batgrbproduct Analysis for Trigger=361477

Analysis Summary

Notes:

======================================================================
                  BAT GRB EVENT DATA PROCESSING REPORT
    Process Script Ver: batgrbproduct v2.45
    Process Start Time (local time): Tue Sep  1 10:15:02 EDT 2009
             Host Name: gcn5
   Current Working Dir: /local/data/raid16/prebascript_archive/trigger361477/GCN5_download_cron
======================================================================

  Trigger: 00361477      Segment: 000

  BAT Trigger Time: 273434480   [s; MET]
      Trigger Stop: 273434544   [s; MET]
               UTC: 2009-08-31T18:01:14.954320    [includes UTCF correction] 
       Where From?: TDRSS position message

  BAT 
    RA: 3.61933233536793   Dec: 27.9699939670182  [deg; J2000]

     Catalogged Source?: NO
     Point Source?:      YES
     GRB Indicated?:     YES    [ by BAT flight software ]
     Image S/N Ratio:    7.3
     Image Trigger?:     YES
     Rate S/N Ratio:     0  [ if not an image trigger ]
     Image S/N Ratio:    7.3

  Flight Position:   [ source = BAT ]
    RA: 3.61933233536793   Dec: 27.9699939670182  [deg; J2000]

  Ground Position:   [ source = BAT pre-slew burst ]
    RA: 3.7004967008081   Dec: 27.9339719013388  [deg; J2000]  
        { 00h 14m 48.1s , +27d 56' 02.3" }
         +/- 5.17730139096234 [arcmin] (estimated 90% radius based on SNR)
         +/- 3.00530780505395 [arcmin] (formal 1-sigma fit error)
    SNR: 2.90382605408681
 
  Angular difference between Flight and Ground position is 4.814182 arcmin
 
  Partial Coding Fraction: 0.9453125    [ including projection effects ]

  Duration
     T90: 64 +/- 
        Measured from: 0
                   to: 64     [s; relative to TRIGTIME]
     T50: 64 +/- 
        Measured from: 0
                   to: 64     [s; relative to TRIGTIME]

    WARNING: battblocks failed.  Used TDRSS fore/background intervals

  Fluence
     Peak Flux  (peak 64 second)
        Measured from: 0     
                   to: 64     [s; relative to TRIGTIME]
     Total Fluence        
        Measured from: 0     
                   to: 64     [s; relative to TRIGTIME]
     
             Band 1     Band 2     Band 3     Band 4
              15-25      25-50     50-100    100-350     keV
 Total     0.141075   0.162539   0.023348  -0.080443
           0.041042   0.042661   0.037292   0.031831 [error]
 Peak      0.141075   0.162539   0.023348  -0.080443
           0.041042   0.042661   0.037292   0.031831 [error]

     [ fluence units of on-axis counts / fully illuminated detector ] 

======================================================================
 
=== Fluence/Peak Flux Summary ===
 
              Model    Band1    Band2    Band3    Band4    Band5    Total      
                       15-25    25-50   50-100  100-350   15-150   15-350   keV
Fluence   Power-law 3.79e-08 4.82e-08 4.48e-08 7.32e-08 1.56e-07 2.02e-07   erg/cm2
              Error 1.61e-08 1.84e-08 2.65e-08 9.02e-08 6.86e-08 1.20e-07   erg/cm2
Peak flux Power-law 1.83e-02 1.33e-02 6.37e-03 4.32e-03 4.01e-02 4.24e-02   ph/cm2/s
              Error 8.00e-03 5.11e-03 3.65e-03 4.97e-03 1.52e-02 1.64e-02   ph/cm2/s
 
Fluence   Cutoff-PL 3.32e-08 8.00e-08 2.98e-08 6.28e-10 1.44e-07 1.44e-07   erg/cm2
              Error 1.71e-08 2.70e-08 3.44e-08 7.55e-09 5.35e-08 5.37e-08   erg/cm2
Peak flux Cutoff-PL 1.56e-02 2.25e-02 4.69e-03 4.80e-05 4.29e-02 4.29e-02   ph/cm2/s
              Error 7.80e-03 7.38e-03 5.13e-03 5.47e-04 1.38e-02 1.38e-02   ph/cm2/s
 
Fluence        Band 0.00e+00 0.00e+00 0.00e+00 0.00e+00 0.00e+00 0.00e+00   erg/cm2
              Error 0.00e+00 0.00e+00 0.00e+00 0.00e+00 0.00e+00 0.00e+00   erg/cm2
Peak flux      Band 4.42e-02 0.00e+00 0.00e+00 0.00e+00 0.00e+00 0.00e+00   ph/cm2/s
              Error 0.00e+00 0.00e+00 0.00e+00 0.00e+00 0.00e+00 0.00e+00   ph/cm2/s
 
=== Time-averaged spectral analysis ===
 
Model Ph_index Ph_90err Epeak  Epeak_90err Norm     Nomr_90err chi2   dof
PL    2.103    0.555    -      -           2.62e-04 1.23e-04   85.450 57
CPL  -1.976    0.331      36.3   10.6      9.11e-02 3.24e+00   77.260 56
 
 
=== 1-s peak spectral analysis ===
 
Model Ph_index Ph_90err Epeak  Epeak_90err Norm     Nomr_90err chi2   dof
PL    2.058    0.548    -      -           2.60e-04 1.22e-04   87.930 57
CPL  -2.115    0.234      36.7   10.3      1.05e-01 3.03e+00   79.050 56
 
Model      : spectral model: simple power-law (PL) and cutoff power-law (CPL)
Ph_index   : photon index: E^-{Ph_index} (minus sign is not included in the index)
Ph_90err   : 90% error of the photon index
Epeak      : Epeak in keV
Epeak_90err: 90% error of Epeak
Norm       : normalization at 50 keV in PL model and at 1 keV in CPL model
Nomr_90err : 90% error of the normalization
chi2       : Chi-Squared
dof        : degree of freedom
 
=== T90/T50 calculation in the 50-300 keV band (BATSE band) using 64 ms lc ===
 
T90 in the 50-300 keV band: 0.000000 sec.
T50 in the 50-300 keV band: 0.000000 sec.
 
=== Table of the duration information ==
 
        Value   tstart    tstop
T100   64.000    0.000   64.000
T90    64.000    0.000   64.000
T50    64.000    0.000   64.000
Peak   64.000    0.000   64.000
  • Click here for the BAT GCN circular template

    Image

    Pre-slew 15-350 keV image (Event data; bkg subtracted)

    #   RAcent  DECcent POSerr  Theta    Phi     Peak Cts     SNR  Name
        3.7005 +27.9340 0.0658   22.1  -26.6       0.2401     2.9  TRIG_00361477       
    ------------------------------------------
     
    Foreground time interval of the image:
      0.000  64.000 (delta_t =  64.000 [sec])
    Background time interval of the image:
    

    Lightcurves

    Notes:

    1 s binning

    From T0-310 s to T0+310 s
    From T100_start - 20 s to T100_end + 30 s
    Full time interval

    64 ms binning

    Full time interval
    From T100_start to T100_end
    From T0-5 sec to T0+5 sec

    16 ms binning

    From T100_start-5 s to T100_start+5 s
    Blue+Cyan dotted lines: Time interval of the scaled map
    From 0.000000 to 64.000000
    

    8 ms binning

    From T100_start-3 s to T100_start+3 s
    Blue+Cyan dotted lines: Time interval of the scaled map
    From 0.000000 to 64.000000
    

    2 ms binning

    From T100_start-1 s to T100_start+1 s
    Blue+Cyan dotted lines: Time interval of the scaled map
    From 0.000000 to 64.000000
    

    SN=5 or 10 sec. binning (whichever binning is satisfied first)

    SN=5 or 10 sec. binning (T < 200 sec)

    Flight mask-tagged light curves

    Caution: Mask-weight map is always using the same on-axis map

    Quad-rate summed light curves (from T0-300 to T0+1000)

    Spectra

    Notes:

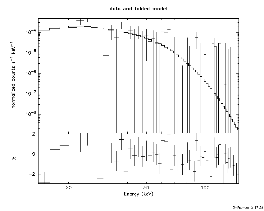
    Time averaged spectrum fit using the pre-slew DRM

    Power-law model
    Time interval is from    0.000 sec. to   64.000 sec.
     
    Spectral model in power-law:
    ------------------------------------------------------------
    Parameters  : value       lower 90%   higher 90%
    Photon index: 2.10340     ( -0.503901   0.60549 )
    Norm@50keV  : 2.62152E-04    ( -0.000120902   0.000124645 )
    ------------------------------------------------------------
    # Chi-Squared =          85.45 using 59 PHA bins.
    # Reduced chi-squared =          1.499 for     57 degrees of freedom 
    # Null hypothesis probability =   8.699021e-03
     
    Photon flux (15-150 keV)    in 64 sec: 4.13065E-02 ( -0.0154041  0.0153933 ) ph/cm2/s
    Energy fluence (15-150 keV)             : 1.55779e-07 ( -6.53158e-08  7.18502e-08 ) ergs/cm2
     
    
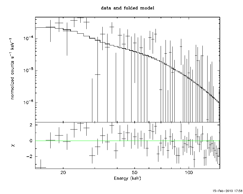
    Cutoff power-law model
    Time interval is from    0.000 sec. to   64.000 sec.
    Spectral model in the cutoff power-law:
    ------------------------------------------------------------
    Parameters  : value       lower 90%   higher 90%
    Photon index: -1.97557     ( 2.01116   2.67282 )
    Epeak [keV] : 36.3435      ( -8.97092 12.1714 )
    Norm@50keV  : 9.11345E-02    ( -0.104091   6.38285 )
    ------------------------------------------------------------
    # Chi-Squared =          77.26 using 59 PHA bins.
    # Reduced chi-squared =          1.380 for     56 degrees of freedom 
    # Null hypothesis probability =   3.136974e-02
     
    Photon flux (15-150 keV)    in 64 sec: 4.35003E-02 ( -0.0138526  0.0143428 ) ph/cm2/s
    Energy fluence (15-150 keV)             : 1.43735e-07 ( -4.9264e-08  5.77267e-08 ) ergs/cm2
     
    
    Band function
    Time interval is from    0.000 sec. to   64.000 sec.
     
    Spectral model in the Band function:
    ------------------------------------------------------------
    Parameters  : value       lower 90%   higher 90%
    alpha       : 1.97712   ( -2.20427   -1.51848 )
    beta        : -9.99986    ( 23337.6   23347.6 )
    Epeak [keV] : 36.0712      ( -8.76242 12.407 )
    Norm@50keV   : 9.40552E-02    ( -0.0973693   3.52383 )
    ------------------------------------------------------------
    # Chi-Squared =          77.27 using 59 PHA bins.
    # Reduced chi-squared =          1.405 for     55 degrees of freedom 
    # Null hypothesis probability =   2.550218e-02
     
    Photon flux (15-150 keV)    in 64 sec:  (    ) ph/cm2/s
    Energy fluence (15-150 keV)             : 0 ( 0  0 ) ergs/cm2
     
    

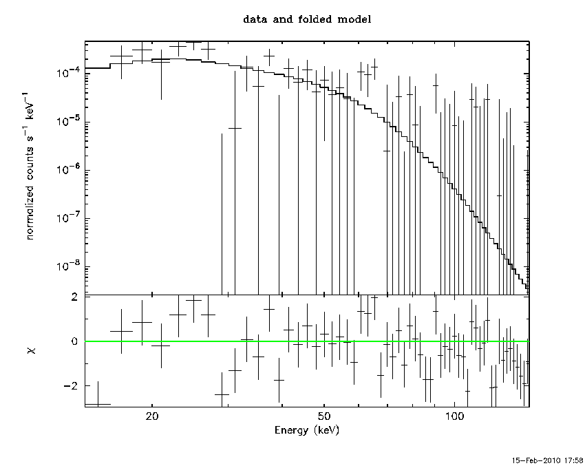
    Peak spectrum fit

    Power-law model
    Time interval is from    0.000 sec. to   64.000 sec.
     
    Spectral model in power-law:
    ------------------------------------------------------------
    Parameters  : value       lower 90%   higher 90%
    Photon index: 2.05828     ( -0.499383   0.595751 )
    Norm@50keV  : 2.59868E-04    ( -0.000119943   0.000123681 )
    ------------------------------------------------------------
    # Chi-Squared =          87.93 using 59 PHA bins.
    # Reduced chi-squared =          1.543 for     57 degrees of freedom 
    # Null hypothesis probability =   5.317044e-03
     
    Photon flux (15-150 keV)    in 64 sec: 4.00575E-02 ( -0.0152014  0.0151859 ) ph/cm2/s
    Energy fluence (15-150 keV)             : 1.53835e-07 ( -6.55398e-08  7.192e-08 ) ergs/cm2
     
    
    Cutoff power-law model
    Time interval is from    0.000 sec. to   64.000 sec.
    Spectral model in the cutoff power-law:
    ------------------------------------------------------------
    Parameters  : value       lower 90%   higher 90%
    Photon index: -2.11537     ( 2.16669   2.63523 )
    Epeak [keV] : 36.7306      ( -8.91509 11.7789 )
    Norm@50keV  : 0.105205    ( -0.12774   5.9323 )
    ------------------------------------------------------------
    # Chi-Squared =          79.05 using 59 PHA bins.
    # Reduced chi-squared =          1.412 for     56 degrees of freedom 
    # Null hypothesis probability =   2.294774e-02
     
    Photon flux (15-150 keV)    in 64 sec: 4.29132E-02 ( -0.0134976  0.0140983 ) ph/cm2/s
    Energy fluence (15-150 keV)             : 1.42488e-07 ( -4.79712e-08  5.7193e-08 ) ergs/cm2
     
    
    Band function
    Time interval is from    0.000 sec. to   64.000 sec.
     
    Spectral model in the Band function:
    ------------------------------------------------------------
    Parameters  : value       lower 90%   higher 90%
    alpha       : 2.26661   ( -2.25427   -1.73465 )
    beta        : -9.99983    ( 18633.8   18643.8 )
    Epeak [keV] : 36.3858      ( -8.62816 12.2245 )
    Norm@50keV   : 0.134920    ( -0.165028   3.27034 )
    ------------------------------------------------------------
    # Chi-Squared =          79.04 using 59 PHA bins.
    # Reduced chi-squared =          1.437 for     55 degrees of freedom 
    # Null hypothesis probability =   1.852151e-02
     
    Photon flux (15-150 keV)    in 64 sec:  (    ) ph/cm2/s
    Energy fluence (15-150 keV)             : 0 ( 0  0 ) ergs/cm2
     
    

    Pre-slew spectrum (Pre-slew PHA with pre-slew DRM)

    Power-law model
     
    Spectral model in power-law:
    ------------------------------------------------------------
    Parameters  : value       lower 90%   higher 90%
    Photon index: 2.10340     ( -0.503901   0.60549 )
    Norm@50keV  : 2.62152E-04    ( -0.000120902   0.000124645 )
    ------------------------------------------------------------
    # Chi-Squared =          85.45 using 59 PHA bins.
    # Reduced chi-squared =          1.499 for     57 degrees of freedom 
    # Null hypothesis probability =   8.699021e-03
     
    Photon flux (15-150 keV)    in 64 sec: 4.13065E-02 ( -0.0154041  0.0153933 ) ph/cm2/s
    Energy fluence (15-150 keV)             : 1.55779e-07 ( -6.53158e-08  7.18502e-08 ) ergs/cm2
     
    
    Cutoff power-law model
    Spectral model in the cutoff power-law:
    ------------------------------------------------------------
    Parameters  : value       lower 90%   higher 90%
    Photon index: -1.97557     ( 2.01116   2.67282 )
    Epeak [keV] : 36.3435      ( -8.97092 12.1714 )
    Norm@50keV  : 9.11345E-02    ( -0.104091   6.38307 )
    ------------------------------------------------------------
    # Chi-Squared =          77.26 using 59 PHA bins.
    # Reduced chi-squared =          1.380 for     56 degrees of freedom 
    # Null hypothesis probability =   3.136974e-02
     
    Photon flux (15-150 keV)    in 64 sec: 4.35003E-02 ( -0.0138526  0.0143428 ) ph/cm2/s
    Energy fluence (15-150 keV)             : 1.43735e-07 ( -4.9264e-08  5.77267e-08 ) ergs/cm2
     
    
    Band function
     
    Spectral model in the Band function:
    ------------------------------------------------------------
    Parameters  : value       lower 90%   higher 90%
    alpha       : 1.97712   ( -2.20427   -1.51848 )
    beta        : -9.99986    ( 23337.6   23347.6 )
    Epeak [keV] : 36.0712      ( -8.76242 12.407 )
    Norm@50keV   : 9.40552E-02    ( -0.0973693   3.52536 )
    ------------------------------------------------------------
    # Chi-Squared =          77.27 using 59 PHA bins.
    # Reduced chi-squared =          1.405 for     55 degrees of freedom 
    # Null hypothesis probability =   2.550218e-02
     
    Photon flux (15-150 keV)    in 64 sec:  (    ) ph/cm2/s
    Energy fluence (15-150 keV)             : 0 ( 0  0 ) ergs/cm2
     
    

    S(25-50 keV) vs. S(50-100 keV) plot

    S(25-50 keV)  = 4.82473e-08
    S(50-100 keV) = 4.48446e-08
    

    T90 vs. Hardness ratio plot

    T90                                   = 64 sec.
    Hardness ratio (energy fluence ratio) = 0.929474
    

    Color vs. Color plot

    Count Ratio  (25-50 keV) / (15-25 keV) = 1.15215
    Count Ratio (50-100 keV) / (15-25 keV) = 0.165501
    

    Mask shadow pattern

    IMX = 0, IMY = 0
    

    TIME vs. PHA plot around the trigger time

    Blue+Cyan dotted lines: Time interval of the scaled map
    From 0.000000 to 64.000000
    

    TIME vs. DetID plot around the trigger time

    Blue+Cyan dotted lines: Time interval of the scaled map
    From 0.000000 to 64.000000
    

    100 us light curve (15-350 keV)

    Blue+Cyan dotted lines: Time interval of the scaled map
    From 0.000000 to 64.000000
    

    Spacecraft aspect plot

    Bright source in the pre-burst/pre-slew/post-slew images

    Pre-burst image of 15-350 keV band

    Time interval of the image:
     
    

    Pre-slew background subtracted image of 15-350 keV band

    Time interval of the image:
    0.000000 64.000000
     
    # RAcent  DECcent POSerr Theta    Phi  PeakCts   SNR AngSep     Name
    #  [deg]    [deg]    ['] [deg]  [deg]                   [']
    288.7643  11.0331   19.3  53.3 -169.0   0.1467   0.6    5.6	GRS 1915+105                  
    299.6093  35.2014    0.7  43.4 -136.3   3.2139  17.4    0.9	Cyg X-1                       
    308.2578  40.8917    4.2  39.2 -124.5   0.4912   2.8    7.6	Cyg X-3                       
    326.3531  38.2776    8.6  26.8 -111.8   0.1414   1.3    8.9	Cyg X-2                       
    341.0138 -24.4641    3.5  40.7  102.6   1.0957   3.3 ------	UNKNOWN                       
    308.2376   8.0485    2.3  35.3 -179.8   0.5227   5.0 ------	UNKNOWN                       
    283.6861  23.3340    2.8  56.4 -153.3   1.7055   4.1 ------	UNKNOWN                       
    

    Post-slew image of 15-350 keV band

    Time interval of the image:
    132.400600 243.095000
     
    # RAcent  DECcent POSerr Theta    Phi  PeakCts   SNR AngSep     Name
    #  [deg]    [deg]    ['] [deg]  [deg]                   [']
    299.5807  35.2045    1.4  54.1  169.7   4.4366   8.2    0.5	Cyg X-1                       
    308.1255  40.9485    4.6  46.8  176.0   0.6073   2.5    0.7	Cyg X-3                       
    326.0865  38.2090    5.1  32.8  172.7   0.3198   2.3    7.9	Cyg X-2                       
     27.8356 -13.9189    1.8  48.0   22.3   1.9964   6.2 ------	UNKNOWN                       
    309.6499  33.6880    2.3  46.2  165.9   1.3219   5.1 ------	UNKNOWN                       
    333.5679  35.9291    2.1  26.6  169.8   0.6510   5.5 ------	UNKNOWN                       
    327.6617  75.3297    4.0  50.6 -136.4   1.5697   2.9 ------	UNKNOWN                       
    
    Plot creation:
    Mon Feb 15 17:59:32 EST 2010