batgrbproduct Analysis for Trigger=373172

Analysis Summary

Notes:

======================================================================
                  BAT GRB EVENT DATA PROCESSING REPORT
    Process Script Ver: batgrbproduct v2.46
    Process Start Time (local time): Sun Jan 19 13:35:36 EST 2014
             Host Name: batevent1
   Current Working Dir: /local/data/batevent/batevent_reproc/trigger373172
======================================================================

  Trigger: 00373172      Segment: 000

  BAT Trigger Time: 277591704.768   [s; MET]
      Trigger Stop: 277591705.024   [s; MET]
               UTC: 2009-10-18T20:48:19.585200    [includes UTCF correction] 
       Where From?: TDRSS position message

  BAT 
    RA: 32.2106435093656   Dec: -57.526501145527  [deg; J2000]

     Catalogged Source?: NO
     Point Source?:      YES
     GRB Indicated?:     YES    [ by BAT flight software ]
     Image S/N Ratio:    11.47
     Image Trigger?:     NO
     Rate S/N Ratio:     29.7153159162073  [ if not an image trigger ]
     Image S/N Ratio:    11.47

  Flight Position:   [ source = BAT ]
    RA: 32.2106435093656   Dec: -57.526501145527  [deg; J2000]

  Ground Position:   [ source = BAT pre-slew burst ]
    RA: 32.1911174548272   Dec: -57.5461837742416  [deg; J2000]  
        { 02h 08m 45.9s , -57d 32' 46.3" }
         +/- 0.605207853845408 [arcmin] (estimated 90% radius based on SNR)
         +/- 0.195793938013885 [arcmin] (formal 1-sigma fit error)
    SNR: 62.3280157415109
 
  Angular difference between Flight and Ground position is 1.337953 arcmin
 
  Partial Coding Fraction: 0.84375    [ including projection effects ]

  Duration
     T90: 4.36799991130829 +/- 0.597126457364303
        Measured from: 0.240000009536743
                   to: 4.60799992084503     [s; relative to TRIGTIME]
     T50: 1.55999994277954 +/- 0.078790888946051
        Measured from: 0.995999991893768
                   to: 2.55599993467331     [s; relative to TRIGTIME]



  Fluence
     Peak Flux  (peak 1 second)
        Measured from: 0.800000011920929     
                   to: 1.80000001192093     [s; relative to TRIGTIME]
     Total Fluence        
        Measured from: -0.26800000667572     
                   to: 7.74799996614456     [s; relative to TRIGTIME]
     
             Band 1     Band 2     Band 3     Band 4
              15-25      25-50     50-100    100-350     keV
 Total     1.303209   1.230202   0.484412   0.074576
           0.022100   0.022398   0.018385   0.016636 [error]
 Peak      0.446662   0.490489   0.204968   0.028382
           0.010884   0.011349   0.008530   0.006127 [error]

     [ fluence units of on-axis counts / fully illuminated detector ] 

======================================================================
 
=== Fluence/Peak Flux Summary ===
 
              Model    Band1    Band2    Band3    Band4    Band5    Total      
                       15-25    25-50   50-100  100-350   15-150   15-350   keV
Fluence   Power-law 4.34e-07 4.90e-07 3.97e-07 5.35e-07 1.52e-06 1.86e-06   erg/cm2
              Error 2.16e-08 1.40e-08 1.89e-08 5.38e-08 4.39e-08 7.03e-08   erg/cm2
Peak flux Power-law 5.06e+00 3.39e+00 1.48e+00 8.95e-01 1.04e+01 1.08e+01   ph/cm2/s
              Error 2.76e-01 1.14e-01 7.32e-02 8.71e-02 3.76e-01 3.73e-01   ph/cm2/s
 
Fluence   Cutoff-PL 3.99e-07 5.10e-07 3.88e-07 2.36e-07 1.43e-06 1.53e-06   erg/cm2
              Error 2.70e-08 1.70e-08 2.11e-08 8.97e-08 5.80e-08 1.12e-07   erg/cm2
Peak flux Cutoff-PL 4.40e+00 3.64e+00 1.49e+00 3.48e-01 9.80e+00 9.88e+00   ph/cm2/s
              Error 3.35e-01 1.41e-01 8.33e-02 1.04e-01 4.12e-01 4.33e-01   ph/cm2/s
 
Fluence        Band 3.76e-07 5.17e-07 3.76e-07 4.06e-07 1.44e-06 1.68e-06   erg/cm2
              Error 3.09e-08 1.82e-08 2.13e-08 7.95e-08 5.37e-08 9.86e-08   erg/cm2
Peak flux      Band -------- -------- -------- -------- -------- --------   ph/cm2/s
              Error -------- -------- -------- -------- -------- --------   ph/cm2/s
 
=== Time-averaged spectral analysis ===
 
Model Ph_index Ph_90err Epeak  Epeak_90err Norm     Nomr_90err chi2   dof
PL    2.305    0.062    -      -           1.98e-02 6.60e-04   52.810 57
CPL   1.758    0.235      19.4    0.0      3.90e-02 0.00e+00   40.100 56
 
 
=== 1-s peak spectral analysis ===
 
Model Ph_index Ph_90err Epeak  Epeak_90err Norm     Nomr_90err chi2   dof
PL    2.193    0.063    -      -           6.29e-02 2.36e-03   86.410 57
CPL   1.298    0.305      35.1    5.0      1.91e-01 7.44e-02   55.280 56
 
Model      : spectral model: simple power-law (PL) and cutoff power-law (CPL)
Ph_index   : photon index: E^-{Ph_index} (minus sign is not included in the index)
Ph_90err   : 90% error of the photon index
Epeak      : Epeak in keV
Epeak_90err: 90% error of Epeak
Norm       : normalization at 50 keV in PL model and at 1 keV in CPL model
Nomr_90err : 90% error of the normalization
chi2       : Chi-Squared
dof        : degree of freedom
 
=== T90/T50 calculation in the 50-300 keV band (BATSE band) using 64 ms lc ===
 
T90 in the 50-300 keV band: 3.776000 sec.
T50 in the 50-300 keV band: 1.216000 sec.
 
=== Table of the duration information ==
 
        Value   tstart    tstop
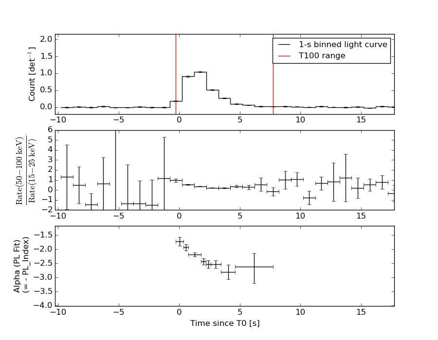
T100    8.016   -0.268    7.748
T90     4.368    0.240    4.608
T50     1.560    0.996    2.556
Peak    1.000    0.800    1.800
  • Click here for the BAT GCN circular template
  • Special notes of this burst

    Image

    Pre-slew 15.0-350.0 keV image (Event data)

    #   RAcent    DECcent   POSerr    Theta     Phi              Peak Cts       SNR   Name
       32.1911   -57.5462   0.0031    15.9048   107.0354         3.1889414     62.328 TRIG_00373172                 
     
    Foreground time interval of the image:
     -0.268   7.748 (delta_t =   8.016 [sec])
    Background time interval of the image:
    -194.467  -0.268 (delta_t = 194.199 [sec])
    

    Lightcurves

    Notes:

    1 s binning

    From T0-310 s to T0+310 s
    From T100_start - 20 s to T100_end + 30 s
    Full time interval

    64 ms binning

    Full time interval
    From T100_start to T100_end
    From T0-5 sec to T0+5 sec

    16 ms binning

    From T100_start-5 s to T100_start+5 s
    Blue+Cyan dotted lines: Time interval of the scaled map
    From 0.000000 to 0.256000
    

    8 ms binning

    From T100_start-3 s to T100_start+3 s
    Blue+Cyan dotted lines: Time interval of the scaled map
    From 0.000000 to 0.256000
    

    2 ms binning

    From T100_start-1 s to T100_start+1 s
    Blue+Cyan dotted lines: Time interval of the scaled map
    From 0.000000 to 0.256000
    

    SN=5 or 10 sec. binning (whichever binning is satisfied first)

    SN=5 or 10 sec. binning (T < 200 sec)

    Quad-rate summed light curves (from T0-300s to T0+1000s)

    Spectral Evolution

    Spectra

    Notes:

    Time averaged spectrum fit using the average DRM

    Power-law model
    Time interval is from   -0.268 sec. to    7.748 sec.
     
    Spectral model in power-law:
    ------------------------------------------------------------
    Parameters  : value       lower 90%   higher 90%
    Photon index: 2.30533     ( -0.0611911   0.0618704 )
    Norm@50keV  : 1.97914E-02    ( -0.000661361   0.000657676 )
    ------------------------------------------------------------
    #Fit statistic : Chi-Squared =          52.81 using 59 PHA bins.
    # Reduced chi-squared =         0.9264 for     57 degrees of freedom 
    # Null hypothesis probability =   6.330687e-01
     
    Photon flux (15-150 keV)    in 8.016 sec: 3.46900 ( -0.113261  0.113971 ) ph/cm2/s
    Energy fluence (15-150 keV)             : 1.51756e-06 ( -4.38419e-08  4.39008e-08 ) ergs/cm2
     
    
    Cutoff power-law model
    Time interval is from   -0.268 sec. to    7.748 sec.
    Spectral model in the cutoff power-law:
    ------------------------------------------------------------
    Parameters  : value       lower 90%   higher 90%
    Photon index: 1.75840     ( -0.291032   0.179915 )
    Epeak [keV] : 19.4251      (   )
    Norm@50keV  : 3.89934E-02    (     )
    ------------------------------------------------------------
    #Fit statistic : Chi-Squared =          40.10 using 59 PHA bins.
    # Reduced chi-squared =         0.7160 for     56 degrees of freedom 
    # Null hypothesis probability =   9.462677e-01
     
    Photon flux (15-150 keV)    in 8.016 sec: 3.31045 ( -0.13378  0.13476 ) ph/cm2/s
    Energy fluence (15-150 keV)             : 1.43431e-06 ( -5.77152e-08  5.82683e-08 ) ergs/cm2
     
    
    Band function
    Time interval is from   -0.268 sec. to    7.748 sec.
     
    Spectral model in the Band function:
    ------------------------------------------------------------
    Parameters  : value       lower 90%   higher 90%
    alpha       : -1.75851   ( -0.0536259   0.00715361 )
    beta        : -10.00000    ( 10   20 )
    Epeak [keV] : 19.4177      ( -2.22071 9.30414 )
    Norm@50keV   : 3.89771E-02    ( -0.00713032   0.0167889 )
    ------------------------------------------------------------
    #Fit statistic : Chi-Squared =          40.10 using 59 PHA bins.
    # Reduced chi-squared =         0.7290 for     55 degrees of freedom 
    # Null hypothesis probability =   9.343759e-01
     
    Photon flux (15-150 keV)    in 8.016 sec:  (    ) ph/cm2/s
    Energy fluence (15-150 keV)             : 1.43656e-06 ( -1.43651e-06  -5.3587e-08 ) ergs/cm2
     
    
    Single BB
     
    Spectral model blackbody:
    ------------------------------------------------------------
    Parameters  : value    Lower 90%  Upper 90%
    kT [keV]    : 9.81389  (  )
    R^2/D10^2   : 1.50306  (   )
    (R is the radius in km and D10 is the distance to the source in units of 10 kpc)
    ------------------------------------------------------------
    #Fit statistic : Chi-Squared =         229.68 using 59 PHA bins.
    # Reduced chi-squared =         4.0294 for     57 degrees of freedom 
    # Null hypothesis probability =   1.372567e-22
     
    Energy  Fluence     90% Error
    [keV]   [erg/cm2]   [erg/cm2]
    15- 25  2.348e-07   1.427e-08
    25- 50  5.682e-07   1.651e-08
    50-150  2.808e-07   2.232e-08
    15-150  1.084e-06   3.327e-08
    
    Thermal bremsstrahlung (OTTB)
     
     
    Spectral model: thermal bremsstrahlung
    ------------------------------------------------------------
    Parameters  : value         Lower 90%    Upper 90%
    kT [keV]    : 47.9516       (-3.60342      4.0539)
    Norm        : 19.0024       (-1.17942     1.26774)
    ------------------------------------------------------------
    #Fit statistic : Chi-Squared =          45.52 using 59 PHA bins.
    # Reduced chi-squared =         0.7986 for     57 degrees of freedom 
    # Null hypothesis probability =   8.629878e-01
     
    Energy  Fluence     90% Error
    [keV]   [erg/cm2]   [erg/cm2]
    15- 25  3.688e-07   1.707e-08
    25- 50  5.216e-07   1.571e-08
    50-150  4.866e-07   3.603e-08
    15-150  1.377e-06   3.968e-08
    
    Double BB
     
     
    Spectral model: bbodyrad<1> + bbodyrad<2>
    ------------------------------------------------------------
    Parameters  : value         Lower 90%    Upper 90%
    kT1 [keV]   : 6.24685        (-0.589113      0.583589)
    R1^2/D10^2  : 7.12502        (-1.99636      3.24565)
    kT2 [keV]   : 19.2073        (-2.37022      3.1557)
    R2^2/D10^2  : 6.38393E-02    (-0.0302914   0.0505348)
    ------------------------------------------------------------
    #Fit statistic : Chi-Squared =          42.37 using 59 PHA bins.
    # Reduced chi-squared =         0.7703 for     55 degrees of freedom 
    # Null hypothesis probability =   8.937030e-01
     
    Energy  Fluence     90% Error
    [keV]   [erg/cm2]   [erg/cm2]
    15- 25  3.501e-07   3.154e-08
    25- 50  5.196e-07   3.182e-08
    50-150  5.234e-07   8.461e-08
    15-150  1.393e-06   1.355e-07
    

    Peak spectrum fit

    Power-law model
    Time interval is from    0.800 sec. to    1.800 sec.
     
    Spectral model in power-law:
    ------------------------------------------------------------
    Parameters  : value       lower 90%   higher 90%
    Photon index: 2.19323     ( -0.0626933   0.0635088 )
    Norm@50keV  : 6.29420E-02    ( -0.0023644   0.00235209 )
    ------------------------------------------------------------
    #Fit statistic : Chi-Squared =          86.41 using 59 PHA bins.
    # Reduced chi-squared =          1.516 for     57 degrees of freedom 
    # Null hypothesis probability =   7.216812e-03
     
    Photon flux (15-150 keV)    in 1 sec: 10.3833 ( -0.375614  0.3769 ) ph/cm2/s
    Energy fluence (15-150 keV)             : 5.91229e-07 ( -2.0192e-08  2.02247e-08 ) ergs/cm2
     
    
    Cutoff power-law model
    Time interval is from    0.800 sec. to    1.800 sec.
    Spectral model in the cutoff power-law:
    ------------------------------------------------------------
    Parameters  : value       lower 90%   higher 90%
    Photon index: 1.29822     ( -0.315514   0.293489 )
    Epeak [keV] : 35.0618      ( -5.92761 4.09311 )
    Norm@50keV  : 0.191167    ( -0.057644   0.0911828 )
    ------------------------------------------------------------
    #Fit statistic : Chi-Squared =          55.28 using 59 PHA bins.
    # Reduced chi-squared =         0.9871 for     56 degrees of freedom 
    # Null hypothesis probability =   5.021020e-01
     
    Photon flux (15-150 keV)    in 1 sec: 9.80057 ( -0.41074  0.41273 ) ph/cm2/s
    Energy fluence (15-150 keV)             : 5.50153e-07 ( -2.3339e-08  2.3522e-08 ) ergs/cm2
     
    
    Band function
    Time interval is from    0.800 sec. to    1.800 sec.
     
    Spectral model in the Band function:
    ------------------------------------------------------------
    Parameters  : value       lower 90%   higher 90%
    alpha       : -1.29814   ( -0.133296   0.201519 )
    beta        : -10.00000    ( 10   1.61471e-11 )
    Epeak [keV] : 35.0550      ( -2.8793 3.27436 )
    Norm@50keV   : 0.191165    ( -0.0392728   0.0912989 )
    ------------------------------------------------------------
    #Fit statistic : Chi-Squared =          55.28 using 59 PHA bins.
    # Reduced chi-squared =          1.005 for     55 degrees of freedom 
    # Null hypothesis probability =   4.641126e-01
     
    Photon flux (15-150 keV)    in 1 sec:  (    ) ph/cm2/s
    Energy fluence (15-150 keV)             : 5.5608e-07 ( -5.56073e-07  -2.2476e-08 ) ergs/cm2
     
    
    Single BB
     
    Spectral model blackbody:
    ------------------------------------------------------------
    Parameters  : value    Lower 90%  Upper 90%
    kT [keV]    : 10.3076  (  )
    R^2/D10^2   : 3.98274  (   )
    (R is the radius in km and D10 is the distance to the source in units of 10 kpc)
    ------------------------------------------------------------
    #Fit statistic : Chi-Squared =         187.52 using 59 PHA bins.
    # Reduced chi-squared =         3.2899 for     57 degrees of freedom 
    # Null hypothesis probability =   7.949547e-16
     
    Energy  Fluence     90% Error
    [keV]   [erg/cm2]   [erg/cm2]
    15- 25  8.701e-08   5.140e-09
    25- 50  2.257e-07   8.800e-09
    50-150  1.285e-07   1.035e-08
    15-150  4.412e-07   1.490e-08
    
    Thermal bremsstrahlung (OTTB)
     
     
    Spectral model: thermal bremsstrahlung
    ------------------------------------------------------------
    Parameters  : value         Lower 90%    Upper 90%
    kT [keV]    : 54.9126       (-4.81783      5.24733)
    Norm        : 55.1752       (-3.4837     3.25684)
    ------------------------------------------------------------
    #Fit statistic : Chi-Squared =          55.06 using 59 PHA bins.
    # Reduced chi-squared =         0.9659 for     57 degrees of freedom 
    # Null hypothesis probability =   5.483756e-01
     
    Energy  Fluence     90% Error
    [keV]   [erg/cm2]   [erg/cm2]
    15- 25  1.365e-07   7.250e-09
    25- 50  2.019e-07   6.850e-09
    50-150  2.130e-07   1.400e-08
    15-150  5.514e-07   1.800e-08
    
    Double BB
     
     
    Spectral model: bbodyrad<1> + bbodyrad<2>
    ------------------------------------------------------------
    Parameters  : value         Lower 90%    Upper 90%
    kT1 [keV]   : 6.38001        (-0.675961      0.697058)
    R1^2/D10^2  : 18.6976        (-5.62022      9.19938)
    kT2 [keV]   : 18.3831        (-2.1569      2.94434)
    R2^2/D10^2  : 0.253449    (-0.123118   0.196818)
    ------------------------------------------------------------
    #Fit statistic : Chi-Squared =          51.52 using 59 PHA bins.
    # Reduced chi-squared =         0.9367 for     55 degrees of freedom 
    # Null hypothesis probability =   6.085091e-01
     
    Energy  Fluence     90% Error
    [keV]   [erg/cm2]   [erg/cm2]
    15- 25  1.269e-07   1.340e-08
    25- 50  2.049e-07   2.085e-08
    50-150  2.119e-07   3.705e-08
    15-150  5.437e-07   6.380e-08
    

    Pre-slew spectrum (Pre-slew PHA with pre-slew DRM)

    Power-law model
     
    Spectral model in power-law:
    ------------------------------------------------------------
    Parameters  : value       lower 90%   higher 90%
    Photon index: 2.30533     ( -0.0611911   0.0618704 )
    Norm@50keV  : 1.97914E-02    ( -0.000661361   0.000657676 )
    ------------------------------------------------------------
    #Fit statistic : Chi-Squared =          52.81 using 59 PHA bins.
    # Reduced chi-squared =         0.9264 for     57 degrees of freedom 
    # Null hypothesis probability =   6.330687e-01
     
    Photon flux (15-150 keV)    in 8.016 sec: 3.46900 ( -0.113261  0.113971 ) ph/cm2/s
    Energy fluence (15-150 keV)             : 1.51756e-06 ( -4.38419e-08  4.39008e-08 ) ergs/cm2
     
    
    Cutoff power-law model
    Spectral model in the cutoff power-law:
    ------------------------------------------------------------
    Parameters  : value       lower 90%   higher 90%
    Photon index: 1.75840     ( -0.291032   0.179915 )
    Epeak [keV] : 19.4251      (   )
    Norm@50keV  : 3.89934E-02    (     )
    ------------------------------------------------------------
    #Fit statistic : Chi-Squared =          40.10 using 59 PHA bins.
    # Reduced chi-squared =         0.7160 for     56 degrees of freedom 
    # Null hypothesis probability =   9.462677e-01
     
    Photon flux (15-150 keV)    in 8.016 sec: 3.31045 ( -0.13378  0.13476 ) ph/cm2/s
    Energy fluence (15-150 keV)             : 1.43431e-06 ( -5.77152e-08  5.82683e-08 ) ergs/cm2
     
    
    Band function
     
    Spectral model in the Band function:
    ------------------------------------------------------------
    Parameters  : value       lower 90%   higher 90%
    alpha       : -1.75851   ( -0.0536259   0.00715361 )
    beta        : -10.00000    ( 10   5.32907e-15 )
    Epeak [keV] : 19.4177      ( -2.22071 9.30414 )
    Norm@50keV   : 3.89771E-02    ( -0.00713032   0.0167889 )
    ------------------------------------------------------------
    #Fit statistic : Chi-Squared =          40.10 using 59 PHA bins.
    # Reduced chi-squared =         0.7290 for     55 degrees of freedom 
    # Null hypothesis probability =   9.343759e-01
     
    Photon flux (15-150 keV)    in 8.016 sec:  (    ) ph/cm2/s
    Energy fluence (15-150 keV)             : 1.43656e-06 ( -1.43651e-06  -5.3587e-08 ) ergs/cm2
     
    

    S(25-50 keV) vs. S(50-100 keV) plot

    S(25-50 keV)  = 4.90e-07
    S(50-100 keV) = 3.97e-07
    

    T90 vs. Hardness ratio plot

    T90                                   = 4.36799991130829 sec.
    Hardness ratio (energy fluence ratio) = 0.810204
    

    Color vs. Color plot

    Count Ratio  (25-50 keV) / (15-25 keV) = 0.943979
    Count Ratio (50-100 keV) / (15-25 keV) = 0.371707
    

    Mask shadow pattern

    IMX = -8.347940129779462E-02, IMY = -2.724465592529742E-01
    

    TIME vs. PHA plot around the trigger time

    Blue+Cyan dotted lines: Time interval of the scaled map
    From 0.000000 to 0.256000
    

    TIME vs. DetID plot around the trigger time

    Blue+Cyan dotted lines: Time interval of the scaled map
    From 0.000000 to 0.256000
    

    100 us light curve (15-350 keV)

    Blue+Cyan dotted lines: Time interval of the scaled map
    From 0.000000 to 0.256000
    

    Spacecraft aspect plot

    Bright source in the pre-burst/pre-slew/post-slew images

    Pre-burst image of 15-350 keV band

    Time interval of the image:
    -194.467410 -0.268000
     
    # RAcent  DECcent POSerr Theta    Phi  PeakCts   SNR AngSep     Name
    #  [deg]    [deg]    ['] [deg]  [deg]                   [']
    124.4538 -38.3966    4.4  59.1 -166.2   3.2210   2.6 ------	UNKNOWN                       
    

    Pre-slew background subtracted image of 15-350 keV band

    Time interval of the image:
    -0.268000 7.748000
     
    # RAcent  DECcent POSerr Theta    Phi  PeakCts   SNR AngSep     Name
    #  [deg]    [deg]    ['] [deg]  [deg]                   [']
     32.1911 -57.5462    0.2  15.9  107.0   3.1890  62.3 ------	UNKNOWN                       
    323.4794 -32.2878    2.6  48.2    9.7   0.4774   4.5 ------	UNKNOWN                       
    209.6002 -66.6184    3.2  41.1  -97.9   0.6566   3.6 ------	UNKNOWN                       
    

    Post-slew image of 15-350 keV band

    Time interval of the image:
    49.932600 962.283400
     
    # RAcent  DECcent POSerr Theta    Phi  PeakCts   SNR AngSep     Name
    #  [deg]    [deg]    ['] [deg]  [deg]                   [']
    322.2071 -42.6595    2.6  45.0   -3.1   4.0582   4.4 ------	UNKNOWN                       
    107.9095 -28.0875    3.6  59.1 -166.2  11.7139   3.2 ------	UNKNOWN                       
    
    Plot creation:
    Sun May 31 02:51:05 EDT 2015