batgrbproduct Analysis for Trigger=361055

Analysis Summary

Notes:

======================================================================
                  BAT GRB EVENT DATA PROCESSING REPORT
    Process Script Ver: batgrbproduct v2.45
    Process Start Time (local time): Fri Aug 28 20:33:35 EDT 2009
             Host Name: gcn5
   Current Working Dir: /local/data/raid16/prebascript_archive/trigger361055/GCN5_download_cron
======================================================================

  Trigger: 00361055      Segment: 000

  BAT Trigger Time: 273129425.008   [s; MET]
      Trigger Stop: 273129425.04   [s; MET]
               UTC: 2009-08-28T05:16:59.972300    [includes UTCF correction] 
       Where From?: (*SHORT BURST*) TDRSS scaled map message

  BAT 
    RA: 249.219853755491   Dec: 83.7211730628465  [deg; J2000]

     Catalogged Source?: NO
     Point Source?:      YES
     GRB Indicated?:     YES    [ by BAT flight software ]
     Image S/N Ratio:    6.28
     Image Trigger?:     NO
     Rate S/N Ratio:     6.32455532033676  [ if not an image trigger ]
     Image S/N Ratio:    6.28

  Flight Position:   [ source = BAT ]
    RA: 249.219853755491   Dec: 83.7211730628465  [deg; J2000]

  Ground Position:   [ source = BAT pre-slew burst ]
    RA: 249.154207362322   Dec: 83.7269971426955  [deg; J2000]  
        { 16h 36m 37.0s , +83d 43' 37.2" }
         +/- 3.67568855189138 [arcmin] (estimated 90% radius based on SNR)
         +/- 2.17724320729876 [arcmin] (formal 1-sigma fit error)
    SNR: 4.7368720898627
 
  Angular difference between Flight and Ground position is 0.554532 arcmin
 
  Partial Coding Fraction: 1.015625    [ including projection effects ]

  Duration
     T90: 0.0320000052452087 +/- 
        Measured from: 0
                   to: 0.0320000052452087     [s; relative to TRIGTIME]
     T50: 0.0320000052452087 +/- 
        Measured from: 0
                   to: 0.0320000052452087     [s; relative to TRIGTIME]

    WARNING: battblocks failed.  Used TDRSS fore/background intervals

  Fluence
     Peak Flux  (peak 0.0320000052452087 second)
        Measured from: 2.98023223876953e-08     
                   to: 0.0320000350475311     [s; relative to TRIGTIME]
     Total Fluence        
        Measured from: 0     
                   to: 0.0320000052452087     [s; relative to TRIGTIME]
     
             Band 1     Band 2     Band 3     Band 4
              15-25      25-50     50-100    100-350     keV
 Total     0.001092   0.003331   0.005256   0.000631
           0.000937   0.001129   0.001093   0.000981 [error]
 Peak      0.001092   0.003331   0.005256   0.000631
           0.000937   0.001129   0.001093   0.000981 [error]

     [ fluence units of on-axis counts / fully illuminated detector ] 

======================================================================
 
=== Fluence/Peak Flux Summary ===
 
              Model    Band1    Band2    Band3    Band4    Band5    Total      
                       15-25    25-50   50-100  100-350   15-150   15-350   keV
Fluence   Power-law 4.45e-10 9.21e-10 1.49e-09 5.43e-09 4.13e-09 8.27e-09   erg/cm2
              Error 2.72e-10 3.98e-10 6.08e-10 4.04e-09 1.61e-09 4.54e-09   erg/cm2
Peak flux Power-law 4.45e-01 5.04e-01 4.09e-01 5.53e-01 1.56e+00 1.91e+00   ph/cm2/s
              Error 2.75e-01 2.21e-01 1.64e-01 3.78e-01 6.32e-01 7.34e-01   ph/cm2/s
 
Fluence   Cutoff-PL 0.00e+00 0.00e+00 0.00e+00 0.00e+00 0.00e+00 0.00e+00   erg/cm2
              Error 0.00e+00 0.00e+00 0.00e+00 0.00e+00 0.00e+00 0.00e+00   erg/cm2
Peak flux Cutoff-PL 1.90e-01 6.73e-01 6.68e-01 1.63e+00 0.00e+00 0.00e+00   ph/cm2/s
              Error 1.76e-01 2.41e-01 2.48e-01 5.66e-01 0.00e+00 0.00e+00   ph/cm2/s
 
Fluence        Band 0.00e+00 0.00e+00 0.00e+00 0.00e+00 0.00e+00 0.00e+00   erg/cm2
              Error 0.00e+00 0.00e+00 0.00e+00 0.00e+00 0.00e+00 0.00e+00   erg/cm2
Peak flux      Band 0.00e+00 0.00e+00 0.00e+00 0.00e+00 0.00e+00 0.00e+00   ph/cm2/s
              Error 0.00e+00 0.00e+00 0.00e+00 0.00e+00 0.00e+00 0.00e+00   ph/cm2/s
 
=== Time-averaged spectral analysis ===
 
Model Ph_index Ph_90err Epeak  Epeak_90err Norm     Nomr_90err chi2   dof
PL    1.306    0.508    -      -           1.31e-02 5.07e-03   63.340 57
CPL  -4.943    0.000      63.6   12.6      6.59e+00 4.59e+00   56.780 56
 
 
=== 1-s peak spectral analysis ===
 
Model Ph_index Ph_90err Epeak  Epeak_90err Norm     Nomr_90err chi2   dof
PL    1.303    0.506    -      -           1.31e-02 5.06e-03   63.600 57
CPL  -4.489   -0.049      63.7   18.9      4.49e+00 3.10e+00   57.000 56
 
Model      : spectral model: simple power-law (PL) and cutoff power-law (CPL)
Ph_index   : photon index: E^-{Ph_index} (minus sign is not included in the index)
Ph_90err   : 90% error of the photon index
Epeak      : Epeak in keV
Epeak_90err: 90% error of Epeak
Norm       : normalization at 50 keV in PL model and at 1 keV in CPL model
Nomr_90err : 90% error of the normalization
chi2       : Chi-Squared
dof        : degree of freedom
 
=== T90/T50 calculation in the 50-300 keV band (BATSE band) using 64 ms lc ===
 
T90 in the 50-300 keV band: 0.000000 sec.
T50 in the 50-300 keV band: 0.000000 sec.
 
=== Table of the duration information ==
 
        Value   tstart    tstop
T100    0.032    0.000    0.032
T90     0.032    0.000    0.032
T50     0.032    0.000    0.032
Peak    0.032    0.000    0.032
  • Click here for the BAT GCN circular template

    Image

    Pre-slew 15-350 keV image (Event data; bkg subtracted)

    #   RAcent  DECcent POSerr  Theta    Phi     Peak Cts     SNR  Name
      249.1542 +83.7270 0.0406    8.8 -155.0       0.0093     4.7  TRIG_00361055       
    ------------------------------------------
     
    Foreground time interval of the image:
      0.000   0.032 (delta_t =   0.032 [sec])
    Background time interval of the image:
    -60.008  -1.008 (delta_t =  59.000 [sec])
    

    Lightcurves

    Notes:

    1 s binning

    From T0-310 s to T0+310 s
    From T100_start - 20 s to T100_end + 30 s
    Full time interval

    64 ms binning

    Full time interval
    From T100_start to T100_end
    From T0-5 sec to T0+5 sec

    16 ms binning

    From T100_start-5 s to T100_start+5 s

    8 ms binning

    From T100_start-3 s to T100_start+3 s

    2 ms binning

    From T100_start-1 s to T100_start+1 s

    SN=5 or 10 sec. binning (whichever binning is satisfied first)

    SN=5 or 10 sec. binning (T < 200 sec)

    Flight mask-tagged light curves

    Caution: Mask-weight map is always using the same on-axis map

    Quad-rate summed light curves (from T0-300 to T0+1000)

    Spectra

    Notes:

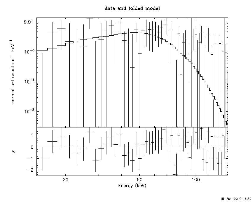
    Time averaged spectrum fit using the pre-slew DRM

    Power-law model
    Time interval is from    0.000 sec. to    0.032 sec.
     
    Spectral model in power-law:
    ------------------------------------------------------------
    Parameters  : value       lower 90%   higher 90%
    Photon index: 1.30553     ( -0.520283   0.495299 )
    Norm@50keV  : 1.30761E-02    ( -0.00508026   0.00505864 )
    ------------------------------------------------------------
    # Chi-Squared =          63.34 using 59 PHA bins.
    # Reduced chi-squared =          1.111 for     57 degrees of freedom 
    # Null hypothesis probability =   2.627215e-01
     
    Photon flux (15-150 keV)    in 0.032 sec: 1.56099 ( -0.630216  0.638446 ) ph/cm2/s
    Energy fluence (15-150 keV)             : 4.13024e-09 ( -1.61173e-09  1.61689e-09 ) ergs/cm2
     
    
    Cutoff power-law model
    Time interval is from    0.000 sec. to    0.032 sec.
    Spectral model in the cutoff power-law:
    ------------------------------------------------------------
    Parameters  : value       lower 90%   higher 90%
    Photon index: -4.94259     (     )
    Epeak [keV] : 63.5555      ( -11.4602 13.6804 )
    Norm@50keV  : 6.58854    ( -6.58854   2.59814 )
    ------------------------------------------------------------
    # Chi-Squared =          56.78 using 59 PHA bins.
    # Reduced chi-squared =          1.014 for     56 degrees of freedom 
    # Null hypothesis probability =   4.457429e-01
     
    Photon flux (15-150 keV)    in 0.032 sec:  (    ) ph/cm2/s
    Energy fluence (15-150 keV)             : 0 ( 0  0 ) ergs/cm2
     
    
    Band function
    Time interval is from    0.000 sec. to    0.032 sec.
     
    Spectral model in the Band function:
    ------------------------------------------------------------
    Parameters  : value       lower 90%   higher 90%
    alpha       : 4.36630   ( -1.07531   3.632 )
    beta        : -10.00000    ( 6.14949e+08   6.14949e+08 )
    Epeak [keV] : 63.8130      ( -11.7879 26.267 )
    Norm@50keV   : 4.02077    ( -4.08661   1.56369 )
    ------------------------------------------------------------
    # Chi-Squared =          56.79 using 59 PHA bins.
    # Reduced chi-squared =          1.033 for     55 degrees of freedom 
    # Null hypothesis probability =   4.081448e-01
     
    Photon flux (15-150 keV)    in 0.032 sec:  (    ) ph/cm2/s
    Energy fluence (15-150 keV)             : 0 ( 0  0 ) ergs/cm2
     
    

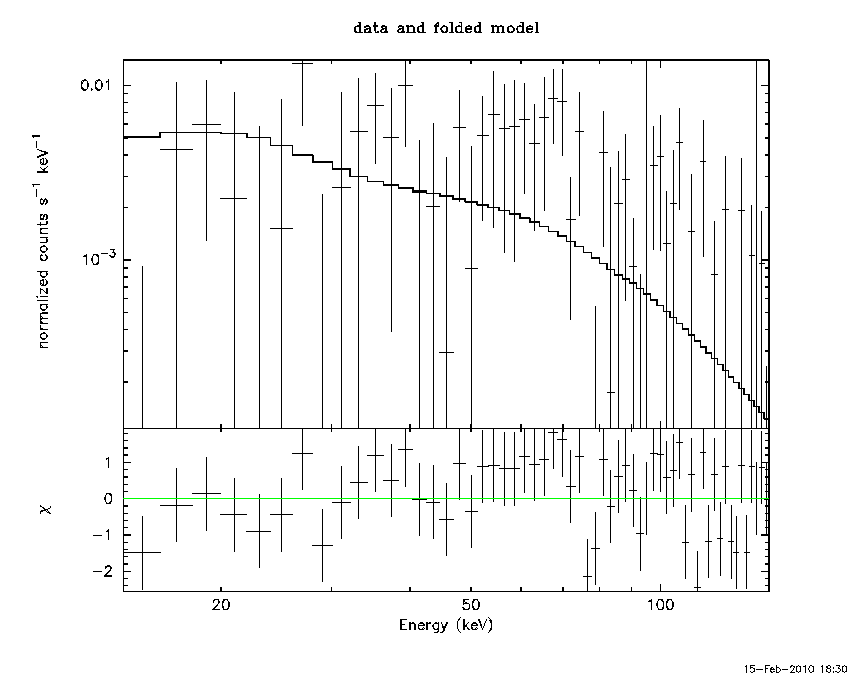
    Peak spectrum fit

    Power-law model
    Time interval is from    0.000 sec. to    0.032 sec.
     
    Spectral model in power-law:
    ------------------------------------------------------------
    Parameters  : value       lower 90%   higher 90%
    Photon index: 1.30318     ( -0.518239   0.493181 )
    Norm@50keV  : 1.30750E-02    ( -0.00506851   0.005047 )
    ------------------------------------------------------------
    # Chi-Squared =          63.60 using 59 PHA bins.
    # Reduced chi-squared =          1.116 for     57 degrees of freedom 
    # Null hypothesis probability =   2.554025e-01
     
    Photon flux (15-150 keV)    in 0.032 sec: 1.56009 ( -0.628245  0.636295 ) ph/cm2/s
    Energy fluence (15-150 keV)             : 4.13222e-09 ( -1.60908e-09  1.61437e-09 ) ergs/cm2
     
    
    Cutoff power-law model
    Time interval is from    0.000 sec. to    0.032 sec.
    Spectral model in the cutoff power-law:
    ------------------------------------------------------------
    Parameters  : value       lower 90%   higher 90%
    Photon index: -4.48935     ( 4.99129   4.89298 )
    Epeak [keV] : 63.7232      ( -11.7147 26.1376 )
    Norm@50keV  : 4.49309    ( -4.49544   1.7093 )
    ------------------------------------------------------------
    # Chi-Squared =          57.00 using 59 PHA bins.
    # Reduced chi-squared =          1.018 for     56 degrees of freedom 
    # Null hypothesis probability =   4.377807e-01
     
    Photon flux (15-150 keV)    in 0.032 sec:  (    ) ph/cm2/s
    Energy fluence (15-150 keV)             : 0 ( 0  0 ) ergs/cm2
     
    
    Band function
    Time interval is from    0.000 sec. to    0.032 sec.
     
    Spectral model in the Band function:
    ------------------------------------------------------------
    Parameters  : value       lower 90%   higher 90%
    alpha       : 4.35611   ( -1.07218   3.53333 )
    beta        : -10.00000    ( 3.21868e+08   3.21868e+08 )
    Epeak [keV] : 63.8122      ( -11.7704 26.1289 )
    Norm@50keV   : 3.99321    ( -4.09225   1.56794 )
    ------------------------------------------------------------
    # Chi-Squared =          57.00 using 59 PHA bins.
    # Reduced chi-squared =          1.036 for     55 degrees of freedom 
    # Null hypothesis probability =   4.005729e-01
     
    Photon flux (15-150 keV)    in 0.032 sec:  (    ) ph/cm2/s
    Energy fluence (15-150 keV)             : 0 ( 0  0 ) ergs/cm2
     
    

    Pre-slew spectrum (Pre-slew PHA with pre-slew DRM)

    Power-law model
     
    Spectral model in power-law:
    ------------------------------------------------------------
    Parameters  : value       lower 90%   higher 90%
    Photon index: 1.30553     ( -0.520283   0.495299 )
    Norm@50keV  : 1.30761E-02    ( -0.00508026   0.00505864 )
    ------------------------------------------------------------
    # Chi-Squared =          63.34 using 59 PHA bins.
    # Reduced chi-squared =          1.111 for     57 degrees of freedom 
    # Null hypothesis probability =   2.627215e-01
     
    Photon flux (15-150 keV)    in 0.032 sec: 1.56099 ( -0.630216  0.638446 ) ph/cm2/s
    Energy fluence (15-150 keV)             : 4.13024e-09 ( -1.61173e-09  1.61689e-09 ) ergs/cm2
     
    
    Cutoff power-law model
    Spectral model in the cutoff power-law:
    ------------------------------------------------------------
    Parameters  : value       lower 90%   higher 90%
    Photon index: -4.94259     (     )
    Epeak [keV] : 63.5555      ( -11.4602 13.6804 )
    Norm@50keV  : 6.58854    ( -6.58854   2.59814 )
    ------------------------------------------------------------
    # Chi-Squared =          56.78 using 59 PHA bins.
    # Reduced chi-squared =          1.014 for     56 degrees of freedom 
    # Null hypothesis probability =   4.457429e-01
     
    Photon flux (15-150 keV)    in 0.032 sec:  (    ) ph/cm2/s
    Energy fluence (15-150 keV)             : 0 ( 0  0 ) ergs/cm2
     
    
    Band function
     
    Spectral model in the Band function:
    ------------------------------------------------------------
    Parameters  : value       lower 90%   higher 90%
    alpha       : 4.36630   ( -1.07531   3.632 )
    beta        : -10.00000    ( 6.14949e+08   6.14949e+08 )
    Epeak [keV] : 63.8130      ( -11.7879 26.267 )
    Norm@50keV   : 4.02077    ( -4.08661   1.56369 )
    ------------------------------------------------------------
    # Chi-Squared =          56.79 using 59 PHA bins.
    # Reduced chi-squared =          1.033 for     55 degrees of freedom 
    # Null hypothesis probability =   4.081448e-01
     
    Photon flux (15-150 keV)    in 0.032 sec:  (    ) ph/cm2/s
    Energy fluence (15-150 keV)             : 0 ( 0  0 ) ergs/cm2
     
    

    S(25-50 keV) vs. S(50-100 keV) plot

    S(25-50 keV)  = 9.21408e-10
    S(50-100 keV) = 1.49259e-09
    

    T90 vs. Hardness ratio plot

    T90                                   = 0.0320000052452087 sec.
    Hardness ratio (energy fluence ratio) = 1.6199
    

    Color vs. Color plot

    Count Ratio  (25-50 keV) / (15-25 keV) = 3.05037
    Count Ratio (50-100 keV) / (15-25 keV) = 4.81319
    

    Mask shadow pattern

    IMX = 0, IMY = 0
    

    TIME vs. PHA plot around the trigger time

    TIME vs. DetID plot around the trigger time

    100 us light curve (15-350 keV)

    Spacecraft aspect plot

    Bright source in the pre-burst/pre-slew/post-slew images

    Pre-burst image of 15-350 keV band

    Time interval of the image:
    -60.008000 -1.008000
     
    # RAcent  DECcent POSerr Theta    Phi  PeakCts   SNR AngSep     Name
    #  [deg]    [deg]    ['] [deg]  [deg]                   [']
    254.4749  35.3687   15.1  56.4 -177.8  -0.3265  -0.8    1.8	Her X-1                       
     80.2790  41.2380    2.7  47.5   -8.7   0.7300   4.3 ------	UNKNOWN                       
    

    Pre-slew background subtracted image of 15-350 keV band

    Time interval of the image:
    0.000000 0.032000
     
    # RAcent  DECcent POSerr Theta    Phi  PeakCts   SNR AngSep     Name
    #  [deg]    [deg]    ['] [deg]  [deg]                   [']
    254.3556  35.3630    4.5  56.4 -177.7   0.0217   2.6    5.1	Her X-1                       
    327.1741  46.8852    2.2  40.7  110.3   0.0383   5.3 ------	UNKNOWN                       
    249.1540  83.7270    2.4   8.8 -155.0   0.0093   4.7 ------	UNKNOWN                       
    

    Post-slew image of 15-350 keV band

    Time interval of the image:
    41.892590 303.055900
     
    # RAcent  DECcent POSerr Theta    Phi  PeakCts   SNR AngSep     Name
    #  [deg]    [deg]    ['] [deg]  [deg]                   [']
    254.3419  35.3841    9.7  48.4  171.2   0.6602   1.2    6.2	Her X-1                       
     45.0313  41.7321    2.5  54.0   19.0   5.2052   4.7 ------	UNKNOWN                       
    272.4230  66.2759    3.2  18.1  146.2   0.7779   3.6 ------	UNKNOWN                       
     56.2478  62.5618    2.6  33.6    7.6   1.0803   4.4 ------	UNKNOWN                       
     76.3193  75.1828    2.5  21.1   -8.3   0.9036   4.6 ------	UNKNOWN                       
    210.8828  45.7915    2.7  39.5 -140.3   1.4038   4.2 ------	UNKNOWN                       
    227.5061  26.8395    3.4  57.4 -160.1   3.9295   3.4 ------	UNKNOWN                       
    226.6072  25.5284    3.5  58.7 -159.2   5.3418   3.3 ------	UNKNOWN                       
    199.2508  38.1937    2.2  48.0 -129.0   5.1033   5.3 ------	UNKNOWN                       
    
    Plot creation:
    Mon Feb 15 18:31:28 EST 2010