batgrbproduct Analysis for Trigger=361218

Analysis Summary

Notes:

======================================================================
                  BAT GRB EVENT DATA PROCESSING REPORT
    Process Script Ver: batgrbproduct v2.45
    Process Start Time (local time): Sun Aug 30 12:06:21 EDT 2009
             Host Name: gcn5
   Current Working Dir: /local/data/raid16/prebascript_archive/trigger361218/GCN5_download_cron
======================================================================

  Trigger: 00361218      Segment: 000

  BAT Trigger Time: 273265925.376   [s; MET]
      Trigger Stop: 273265933.568   [s; MET]
               UTC: 2009-08-29T19:12:00.335820    [includes UTCF correction] 
       Where From?: TDRSS position message

  BAT 
    RA: 301.246453215108   Dec: 45.9715152415344  [deg; J2000]

     Catalogged Source?: NO
     Point Source?:      YES
     GRB Indicated?:     YES    [ by BAT flight software ]
     Image S/N Ratio:    5.67
     Image Trigger?:     NO
     Rate S/N Ratio:     8.77496438739212  [ if not an image trigger ]
     Image S/N Ratio:    5.67

  Flight Position:   [ source = BAT ]
    RA: 301.246453215108   Dec: 45.9715152415344  [deg; J2000]

  Ground Position:   [ source = BAT pre-slew burst ]
    RA: 301.214591630277   Dec: 45.9856035915697  [deg; J2000]  
        { 20h 04m 51.5s , +45d 59' 08.2" }
         +/- 3.14067347762765 [arcmin] (estimated 90% radius based on SNR)
         +/- 1.65996729516796 [arcmin] (formal 1-sigma fit error)
    SNR: 5.93042512577589
 
  Angular difference between Flight and Ground position is 1.574617 arcmin
 
  Partial Coding Fraction: 1    [ including projection effects ]

  Duration
     T90: 8.19200003147125 +/- 
        Measured from: 0
                   to: 8.19200003147125     [s; relative to TRIGTIME]
     T50: 8.19200003147125 +/- 
        Measured from: 0
                   to: 8.19200003147125     [s; relative to TRIGTIME]

    WARNING: battblocks failed.  Used TDRSS fore/background intervals

  Fluence
     Peak Flux  (peak 8.19200003147125 second)
        Measured from: 0     
                   to: 8.19200003147125     [s; relative to TRIGTIME]
     Total Fluence        
        Measured from: 0     
                   to: 8.19200003147125     [s; relative to TRIGTIME]
     
             Band 1     Band 2     Band 3     Band 4
              15-25      25-50     50-100    100-350     keV
 Total     0.037273   0.043961   0.035524   0.012794
           0.016238   0.016353   0.014136   0.012109 [error]
 Peak      0.037273   0.043961   0.035524   0.012794
           0.016238   0.016353   0.014136   0.012109 [error]

     [ fluence units of on-axis counts / fully illuminated detector ] 

======================================================================
 
=== Fluence/Peak Flux Summary ===
 
              Model    Band1    Band2    Band3    Band4    Band5    Total      
                       15-25    25-50   50-100  100-350   15-150   15-350   keV
Fluence   Power-law 8.99e-09 1.82e-08 2.86e-08 9.96e-08 7.96e-08 1.55e-07   erg/cm2
              Error 5.87e-09 7.22e-09 1.37e-08 1.35e-07 3.36e-08 1.30e-07   erg/cm2
Peak flux Power-law 3.53e-02 3.90e-02 3.08e-02 4.02e-02 1.20e-01 1.45e-01   ph/cm2/s
              Error 2.34e-02 1.58e-02 1.42e-02 4.36e-02 4.37e-02 5.60e-02   ph/cm2/s
 
Fluence   Cutoff-PL 8.99e-09 1.82e-08 2.86e-08 9.87e-08 7.96e-08 1.55e-07   erg/cm2
              Error 5.88e-09 7.23e-09 1.37e-08 1.34e-07 3.36e-08 1.29e-07   erg/cm2
Peak flux Cutoff-PL 3.53e-02 3.91e-02 3.08e-02 3.98e-02 1.20e-01 1.45e-01   ph/cm2/s
              Error 2.34e-02 1.58e-02 1.42e-02 4.33e-02 4.37e-02 5.58e-02   ph/cm2/s
 
Fluence        Band 0.00e+00 0.00e+00 0.00e+00 0.00e+00 0.00e+00 0.00e+00   erg/cm2
              Error 0.00e+00 0.00e+00 0.00e+00 0.00e+00 0.00e+00 0.00e+00   erg/cm2
Peak flux      Band 0.00e+00 0.00e+00 0.00e+00 0.00e+00 0.00e+00 0.00e+00   ph/cm2/s
              Error 0.00e+00 0.00e+00 0.00e+00 0.00e+00 0.00e+00 0.00e+00   ph/cm2/s
 
=== Time-averaged spectral analysis ===
 
Model Ph_index Ph_90err Epeak  Epeak_90err Norm     Nomr_90err chi2   dof
PL    1.345    0.735    -      -           9.93e-04 3.69e-04   75.090 57
CPL   2.032    0.000      12.3    0.0      4.11e-04 0.00e+00   75.030 56
 
 
=== 1-s peak spectral analysis ===
 
Model Ph_index Ph_90err Epeak  Epeak_90err Norm     Nomr_90err chi2   dof
PL    1.342    0.730    -      -           9.99e-04 3.68e-04   75.700 57
CPL   1.369    0.735    9999.4    0.0      9.98e-04 5.18e-03   75.700 56
 
Model      : spectral model: simple power-law (PL) and cutoff power-law (CPL)
Ph_index   : photon index: E^-{Ph_index} (minus sign is not included in the index)
Ph_90err   : 90% error of the photon index
Epeak      : Epeak in keV
Epeak_90err: 90% error of Epeak
Norm       : normalization at 50 keV in PL model and at 1 keV in CPL model
Nomr_90err : 90% error of the normalization
chi2       : Chi-Squared
dof        : degree of freedom
 
=== T90/T50 calculation in the 50-300 keV band (BATSE band) using 64 ms lc ===
 
T90 in the 50-300 keV band: 0.000000 sec.
T50 in the 50-300 keV band: 0.000000 sec.
 
=== Table of the duration information ==
 
        Value   tstart    tstop
T100    8.192    0.000    8.192
T90     8.192    0.000    8.192
T50     8.192    0.000    8.192
Peak    8.192    0.000    8.192
  • Click here for the BAT GCN circular template

    Image

    Pre-slew 15-350 keV image (Event data; bkg subtracted)

    #   RAcent  DECcent POSerr  Theta    Phi     Peak Cts     SNR  Name
      301.2146 +45.9856 0.0324   10.9  -45.4       0.1945     5.9  TRIG_00361218       
    ------------------------------------------
     
    Foreground time interval of the image:
      0.000   8.192 (delta_t =   8.192 [sec])
    Background time interval of the image:
    -60.376 -29.376 (delta_t =  31.000 [sec])
    

    Lightcurves

    Notes:

    1 s binning

    From T0-310 s to T0+310 s
    From T100_start - 20 s to T100_end + 30 s
    Full time interval

    64 ms binning

    Full time interval
    From T100_start to T100_end
    From T0-5 sec to T0+5 sec

    16 ms binning

    From T100_start-5 s to T100_start+5 s

    8 ms binning

    From T100_start-3 s to T100_start+3 s

    2 ms binning

    From T100_start-1 s to T100_start+1 s

    SN=5 or 10 sec. binning (whichever binning is satisfied first)

    SN=5 or 10 sec. binning (T < 200 sec)

    Flight mask-tagged light curves

    Caution: Mask-weight map is always using the same on-axis map

    Quad-rate summed light curves (from T0-300 to T0+1000)

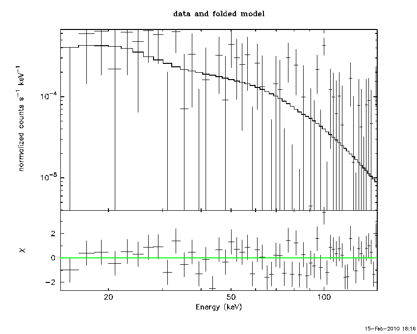
    Spectra

    Notes:

    Time averaged spectrum fit using the pre-slew DRM

    Power-law model
    Time interval is from    0.000 sec. to    8.192 sec.
     
    Spectral model in power-law:
    ------------------------------------------------------------
    Parameters  : value       lower 90%   higher 90%
    Photon index: 1.34532     ( -0.760704   0.710061 )
    Norm@50keV  : 9.93435E-04    ( -0.000374422   0.000363401 )
    ------------------------------------------------------------
    # Chi-Squared =          75.09 using 59 PHA bins.
    # Reduced chi-squared =          1.317 for     57 degrees of freedom 
    # Null hypothesis probability =   5.439626e-02
     
    Photon flux (15-150 keV)    in 8.192 sec: 0.119563 ( -0.0438098  0.0438954 ) ph/cm2/s
    Energy fluence (15-150 keV)             : 7.95722e-08 ( -3.2787e-08  3.43499e-08 ) ergs/cm2
     
    
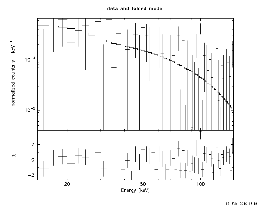
    Cutoff power-law model
    Time interval is from    0.000 sec. to    8.192 sec.
    Spectral model in the cutoff power-law:
    ------------------------------------------------------------
    Parameters  : value       lower 90%   higher 90%
    Photon index: 2.03215     (     )
    Epeak [keV] : 12.2722      (   )
    Norm@50keV  : 4.11383E-04    (     )
    ------------------------------------------------------------
    # Chi-Squared =          75.03 using 59 PHA bins.
    # Reduced chi-squared =          1.340 for     56 degrees of freedom 
    # Null hypothesis probability =   4.563581e-02
     
    Photon flux (15-150 keV)    in 8.192 sec: 0.119520 ( -0.0437981  0.043882 ) ph/cm2/s
    Energy fluence (15-150 keV)             : 7.9556e-08 ( -3.27904e-08  3.43652e-08 ) ergs/cm2
     
    
    Band function
    Time interval is from    0.000 sec. to    8.192 sec.
     
    Spectral model in the Band function:
    ------------------------------------------------------------
    Parameters  : value       lower 90%   higher 90%
    alpha       : 4.00133   ( 0.959108   0.959108 )
    beta        : -1.44832    ( 1.38129   0.786984 )
    Epeak [keV] : 24.2706      ( -73.4457 -73.4457 )
    Norm@50keV   : 20.2543    ( -28.0631   32.9673 )
    ------------------------------------------------------------
    # Chi-Squared =          74.81 using 59 PHA bins.
    # Reduced chi-squared =          1.360 for     55 degrees of freedom 
    # Null hypothesis probability =   3.904940e-02
     
    Photon flux (15-150 keV)    in 8.192 sec:  (    ) ph/cm2/s
    Energy fluence (15-150 keV)             : 0 ( 0  0 ) ergs/cm2
     
    

    Peak spectrum fit

    Power-law model
    Time interval is from    0.000 sec. to    8.192 sec.
     
    Spectral model in power-law:
    ------------------------------------------------------------
    Parameters  : value       lower 90%   higher 90%
    Photon index: 1.34159     ( -0.754938   0.705163 )
    Norm@50keV  : 9.98531E-04    ( -0.000373501   0.000362559 )
    ------------------------------------------------------------
    # Chi-Squared =          75.70 using 59 PHA bins.
    # Reduced chi-squared =          1.328 for     57 degrees of freedom 
    # Null hypothesis probability =   4.942832e-02
     
    Photon flux (15-150 keV)    in 8.192 sec: 0.120087 ( -0.0436743  0.0437507 ) ph/cm2/s
    Energy fluence (15-150 keV)             : 8.00426e-08 ( -3.27889e-08  3.43325e-08 ) ergs/cm2
     
    
    Cutoff power-law model
    Time interval is from    0.000 sec. to    8.192 sec.
    Spectral model in the cutoff power-law:
    ------------------------------------------------------------
    Parameters  : value       lower 90%   higher 90%
    Photon index: 1.36936     ( -0.787937   0.681329 )
    Epeak [keV] : 9999.36      ( -9998.96 -9998.96 )
    Norm@50keV  : 9.97885E-04    ( -0.000998823   0.00935952 )
    ------------------------------------------------------------
    # Chi-Squared =          75.70 using 59 PHA bins.
    # Reduced chi-squared =          1.352 for     56 degrees of freedom 
    # Null hypothesis probability =   4.083766e-02
     
    Photon flux (15-150 keV)    in 8.192 sec: 0.120042 ( -0.0436613  0.043739 ) ph/cm2/s
    Energy fluence (15-150 keV)             : 8.00276e-08 ( -3.2794e-08  3.4345e-08 ) ergs/cm2
     
    
    Band function
    Time interval is from    0.000 sec. to    8.192 sec.
     
    Spectral model in the Band function:
    ------------------------------------------------------------
    Parameters  : value       lower 90%   higher 90%
    alpha       : 4.99994   ( -31085   -31085 )
    beta        : -1.46368    ( -1.42876   0.820399 )
    Epeak [keV] : 25.0313      ( -24.9836 17.63 )
    Norm@50keV   : 95.7896    ( -97.6617   405073 )
    ------------------------------------------------------------
    # Chi-Squared =          75.35 using 59 PHA bins.
    # Reduced chi-squared =          1.370 for     55 degrees of freedom 
    # Null hypothesis probability =   3.558148e-02
     
    Photon flux (15-150 keV)    in 8.192 sec:  (    ) ph/cm2/s
    Energy fluence (15-150 keV)             : 0 ( 0  0 ) ergs/cm2
     
    

    Pre-slew spectrum (Pre-slew PHA with pre-slew DRM)

    Power-law model
     
    Spectral model in power-law:
    ------------------------------------------------------------
    Parameters  : value       lower 90%   higher 90%
    Photon index: 1.34532     ( -0.760704   0.710061 )
    Norm@50keV  : 9.93435E-04    ( -0.000374422   0.000363401 )
    ------------------------------------------------------------
    # Chi-Squared =          75.09 using 59 PHA bins.
    # Reduced chi-squared =          1.317 for     57 degrees of freedom 
    # Null hypothesis probability =   5.439626e-02
     
    Photon flux (15-150 keV)    in 8.192 sec: 0.119563 ( -0.0438098  0.0438954 ) ph/cm2/s
    Energy fluence (15-150 keV)             : 7.95722e-08 ( -3.2787e-08  3.43499e-08 ) ergs/cm2
     
    
    Cutoff power-law model
    Spectral model in the cutoff power-law:
    ------------------------------------------------------------
    Parameters  : value       lower 90%   higher 90%
    Photon index: 2.03215     (     )
    Epeak [keV] : 12.2722      (   )
    Norm@50keV  : 4.11383E-04    (     )
    ------------------------------------------------------------
    # Chi-Squared =          75.03 using 59 PHA bins.
    # Reduced chi-squared =          1.340 for     56 degrees of freedom 
    # Null hypothesis probability =   4.563581e-02
     
    Photon flux (15-150 keV)    in 8.192 sec: 0.119520 ( -0.0437981  0.043882 ) ph/cm2/s
    Energy fluence (15-150 keV)             : 7.9556e-08 ( -3.27904e-08  3.43652e-08 ) ergs/cm2
     
    
    Band function
     
    Spectral model in the Band function:
    ------------------------------------------------------------
    Parameters  : value       lower 90%   higher 90%
    alpha       : 4.00133   ( 0.959108   0.959108 )
    beta        : -1.44832    ( 1.38129   0.786984 )
    Epeak [keV] : 24.2706      ( -73.4457 -73.4457 )
    Norm@50keV   : 20.2543    ( -28.0631   32.9673 )
    ------------------------------------------------------------
    # Chi-Squared =          74.81 using 59 PHA bins.
    # Reduced chi-squared =          1.360 for     55 degrees of freedom 
    # Null hypothesis probability =   3.904940e-02
     
    Photon flux (15-150 keV)    in 8.192 sec:  (    ) ph/cm2/s
    Energy fluence (15-150 keV)             : 0 ( 0  0 ) ergs/cm2
     
    

    S(25-50 keV) vs. S(50-100 keV) plot

    S(25-50 keV)  = 1.81606e-08
    S(50-100 keV) = 2.85916e-08
    

    T90 vs. Hardness ratio plot

    T90                                   = 8.19200003147125 sec.
    Hardness ratio (energy fluence ratio) = 1.57438
    

    Color vs. Color plot

    Count Ratio  (25-50 keV) / (15-25 keV) = 1.17943
    Count Ratio (50-100 keV) / (15-25 keV) = 0.953076
    

    Mask shadow pattern

    IMX = 0, IMY = 0
    

    TIME vs. PHA plot around the trigger time

    TIME vs. DetID plot around the trigger time

    100 us light curve (15-350 keV)

    Spacecraft aspect plot

    Bright source in the pre-burst/pre-slew/post-slew images

    Pre-burst image of 15-350 keV band

    Time interval of the image:
    -60.376000 -29.376000
     
    # RAcent  DECcent POSerr Theta    Phi  PeakCts   SNR AngSep     Name
    #  [deg]    [deg]    ['] [deg]  [deg]                   [']
    254.3193  35.4453   86.2  36.6 -127.6  -0.0147  -0.1    9.2	Her X-1                       
    268.4206  -1.4786    3.5  46.8  173.6   0.4365   3.3    3.5	SW J1753.5-0127               
    288.7832  10.9300    2.7  26.2  153.1   0.3051   4.3    1.3	GRS 1915+105                  
    299.5783  35.2001    0.4   0.0   11.8   1.5720  27.4    0.6	Cyg X-1                       
    308.1055  41.0454    3.7   8.9   -5.1   0.1871   3.1    5.6	Cyg X-3                       
    326.2905  38.4944    8.1  21.6   21.7  -0.0925  -1.4   11.8	Cyg X-2                       
    272.2724  -2.3800    2.3  45.4  168.5   0.6171   4.9 ------	UNKNOWN                       
    266.7758  15.7301    2.9  35.2 -166.7   0.2878   4.0 ------	UNKNOWN                       
     32.0580  70.7997    2.2  57.8  -28.7   2.1557   5.2 ------	UNKNOWN                       
    

    Pre-slew background subtracted image of 15-350 keV band

    Time interval of the image:
    0.000000 8.192000
     
    # RAcent  DECcent POSerr Theta    Phi  PeakCts   SNR AngSep     Name
    #  [deg]    [deg]    ['] [deg]  [deg]                   [']
    254.4556  35.2909    8.5  36.5 -127.9   0.0777   1.4    3.1	Her X-1                       
    268.2291  -1.4464    6.4  46.9  173.9   0.1251   1.8    8.3	SW J1753.5-0127               
    288.7545  11.0899    4.5  26.0  153.2   0.1067   2.6    9.0	GRS 1915+105                  
    299.5488  35.2523    4.5   0.1  -55.1   0.0813   2.5    3.7	Cyg X-1                       
    308.1635  40.8019    4.4   8.8   -3.7   0.0819   2.6    9.4	Cyg X-3                       
    326.2831  38.2061    8.0  21.6   22.5  -0.0517  -1.4    8.7	Cyg X-2                       
    301.2146  45.9856    1.9  10.9  -45.4   0.1945   5.9 ------	UNKNOWN                       
    300.3990  52.2623    2.4  17.1  -49.8   0.1598   4.8 ------	UNKNOWN                       
    

    Post-slew image of 15-350 keV band

    Time interval of the image:
    81.324600 149.424590
     
    # RAcent  DECcent POSerr Theta    Phi  PeakCts   SNR AngSep     Name
    #  [deg]    [deg]    ['] [deg]  [deg]                   [']
    254.3323  35.3782    6.7  36.5 -138.3   0.2303   1.7    6.5	Her X-1                       
    268.4578  -1.4802    5.3  55.6  172.6   1.1427   2.2    5.6	SW J1753.5-0127               
    288.7863  10.9589    2.6  36.6  152.4   0.7041   4.4    1.1	GRS 1915+105                  
    299.5925  35.1925    0.4  10.9  138.7   3.1285  32.3    0.6	Cyg X-1                       
    308.1124  40.8796    3.5   7.1   84.7   0.2941   3.3    4.4	Cyg X-3                       
    326.1304  38.4697    6.1  19.8   54.9   0.1989   1.9    9.1	Cyg X-2                       
    290.0999  15.0120    2.5  32.3  152.0   0.6038   4.7 ------	UNKNOWN                       
    298.8702  32.1463    1.8  13.9  139.9   0.6244   6.5 ------	UNKNOWN                       
    300.7821  49.8564    2.5   3.9  -52.9   0.4038   4.6 ------	UNKNOWN                       
    248.4114  10.8128    2.3  56.8 -159.2   2.1315   5.0 ------	UNKNOWN                       
    281.7191  81.6451    3.1  36.2  -53.2   0.5373   3.7 ------	UNKNOWN                       
    228.5486  71.3576    2.5  41.6  -75.8   2.0917   4.7 ------	UNKNOWN                       
    
    Plot creation:
    Mon Feb 15 18:17:30 EST 2010