squared =          55.58 using 59 PHA bins.
    # Reduced chi-squared =          1.011 for     55 degrees of freedom 
    # Null hypothesis probability =   4.527794e-01
     
    Photon flux (15-150 keV)    in 0.512 sec:  (    ) ph/cm2/s
    Energy fluence (15-150 keV)             : 0 ( 0  0 ) ergs/cm2
     
    

    Pre-slew spectrum (Pre-slew PHA with pre-slew DRM)

    Power-law model
     
    Spectral model in power-law:
    ------------------------------------------------------------
    Parameters  : value       lower 90%   higher 90%
    Photon index: 2.72221     ( -0.702107   0.934004 )
    Norm@50keV  : 4.36947E-03    ( -0.00257432   0.00276431 )
    ------------------------------------------------------------
    # Chi-Squared =          56.50 using 59 PHA bins.
    # Reduced chi-squared =         0.9913 for     57 degrees of freedom 
    # Null hypothesis probability =   4.936821e-01
     
    Photon flux (15-150 keV)    in 0.512 sec: 0.989732 ( -0.363818  0.363819 ) ph/cm2/s
    Energy fluence (15-150 keV)             : 2.39876e-08 ( -9.91805e-09  1.0948e-08 ) ergs/cm2
     
    
    Cutoff power-law model
    Spectral model in the cutoff power-law:
    ------------------------------------------------------------
    Parameters  : value       lower 90%   higher 90%
    Photon index: -0.325324     ( 0.378808   2.39667 )
    Epeak [keV] : 23.9668      (   )
    Norm@50keV  : 0.501786    (     )
    ------------------------------------------------------------
    # Chi-Squared =          54.76 using 59 PHA bins.
    # Reduced chi-squared =         0.9779 for     56 degrees of freedom 
    # Null hypothesis probability =   5.218957e-01
     
    Photon flux (15-150 keV)    in 0.512 sec: 0.941084 ( -0.345203  0.359216 ) ph/cm2/s
    Energy fluence (15-150 keV)             : 2.03576e-08 ( -7.68404e-09  1.03746e-08 ) ergs/cm2
     
    
    Band function
     
    Spectral model in the Band function:
    ------------------------------------------------------------
    Parameters  : value       lower 90%   higher 90%
    alpha       : 1.48929   ( 0.813639   0.813639 )
    beta        : -9.99997    ( 126112   126122 )
    Epeak [keV] : 25.5513      ( -20.5224 12.9333 )
    Norm@50keV   : 3.17406    ( -2.9345   421.45 )
    ------------------------------------------------------------
    # Chi-Squared =          54.72 using 59 PHA bins.
    # Reduced chi-squared =         0.9949 for     55 degrees of freedom 
    # Null hypothesis probability =   4.852906e-01
     
    Photon flux (15-150 keV)    in 0.512 sec:  (    ) ph/cm2/s
    Energy fluence (15-150 keV)             : 0 ( 0  0 ) ergs/cm2
     
    

    S(25-50 keV) vs. S(50-100 keV) plot

    S(25-50 keV)  = 8.06067e-09
    S(50-100 keV) = 4.88612e-09
    

    T90 vs. Hardness ratio plot

    T90                                   = 0.51199996471405 sec.
    Hardness ratio (energy fluence ratio) = 0.606168
    

    Color vs. Color plot

    Count Ratio  (25-50 keV) / (15-25 keV) = 0.750923
    Count Ratio (50-100 keV) / (15-25 keV) = 0.0783368
    

    Mask shadow pattern

    IMX = 0, IMY = 0
    

    TIME vs. PHA plot around the trigger time

    TIME vs. DetID plot around the trigger time

    100 us light curve (15-350 keV)

    Spacecraft aspect plot

    Bright source in the pre-burst/pre-slew/post-slew images

    Pre-burst image of 15-350 keV band

    Time interval of the image:
    -60.864000 -4.864000
     
    # RAcent  DECcent POSerr Theta    Phi  PeakCts   SNR AngSep     Name
    #  [deg]    [deg]    ['] [deg]  [deg]                   [']
    244.9744 -15.6368    0.5  23.9 -124.7   2.6089  25.4    0.4	Sco X-1                       
    254.5224  35.4067   11.5  43.8  -26.1   0.1615   1.0    5.0	Her X-1                       
    255.8998 -37.8254    2.9  32.9 -173.7   0.4692   4.0    4.3	4U 1700-377                   
    256.2924 -36.5167    5.6  31.6 -173.3   0.2185   2.1    8.9	GX 349+2                      
    262.9929 -24.7310    2.4  18.6 -177.7   0.4219   4.8    1.2	GX 1+4                        
    264.7437 -44.5002    8.2  37.9  172.5  -0.1726  -1.4    3.0	4U 1735-44                    
    268.4476  -1.3677    6.3   5.4   -1.1   0.1493   1.8    7.0	SW J1753.5-0127               
    270.2905 -25.0219    2.0  18.5  161.4   0.5042   5.8    3.5	GX 5-1                        
    270.2817 -25.7679    5.4  19.3  161.8   0.1874   2.1    1.9	GRS 1758-258                  
    273.9511 -13.9410    4.9   9.6  128.8   0.2125   2.4    6.5	GX 17+2                       
    275.7681 -30.4586    5.9  25.0  152.3   0.1955   1.9    9.8	H1820-303                     
    285.1747 -25.0583    6.2  24.9  128.7   0.2239   1.9   11.2	HT1900.1-2455                 
    288.8058  10.9201    0.9  27.5   39.6   1.3809  12.9    1.6	GRS 1915+105                  
    299.5941  35.2348    2.6  51.7   22.8   1.8156   4.5    2.0	Cyg X-1                       
    263.2290 -15.9967    2.6  10.2 -166.7   0.3771   4.4 ------	UNKNOWN                       
    230.6511 -23.4479    2.4  39.2 -130.1   0.8041   4.7 ------	UNKNOWN                       
    225.8242  -9.6826    3.5  41.4 -107.8   1.3240   3.3 ------	UNKNOWN                       
    

    Pre-slew background subtracted image of 15-350 keV band

    Time interval of the image:
    0.000000 0.512000
     
    # RAcent  DECcent POSerr Theta    Phi  PeakCts   SNR AngSep     Name
    #  [deg]    [deg]    ['] [deg]  [deg]                   [']
    244.9321 -15.7742    5.1  23.9 -125.0   0.0208   2.3    8.5	Sco X-1                       
    254.3654  35.2005    4.5  43.7  -26.4  -0.0354  -2.6    9.6	Her X-1                       
    256.1058 -37.9325   13.3  32.9 -174.0  -0.0083  -0.9    7.7	4U 1700-377                   
    256.2978 -36.3595   19.1  31.4 -173.2  -0.0056  -0.6    7.7	GX 349+2                      
    263.1573 -24.7964   13.8  18.6 -178.2  -0.0061  -0.8    8.6	GX 1+4                        
    264.7068 -44.5974    8.1  38.0  172.5   0.0169   1.4    9.0	4U 1735-44                    
    268.2035  -1.5183    7.4   5.2   -3.5   0.0117   1.6   10.6	SW J1753.5-0127               
    270.1441 -24.9822   11.9  18.5  161.8   0.0070   1.0    9.6	GX 5-1                        
    270.3832 -25.7502    7.1  19.3  161.5   0.0125   1.6    4.4	GRS 1758-258                  
    273.8312 -14.1554   46.3   9.7  130.1   0.0019   0.2   12.4	GX 17+2                       
    275.7345 -30.4907   67.9  25.0  152.4  -0.0015  -0.2   12.3	H1820-303                     
    284.9135 -24.9829    3.3  24.7  128.9   0.0341   3.5    7.6	HT1900.1-2455                 
    288.6661  11.0271    7.3  27.5   39.3   0.0161   1.6    9.2	GRS 1915+105                  
    299.7357  35.3007    0.0  51.8   22.9  -0.0600  -1.7    9.3	Cyg X-1                       
    302.2081 -39.6852    2.8  45.3  131.3   0.1430   4.2 ------	UNKNOWN                       
    

    Post-slew image of 15-350 keV band

    Time interval of the image:
    80.736590 302.186000
     
    # RAcent  DECcent POSerr Theta    Phi  PeakCts   SNR AngSep     Name
    #  [deg]    [deg]    ['] [deg]  [deg]                   [']
    170.5659 -60.6973   13.0  45.5 -138.0  -0.4881  -0.9    8.6	Cen X-3                       
    186.7875 -62.7148    2.7  37.5 -138.2   1.5625   4.3    4.9	GX 301-2                      
    244.9866 -15.6337    0.2  32.0   -9.8  10.9132  47.9    0.6	Sco X-1                       
    255.9552 -37.7984    1.5  10.4   25.9   1.5023   7.6    3.1	4U 1700-377                   
    256.3149 -36.3772    5.8  11.9   24.6   0.4148   2.0    6.4	GX 349+2                      
    263.0379 -24.7187    1.6  24.8   28.5   1.5931   7.2    2.3	GX 1+4                        
    264.6240 -44.4818    2.6  10.5   79.2   0.9021   4.5    5.4	4U 1735-44                    
    268.3784  -1.4730    5.0  48.5   24.3   1.3759   2.3    1.4	SW J1753.5-0127               
    270.2351 -25.0889    3.7  27.4   42.3   0.7370   3.1    2.7	GX 5-1                        
    270.2432 -25.7348    4.2  26.8   43.0   0.6497   2.7    3.2	GRS 1758-258                  
    274.0303 -14.0386    3.8  38.8   38.5   1.2348   3.0    1.4	GX 17+2                       
    276.0811 -30.3138   18.3  26.2   58.4   0.1750   0.6    8.7	H1820-303                     
    284.8887 -24.9750   15.6  35.4   62.8   0.3475   0.7    8.7	HT1900.1-2455                 
    276.1848 -19.6079    2.6  34.9   46.0   1.5115   4.4 ------	UNKNOWN                       
    315.9124 -73.3068    2.8  38.4  154.6   1.5509   4.2 ------	UNKNOWN                       
    234.1309 -56.4365    2.7  13.4 -139.3   0.8048   4.2 ------	UNKNOWN                       
    203.8204 -36.2075    3.7  35.7  -89.5   1.9229   3.2 ------	UNKNOWN                       
    
    Plot creation:
    Mon Feb 15 19:21:50 EST 2010