batgrbproduct Analysis for Trigger=373679

Analysis Summary

Notes:

======================================================================
                  BAT GRB EVENT DATA PROCESSING REPORT
    Process Script Ver: batgrbproduct v2.45
    Process Start Time (local time): Sat Oct 24 17:49:10 EDT 2009
             Host Name: gcn5
   Current Working Dir: /local/data/raid16/prebascript_archive/trigger373679/GCN5_download_cron
======================================================================

  Trigger: 00373679      Segment: 000

  BAT Trigger Time: 278076344   [s; MET]
      Trigger Stop: 278076408   [s; MET]
               UTC: 2009-10-24T11:25:38.801040    [includes UTCF correction] 
       Where From?: TDRSS position message

  BAT 
    RA: 300.630369870914   Dec: 34.8540083617864  [deg; J2000]

     Catalogged Source?: NO
     Point Source?:      YES
     GRB Indicated?:     YES    [ by BAT flight software ]
     Image S/N Ratio:    13.11
     Image Trigger?:     YES
     Rate S/N Ratio:     0  [ if not an image trigger ]
     Image S/N Ratio:    13.11

  Flight Position:   [ source = BAT ]
    RA: 300.630369870914   Dec: 34.8540083617864  [deg; J2000]

  Ground Position:   [ source = BAT pre-slew burst ]
    RA: 300.62204285163   Dec: 34.8524745639275  [deg; J2000]  
        { 20h 02m 29.3s , +34d 51' 08.9" }
         +/- 1.66720430369253 [arcmin] (estimated 90% radius based on SNR)
         +/- 0.629235671437416 [arcmin] (formal 1-sigma fit error)
    SNR: 14.6551912522404
 
  Angular difference between Flight and Ground position is 0.420200 arcmin
 
  Partial Coding Fraction: 0.59375    [ including projection effects ]

  Duration
     T90: 64 +/- 
        Measured from: 0
                   to: 64     [s; relative to TRIGTIME]
     T50: 64 +/- 
        Measured from: 0
                   to: 64     [s; relative to TRIGTIME]

    WARNING: battblocks failed.  Used TDRSS fore/background intervals

  Fluence
     Peak Flux  (peak 64 second)
        Measured from: 0     
                   to: 64     [s; relative to TRIGTIME]
     Total Fluence        
        Measured from: 0     
                   to: 64     [s; relative to TRIGTIME]
     
             Band 1     Band 2     Band 3     Band 4
              15-25      25-50     50-100    100-350     keV
 Total     0.454323   0.666454   0.390380   0.104431
           0.051226   0.053745   0.049192   0.045695 [error]
 Peak      0.454323   0.666454   0.390380   0.104431
           0.051226   0.053745   0.049192   0.045695 [error]

     [ fluence units of on-axis counts / fully illuminated detector ] 

======================================================================
 
=== Fluence/Peak Flux Summary ===
 
              Model    Band1    Band2    Band3    Band4    Band5    Total      
                       15-25    25-50   50-100  100-350   15-150   15-350   keV
Fluence   Power-law 1.63e-07 2.68e-07 3.34e-07 8.28e-07 9.98e-07 1.59e-06   erg/cm2
              Error 2.37e-08 2.60e-08 4.75e-08 2.38e-07 1.13e-07 2.84e-07   erg/cm2
Peak flux Power-law 8.19e-02 7.44e-02 4.67e-02 4.48e-02 2.22e-01 2.48e-01   ph/cm2/s
              Error 1.15e-02 7.04e-03 6.34e-03 1.17e-02 2.09e-02 2.40e-02   ph/cm2/s
 
Fluence   Cutoff-PL 1.46e-07 3.05e-07 3.25e-07 1.68e-07 9.45e-07 0.00e+00   erg/cm2
              Error 2.71e-08 3.76e-08 5.93e-08 2.49e-07 0.00e+00 0.00e+00   erg/cm2
Peak flux Cutoff-PL 7.34e-02 8.45e-02 4.65e-02 1.22e-02 2.14e-01 2.17e-01   ph/cm2/s
              Error 1.31e-02 1.01e-02 7.74e-03 1.21e-02 2.15e-02 2.41e-02   ph/cm2/s
 
Fluence        Band 0.00e+00 0.00e+00 0.00e+00 0.00e+00 0.00e+00 0.00e+00   erg/cm2
              Error 0.00e+00 0.00e+00 0.00e+00 0.00e+00 0.00e+00 0.00e+00   erg/cm2
Peak flux      Band 0.00e+00 0.00e+00 0.00e+00 0.00e+00 0.00e+00 0.00e+00   ph/cm2/s
              Error 0.00e+00 0.00e+00 0.00e+00 0.00e+00 0.00e+00 0.00e+00   ph/cm2/s
 
=== Time-averaged spectral analysis ===
 
Model Ph_index Ph_90err Epeak  Epeak_90err Norm     Nomr_90err chi2   dof
PL    1.682    0.165    -      -           1.68e-03 1.80e-04   56.730 57
CPL   0.584    0.886      55.7   22.7      6.98e-03 1.27e-02   50.560 56
 
 
=== 1-s peak spectral analysis ===
 
Model Ph_index Ph_90err Epeak  Epeak_90err Norm     Nomr_90err chi2   dof
PL    1.672    0.159    -      -           1.69e-03 1.78e-04   57.980 57
CPL   0.585    0.852      55.7   21.8      7.01e-03 1.23e-02   51.460 56
 
Model      : spectral model: simple power-law (PL) and cutoff power-law (CPL)
Ph_index   : photon index: E^-{Ph_index} (minus sign is not included in the index)
Ph_90err   : 90% error of the photon index
Epeak      : Epeak in keV
Epeak_90err: 90% error of Epeak
Norm       : normalization at 50 keV in PL model and at 1 keV in CPL model
Nomr_90err : 90% error of the normalization
chi2       : Chi-Squared
dof        : degree of freedom
 
=== T90/T50 calculation in the 50-300 keV band (BATSE band) using 64 ms lc ===
 
T90 in the 50-300 keV band: 0.000000 sec.
T50 in the 50-300 keV band: 0.000000 sec.
 
=== Table of the duration information ==
 
        Value   tstart    tstop
T100   64.000    0.000   64.000
T90    64.000    0.000   64.000
T50    64.000    0.000   64.000
Peak   64.000    0.000   64.000
  • Click here for the BAT GCN circular template

    Image

    Pre-slew 15-350 keV image (Event data; bkg subtracted)

    #   RAcent  DECcent POSerr  Theta    Phi     Peak Cts     SNR  Name
      300.6220 +34.8525 0.0131   34.0 -142.7       1.6330    14.7  TRIG_00373679       
    ------------------------------------------
     
    Foreground time interval of the image:
      0.000  64.000 (delta_t =  64.000 [sec])
    Background time interval of the image:
    

    Lightcurves

    Notes:

    1 s binning

    From T0-310 s to T0+310 s
    From T100_start - 20 s to T100_end + 30 s
    Full time interval

    64 ms binning

    Full time interval
    From T100_start to T100_end
    From T0-5 sec to T0+5 sec

    16 ms binning

    From T100_start-5 s to T100_start+5 s
    Blue+Cyan dotted lines: Time interval of the scaled map
    From 0.000000 to 64.000000
    

    8 ms binning

    From T100_start-3 s to T100_start+3 s
    Blue+Cyan dotted lines: Time interval of the scaled map
    From 0.000000 to 64.000000
    

    2 ms binning

    From T100_start-1 s to T100_start+1 s
    Blue+Cyan dotted lines: Time interval of the scaled map
    From 0.000000 to 64.000000
    

    SN=5 or 10 sec. binning (whichever binning is satisfied first)

    SN=5 or 10 sec. binning (T < 200 sec)

    Flight mask-tagged light curves

    Caution: Mask-weight map is always using the same on-axis map

    Quad-rate summed light curves (from T0-300 to T0+1000)

    Spectra

    Notes:

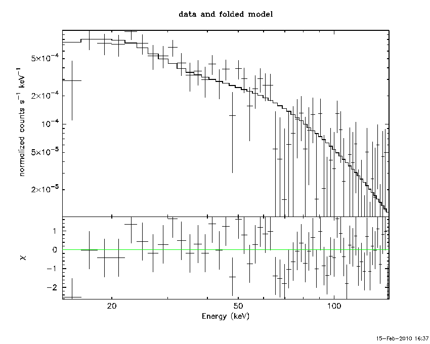
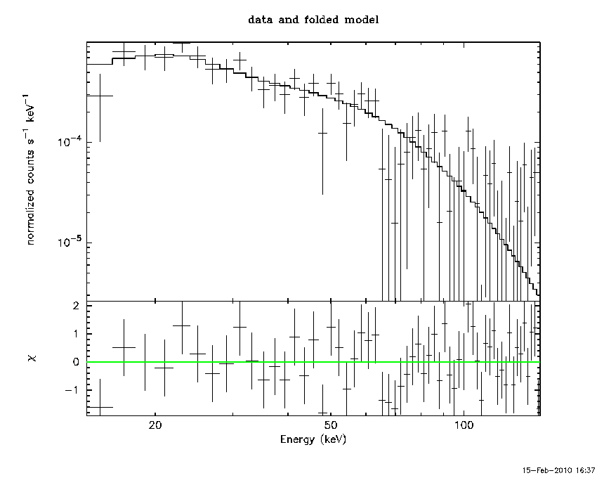
    Time averaged spectrum fit using the pre-slew DRM

    Power-law model
    Time interval is from    0.000 sec. to   64.000 sec.
     
    Spectral model in power-law:
    ------------------------------------------------------------
    Parameters  : value       lower 90%   higher 90%
    Photon index: 1.68177     ( -0.163158   0.167072 )
    Norm@50keV  : 1.68232E-03    ( -0.000180677   0.000178644 )
    ------------------------------------------------------------
    # Chi-Squared =          56.73 using 59 PHA bins.
    # Reduced chi-squared =         0.9953 for     57 degrees of freedom 
    # Null hypothesis probability =   4.849937e-01
     
    Photon flux (15-150 keV)    in 64 sec: 0.222027 ( -0.0215619  0.0215713 ) ph/cm2/s
    Energy fluence (15-150 keV)             : 9.98394e-07 ( -1.1242e-07  1.14172e-07 ) ergs/cm2
     
    
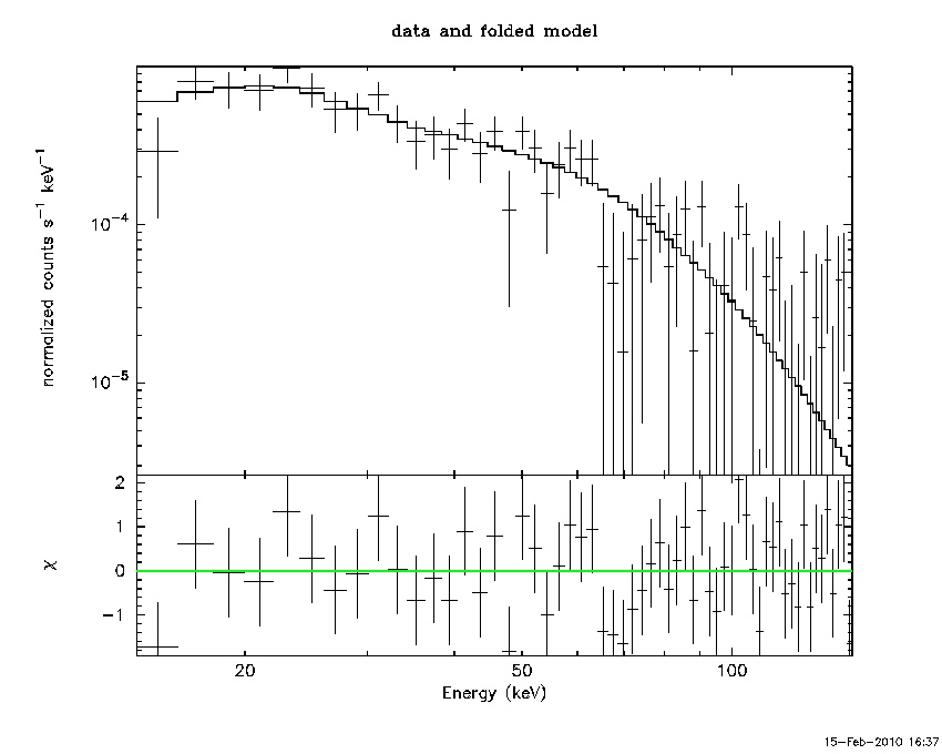
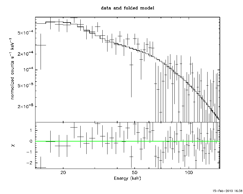
    Cutoff power-law model
    Time interval is from    0.000 sec. to   64.000 sec.
    Spectral model in the cutoff power-law:
    ------------------------------------------------------------
    Parameters  : value       lower 90%   higher 90%
    Photon index: 0.583963     ( -0.98965   0.782405 )
    Epeak [keV] : 55.7265      ( -10.5253 34.9264 )
    Norm@50keV  : 6.98161E-03    ( -0.00699346   0.0184609 )
    ------------------------------------------------------------
    # Chi-Squared =          50.56 using 59 PHA bins.
    # Reduced chi-squared =         0.9028 for     56 degrees of freedom 
    # Null hypothesis probability =   6.802311e-01
     
    Photon flux (15-150 keV)    in 64 sec: 0.213024 ( -0.022438  0.022459 ) ph/cm2/s
    Energy fluence (15-150 keV)             : 0 ( 0  0 ) ergs/cm2
     
    
    Band function
    Time interval is from    0.000 sec. to   64.000 sec.
     
    Spectral model in the Band function:
    ------------------------------------------------------------
    Parameters  : value       lower 90%   higher 90%
    alpha       : 2.27474   ( -3.15292   -2.14486 )
    beta        : -2.04517    ( 2.04517   0.318623 )
    Epeak [keV] : 32.9834      ( -9.00799 31.8354 )
    Norm@50keV   : 0.766720    ( -0.768333   34.1735 )
    ------------------------------------------------------------
    # Chi-Squared =          48.36 using 59 PHA bins.
    # Reduced chi-squared =         0.8792 for     55 degrees of freedom 
    # Null hypothesis probability =   7.246097e-01
     
    Photon flux (15-150 keV)    in 64 sec:  (    ) ph/cm2/s
    Energy fluence (15-150 keV)             : 0 ( 0  0 ) ergs/cm2
     
    

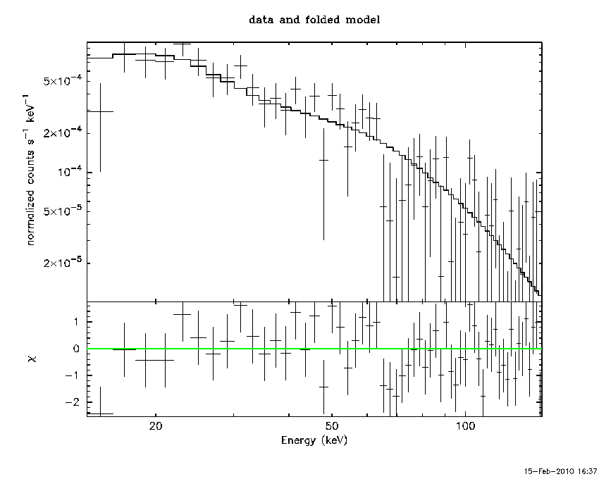
    Peak spectrum fit

    Power-law model
    Time interval is from    0.000 sec. to   64.000 sec.
     
    Spectral model in power-law:
    ------------------------------------------------------------
    Parameters  : value       lower 90%   higher 90%
    Photon index: 1.67214     ( -0.157152   0.161425 )
    Norm@50keV  : 1.68642E-03    ( -0.000178645   0.000176483 )
    ------------------------------------------------------------
    # Chi-Squared =          57.98 using 59 PHA bins.
    # Reduced chi-squared =          1.017 for     57 degrees of freedom 
    # Null hypothesis probability =   4.389169e-01
     
    Photon flux (15-150 keV)    in 64 sec: 0.221839 ( -0.0208592  0.0208618 ) ph/cm2/s
    Energy fluence (15-150 keV)             : 1.00168e-06 ( -1.11698e-07  1.13518e-07 ) ergs/cm2
     
    
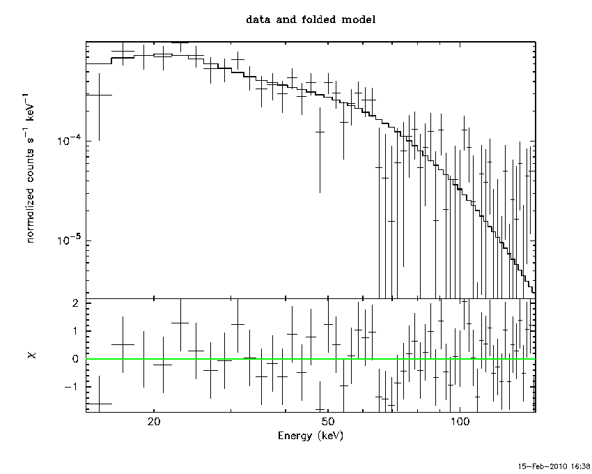
    Cutoff power-law model
    Time interval is from    0.000 sec. to   64.000 sec.
    Spectral model in the cutoff power-law:
    ------------------------------------------------------------
    Parameters  : value       lower 90%   higher 90%
    Photon index: 0.584826     ( -0.948847   0.75538 )
    Epeak [keV] : 55.6527      ( -10.4261 33.2108 )
    Norm@50keV  : 7.01118E-03    ( -0.00703335   0.0175934 )
    ------------------------------------------------------------
    # Chi-Squared =          51.46 using 59 PHA bins.
    # Reduced chi-squared =         0.9189 for     56 degrees of freedom 
    # Null hypothesis probability =   6.471919e-01
     
    Photon flux (15-150 keV)    in 64 sec: 0.213786 ( -0.02152  0.021554 ) ph/cm2/s
    Energy fluence (15-150 keV)             : 0 ( 0  0 ) ergs/cm2
     
    
    Band function
    Time interval is from    0.000 sec. to   64.000 sec.
     
    Spectral model in the Band function:
    ------------------------------------------------------------
    Parameters  : value       lower 90%   higher 90%
    alpha       : 2.04740   ( -3.02086   -2.02284 )
    beta        : -2.04290    ( -0.437715   0.315463 )
    Epeak [keV] : 33.2408      ( -9.49096 31.4617 )
    Norm@50keV   : 0.540671    ( -0.53695   37.146 )
    ------------------------------------------------------------
    # Chi-Squared =          49.27 using 59 PHA bins.
    # Reduced chi-squared =         0.8958 for     55 degrees of freedom 
    # Null hypothesis probability =   6.922504e-01
     
    Photon flux (15-150 keV)    in 64 sec:  (    ) ph/cm2/s
    Energy fluence (15-150 keV)             : 0 ( 0  0 ) ergs/cm2
     
    

    Pre-slew spectrum (Pre-slew PHA with pre-slew DRM)

    Power-law model
     
    Spectral model in power-law:
    ------------------------------------------------------------
    Parameters  : value       lower 90%   higher 90%
    Photon index: 1.68177     ( -0.163158   0.167072 )
    Norm@50keV  : 1.68232E-03    ( -0.000180677   0.000178644 )
    ------------------------------------------------------------
    # Chi-Squared =          56.73 using 59 PHA bins.
    # Reduced chi-squared =         0.9953 for     57 degrees of freedom 
    # Null hypothesis probability =   4.849937e-01
     
    Photon flux (15-150 keV)    in 64 sec: 0.222027 ( -0.0215619  0.0215713 ) ph/cm2/s
    Energy fluence (15-150 keV)             : 9.98394e-07 ( -1.1242e-07  1.14172e-07 ) ergs/cm2
     
    
    Cutoff power-law model
    Spectral model in the cutoff power-law:
    ------------------------------------------------------------
    Parameters  : value       lower 90%   higher 90%
    Photon index: 0.583963     ( -0.98965   0.782405 )
    Epeak [keV] : 55.7265      ( -10.5253 34.9264 )
    Norm@50keV  : 6.98161E-03    ( -0.00699346   0.0184609 )
    ------------------------------------------------------------
    # Chi-Squared =          50.56 using 59 PHA bins.
    # Reduced chi-squared =         0.9028 for     56 degrees of freedom 
    # Null hypothesis probability =   6.802311e-01
     
    Photon flux (15-150 keV)    in 64 sec: 0.213024 ( -0.022438  0.022459 ) ph/cm2/s
    Energy fluence (15-150 keV)             : 0 ( 0  0 ) ergs/cm2
     
    
    Band function
     
    Spectral model in the Band function:
    ------------------------------------------------------------
    Parameters  : value       lower 90%   higher 90%
    alpha       : 2.27474   ( -3.15292   -2.14486 )
    beta        : -2.04517    ( 2.04517   0.318623 )
    Epeak [keV] : 32.9834      ( -9.00799 31.8354 )
    Norm@50keV   : 0.766720    ( -0.768333   34.1735 )
    ------------------------------------------------------------
    # Chi-Squared =          48.36 using 59 PHA bins.
    # Reduced chi-squared =         0.8792 for     55 degrees of freedom 
    # Null hypothesis probability =   7.246097e-01
     
    Photon flux (15-150 keV)    in 64 sec:  (    ) ph/cm2/s
    Energy fluence (15-150 keV)             : 0 ( 0  0 ) ergs/cm2
     
    

    S(25-50 keV) vs. S(50-100 keV) plot

    S(25-50 keV)  = 2.68225e-07
    S(50-100 keV) = 3.34421e-07
    

    T90 vs. Hardness ratio plot

    T90                                   = 64 sec.
    Hardness ratio (energy fluence ratio) = 1.24679
    

    Color vs. Color plot

    Count Ratio  (25-50 keV) / (15-25 keV) = 1.46692
    Count Ratio (50-100 keV) / (15-25 keV) = 0.859257
    

    Mask shadow pattern

    IMX = 0, IMY = 0
    

    TIME vs. PHA plot around the trigger time

    Blue+Cyan dotted lines: Time interval of the scaled map
    From 0.000000 to 64.000000
    

    TIME vs. DetID plot around the trigger time

    Blue+Cyan dotted lines: Time interval of the scaled map
    From 0.000000 to 64.000000
    

    100 us light curve (15-350 keV)

    Blue+Cyan dotted lines: Time interval of the scaled map
    From 0.000000 to 64.000000
    

    Spacecraft aspect plot

    Bright source in the pre-burst/pre-slew/post-slew images

    Pre-burst image of 15-350 keV band

    Time interval of the image:
     
    

    Pre-slew background subtracted image of 15-350 keV band

    Time interval of the image:
    0.000000 64.000000
     
    # RAcent  DECcent POSerr Theta    Phi  PeakCts   SNR AngSep     Name
    #  [deg]    [deg]    ['] [deg]  [deg]                   [']
    299.6076  35.3414    5.1  34.1 -141.0  -0.2557  -2.3    8.4	Cyg X-1                       
    307.9271  41.0176    4.7  25.6 -143.8   0.2211   2.4    9.2	Cyg X-3                       
    326.3290  38.4333    4.2  20.3 -178.8  -0.2224  -2.8   10.0	Cyg X-2                       
    111.3050  74.5221    2.0  44.8  -12.7   0.7548   5.8 ------	UNKNOWN                       
    309.3748  40.3617    2.2  25.4 -146.8   0.4476   5.2 ------	UNKNOWN                       
    300.6220  34.8525    0.8  34.0 -142.7   1.6332  14.8 ------	UNKNOWN                       
    

    Post-slew image of 15-350 keV band

    Time interval of the image:
    128.400590 303.088900
    541.000000 603.023100
     
    # RAcent  DECcent POSerr Theta    Phi  PeakCts   SNR AngSep     Name
    #  [deg]    [deg]    ['] [deg]  [deg]                   [']
    254.3150  35.2542   10.8  37.6  -66.5   0.5249   1.1    8.8	Her X-1                       
    288.8697  11.0620    0.9  26.1 -143.8   2.6274  12.7    8.2	GRS 1915+105                  
    299.5193  35.0395   15.5   0.9  -69.3   0.1448   0.7   10.3	Cyg X-1                       
    307.9183  40.8961    5.8   8.3   50.6  -0.3646  -2.0    9.3	Cyg X-3                       
    326.3474  38.4464    8.9  20.9   81.7   0.3052   1.3   11.1	Cyg X-2                       
    319.6740  42.6319    2.3  16.7   65.7   1.0222   5.0 ------	UNKNOWN                       
    310.4817  34.1341    2.5   8.2  101.4   0.8300   4.6 ------	UNKNOWN                       
    300.6687  34.9073    0.3   0.1   45.6   6.4430  33.9 ------	UNKNOWN                       
    262.9710  10.3163    3.0  42.1 -107.3   3.7976   3.8 ------	UNKNOWN                       
    261.5122  12.8067    2.1  41.6 -103.0   5.3595   5.6 ------	UNKNOWN                       
    
    Plot creation:
    Mon Feb 15 16:39:13 EST 2010