batgrbproduct Analysis for Trigger=381591

Analysis Summary

Notes:

======================================================================
                  BAT GRB EVENT DATA PROCESSING REPORT
    Process Script Ver: batgrbproduct v2.45
    Process Start Time (local time): Thu Dec 31 20:00:49 EST 2009
             Host Name: gcn5
   Current Working Dir: /local/data/raid16/prebascript_archive/trigger381591/GCN5_download_cron
======================================================================

  Trigger: 00381591      Segment: 000

  BAT Trigger Time: 283974262.848   [s; MET]
      Trigger Stop: 283974279.232   [s; MET]
               UTC: 2009-12-31T17:44:17.450720    [includes UTCF correction] 
       Where From?: TDRSS position message

  BAT 
    RA: 235.079216103307   Dec: -8.73771854118322  [deg; J2000]

     Catalogged Source?: NO
     Point Source?:      YES
     GRB Indicated?:     YES    [ by BAT flight software ]
     Image S/N Ratio:    7.25
     Image Trigger?:     NO
     Rate S/N Ratio:     12.6095202129185  [ if not an image trigger ]
     Image S/N Ratio:    7.25

  Flight Position:   [ source = BAT ]
    RA: 235.079216103307   Dec: -8.73771854118322  [deg; J2000]

  Ground Position:   [ source = BAT pre-slew burst ]
    RA: 235.135201447304   Dec: -8.78435230469922  [deg; J2000]  
        { 15h 40m 32.4s , -08d 47' 03.7" }
         +/- 3.43170437773798 [arcmin] (estimated 90% radius based on SNR)
         +/- 2.10533762296649 [arcmin] (formal 1-sigma fit error)
    SNR: 5.22521640639059
 
  Angular difference between Flight and Ground position is 4.341758 arcmin
 
  Partial Coding Fraction: 1.015625    [ including projection effects ]

  Duration
     T90: 65 +/- 23.8537208837531
        Measured from: -20.8479998707771
                   to: 44.1520001292229     [s; relative to TRIGTIME]
     T50: 30 +/- 22.2036033111745
        Measured from: -6.84799987077713
                   to: 23.1520001292229     [s; relative to TRIGTIME]



  Fluence
     Peak Flux  (peak 1 second)
        Measured from: 44.1520000100136     
                   to: 45.1520000100136     [s; relative to TRIGTIME]
     Total Fluence        
        Measured from: -21.8479999899864     
                   to: 45.1520000100136     [s; relative to TRIGTIME]
     
             Band 1     Band 2     Band 3     Band 4
              15-25      25-50     50-100    100-350     keV
 Total     0.293261   0.123496   0.096529   0.081376
           0.054136   0.044539   0.039050   0.035191 [error]
 Peak      0.019333   0.012933  -0.000389   0.006277
           0.006550   0.005548   0.004750   0.004209 [error]

     [ fluence units of on-axis counts / fully illuminated detector ] 

======================================================================
 
=== Fluence/Peak Flux Summary ===
 
              Model    Band1    Band2    Band3    Band4    Band5    Total      
                       15-25    25-50   50-100  100-350   15-150   15-350   keV
Fluence   Power-law 6.81e-08 6.79e-08 4.76e-08 5.28e-08 2.05e-07 2.36e-07   erg/cm2
              Error 2.47e-08 2.30e-08 3.41e-08 8.19e-08 7.62e-08 1.27e-07   erg/cm2
Peak flux Power-law 2.35e-01 5.51e-02 6.65e-03 8.93e-04 2.97e-01 2.98e-01   ph/cm2/s
              Error 9.28e-02 4.69e-02 1.42e-02 5.10e-03 1.28e-01 1.28e-01   ph/cm2/s
 
Fluence   Cutoff-PL 6.81e-08 6.80e-08 4.76e-08 5.23e-08 2.04e-07 2.36e-07   erg/cm2
              Error 2.47e-08 2.30e-08 3.41e-08 8.12e-08 7.62e-08 1.26e-07   erg/cm2
Peak flux Cutoff-PL 2.35e-01 5.51e-02 6.63e-03 8.86e-04 2.97e-01 2.97e-01   ph/cm2/s
              Error 9.28e-02 4.69e-02 1.42e-02 5.06e-03 1.28e-01 1.28e-01   ph/cm2/s
 
Fluence        Band 0.00e+00 0.00e+00 0.00e+00 0.00e+00 0.00e+00 0.00e+00   erg/cm2
              Error 0.00e+00 0.00e+00 0.00e+00 0.00e+00 0.00e+00 0.00e+00   erg/cm2
Peak flux      Band 0.00e+00 0.00e+00 0.00e+00 0.00e+00 0.00e+00 0.00e+00   ph/cm2/s
              Error 0.00e+00 0.00e+00 0.00e+00 0.00e+00 0.00e+00 0.00e+00   ph/cm2/s
 
=== Time-averaged spectral analysis ===
 
Model Ph_index Ph_90err Epeak  Epeak_90err Norm     Nomr_90err chi2   dof
PL    2.513    0.754    -      -           3.04e-04 1.56e-04   59.200 57
CPL   1.864    0.000       8.7    0.0      7.14e-04 0.00e+00   60.120 56
 
 
=== 1-s peak spectral analysis ===
 
Model Ph_index Ph_90err Epeak  Epeak_90err Norm     Nomr_90err chi2   dof
PL    4.051    1.734    -      -           4.61e-04 7.29e-04   64.770 57
CPL   1.000    0.000      50.0    0.0      4.77e-03 0.00e+00   74.480 56
 
Model      : spectral model: simple power-law (PL) and cutoff power-law (CPL)
Ph_index   : photon index: E^-{Ph_index} (minus sign is not included in the index)
Ph_90err   : 90% error of the photon index
Epeak      : Epeak in keV
Epeak_90err: 90% error of Epeak
Norm       : normalization at 50 keV in PL model and at 1 keV in CPL model
Nomr_90err : 90% error of the normalization
chi2       : Chi-Squared
dof        : degree of freedom
 
=== T90/T50 calculation in the 50-300 keV band (BATSE band) using 64 ms lc ===
 
T90 in the 50-300 keV band: 0.000000 sec.
T50 in the 50-300 keV band: 0.000000 sec.
 
=== Table of the duration information ==
 
        Value   tstart    tstop
T100   67.000  -21.848   45.152
T90    65.000  -20.848   44.152
T50    30.000   -6.848   23.152
Peak    1.000   44.152   45.152
  • Click here for the BAT GCN circular template

    Image

    Pre-slew 15-350 keV image (Event data; bkg subtracted)

    #   RAcent  DECcent POSerr  Theta    Phi     Peak Cts     SNR  Name
      235.1352  -8.7844 0.0369   14.2  -27.9       0.5377     5.2  TRIG_00381591       
    ------------------------------------------
     
    Foreground time interval of the image:
    -21.848  45.152 (delta_t =  67.000 [sec])
    Background time interval of the image:
    -239.848 -21.848 (delta_t = 218.000 [sec])
    

    Lightcurves

    Notes:

    1 s binning

    From T0-310 s to T0+310 s
    From T100_start - 20 s to T100_end + 30 s
    Full time interval

    64 ms binning

    Full time interval
    From T100_start to T100_end
    From T0-5 sec to T0+5 sec

    16 ms binning

    From T100_start-5 s to T100_start+5 s
    Blue+Cyan dotted lines: Time interval of the scaled map
    From 0.000000 to 16.384000
    

    8 ms binning

    From T100_start-3 s to T100_start+3 s
    Blue+Cyan dotted lines: Time interval of the scaled map
    From 0.000000 to 16.384000
    

    2 ms binning

    From T100_start-1 s to T100_start+1 s
    Blue+Cyan dotted lines: Time interval of the scaled map
    From 0.000000 to 16.384000
    

    SN=5 or 10 sec. binning (whichever binning is satisfied first)

    SN=5 or 10 sec. binning (T < 200 sec)

    Flight mask-tagged light curves

    Caution: Mask-weight map is always using the same on-axis map

    Quad-rate summed light curves (from T0-300 to T0+1000)

    Spectra

    Notes:

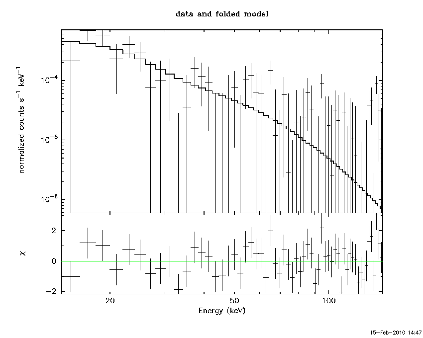
    Time averaged spectrum fit using the pre-slew DRM

    Power-law model
    Time interval is from  -21.848 sec. to   45.152 sec.
     
    Spectral model in power-law:
    ------------------------------------------------------------
    Parameters  : value       lower 90%   higher 90%
    Photon index: 2.51334     ( -0.670074   0.838005 )
    Norm@50keV  : 3.04143E-04    ( -0.000156227   0.000156176 )
    ------------------------------------------------------------
    # Chi-Squared =          59.20 using 59 PHA bins.
    # Reduced chi-squared =          1.039 for     57 degrees of freedom 
    # Null hypothesis probability =   3.950660e-01
     
    Photon flux (15-150 keV)    in 67 sec: 6.02476E-02 ( -0.016604  0.0166051 ) ph/cm2/s
    Energy fluence (15-150 keV)             : 2.04517e-07 ( -7.14059e-08  8.09608e-08 ) ergs/cm2
     
    
    Cutoff power-law model
    Time interval is from  -21.848 sec. to   45.152 sec.
    Spectral model in the cutoff power-law:
    ------------------------------------------------------------
    Parameters  : value       lower 90%   higher 90%
    Photon index: 1.86389     (     )
    Epeak [keV] : 8.72977      (   )
    Norm@50keV  : 7.13907E-04    (     )
    ------------------------------------------------------------
    # Chi-Squared =          60.12 using 59 PHA bins.
    # Reduced chi-squared =          1.073 for     56 degrees of freedom 
    # Null hypothesis probability =   3.291062e-01
     
    Photon flux (15-150 keV)    in 67 sec: 6.02188E-02 ( -0.0165973  0.0165987 ) ph/cm2/s
    Energy fluence (15-150 keV)             : 2.04439e-07 ( -7.13798e-08  8.094e-08 ) ergs/cm2
     
    
    Band function
    Time interval is from  -21.848 sec. to   45.152 sec.
     
    Spectral model in the Band function:
    ------------------------------------------------------------
    Parameters  : value       lower 90%   higher 90%
    alpha       : -1.59768   ( 1.59773   1.59773 )
    beta        : -2.53143    ( 2.53346   0.68316 )
    Epeak [keV] : 8.22496      ( -8.20129 50.8085 )
    Norm@50keV   : 1.88565E-03    ( -0.0018957   21.6914 )
    ------------------------------------------------------------
    # Chi-Squared =          59.14 using 59 PHA bins.
    # Reduced chi-squared =          1.075 for     55 degrees of freedom 
    # Null hypothesis probability =   3.267928e-01
     
    Photon flux (15-150 keV)    in 67 sec:  (    ) ph/cm2/s
    Energy fluence (15-150 keV)             : 0 ( 0  0 ) ergs/cm2
     
    

    Peak spectrum fit

    Power-law model
    Time interval is from   44.152 sec. to   45.152 sec.
     
    Spectral model in power-law:
    ------------------------------------------------------------
    Parameters  : value       lower 90%   higher 90%
    Photon index: 4.05068     ( -1.28355   2.18436 )
    Norm@50keV  : 4.61372E-04    ( -0.000461372   0.000996414 )
    ------------------------------------------------------------
    # Chi-Squared =          64.77 using 59 PHA bins.
    # Reduced chi-squared =          1.136 for     57 degrees of freedom 
    # Null hypothesis probability =   2.239479e-01
     
    Photon flux (15-150 keV)    in 1 sec: 0.297422 ( -0.126762  0.129091 ) ph/cm2/s
    Energy fluence (15-150 keV)             : 1.0547e-08 ( -5.22958e-09  6.69279e-09 ) ergs/cm2
     
    
    Cutoff power-law model
    Time interval is from   44.152 sec. to   45.152 sec.
    Spectral model in the cutoff power-law:
    ------------------------------------------------------------
    Parameters  : value       lower 90%   higher 90%
    Photon index: 1.00000     (     )
    Epeak [keV] : 50.0000      (   )
    Norm@50keV  : 4.76644E-03    (     )
    ------------------------------------------------------------
    # Chi-Squared =          74.48 using 59 PHA bins.
    # Reduced chi-squared =          1.330 for     56 degrees of freedom 
    # Null hypothesis probability =   4.993245e-02
     
    Photon flux (15-150 keV)    in 1 sec: 0.297240 ( -0.126732  0.129053 ) ph/cm2/s
    Energy fluence (15-150 keV)             : 9.62006e-09 ( -4.50215e-09  7.46024e-09 ) ergs/cm2
     
    
    Band function
    Time interval is from   44.152 sec. to   45.152 sec.
     
    Spectral model in the Band function:
    ------------------------------------------------------------
    Parameters  : value       lower 90%   higher 90%
    alpha       : -8.48529   ( 3.28998   5.82785 )
    beta        : -4.05089    ( -2.18515   1.28535 )
    Epeak [keV] : 419.201      ( -419.201 -419.201 )
    Norm@50keV   : 6.26938E-02    ( -0.0626937   0.135417 )
    ------------------------------------------------------------
    # Chi-Squared =          64.77 using 59 PHA bins.
    # Reduced chi-squared =          1.178 for     55 degrees of freedom 
    # Null hypothesis probability =   1.725213e-01
     
    Photon flux (15-150 keV)    in 1 sec:  (    ) ph/cm2/s
    Energy fluence (15-150 keV)             : 0 ( 0  0 ) ergs/cm2
     
    

    Pre-slew spectrum (Pre-slew PHA with pre-slew DRM)

    Power-law model
     
    Spectral model in power-law:
    ------------------------------------------------------------
    Parameters  : value       lower 90%   higher 90%
    Photon index: 2.51334     ( -0.670074   0.838005 )
    Norm@50keV  : 3.04143E-04    ( -0.000156227   0.000156176 )
    ------------------------------------------------------------
    # Chi-Squared =          59.20 using 59 PHA bins.
    # Reduced chi-squared =          1.039 for     57 degrees of freedom 
    # Null hypothesis probability =   3.950660e-01
     
    Photon flux (15-150 keV)    in 67 sec: 6.02476E-02 ( -0.016604  0.0166051 ) ph/cm2/s
    Energy fluence (15-150 keV)             : 2.04517e-07 ( -7.14059e-08  8.09608e-08 ) ergs/cm2
     
    
    Cutoff power-law model
    Spectral model in the cutoff power-law:
    ------------------------------------------------------------
    Parameters  : value       lower 90%   higher 90%
    Photon index: 1.86389     (     )
    Epeak [keV] : 8.72977      (   )
    Norm@50keV  : 7.13907E-04    (     )
    ------------------------------------------------------------
    # Chi-Squared =          60.12 using 59 PHA bins.
    # Reduced chi-squared =          1.073 for     56 degrees of freedom 
    # Null hypothesis probability =   3.291062e-01
     
    Photon flux (15-150 keV)    in 67 sec: 6.02188E-02 ( -0.0165973  0.0165987 ) ph/cm2/s
    Energy fluence (15-150 keV)             : 2.04439e-07 ( -7.13798e-08  8.094e-08 ) ergs/cm2
     
    
    Band function
     
    Spectral model in the Band function:
    ------------------------------------------------------------
    Parameters  : value       lower 90%   higher 90%
    alpha       : -1.59768   ( 1.59773   1.59773 )
    beta        : -2.53143    ( 2.53346   0.68316 )
    Epeak [keV] : 8.22496      ( -8.20129 50.8085 )
    Norm@50keV   : 1.88565E-03    ( -0.0018957   21.6914 )
    ------------------------------------------------------------
    # Chi-Squared =          59.14 using 59 PHA bins.
    # Reduced chi-squared =          1.075 for     55 degrees of freedom 
    # Null hypothesis probability =   3.267928e-01
     
    Photon flux (15-150 keV)    in 67 sec:  (    ) ph/cm2/s
    Energy fluence (15-150 keV)             : 0 ( 0  0 ) ergs/cm2
     
    

    S(25-50 keV) vs. S(50-100 keV) plot

    S(25-50 keV)  = 6.79474e-08
    S(50-100 keV) = 4.75961e-08
    

    T90 vs. Hardness ratio plot

    T90                                   = 65 sec.
    Hardness ratio (energy fluence ratio) = 0.700484
    

    Color vs. Color plot

    Count Ratio  (25-50 keV) / (15-25 keV) = 0.421113
    Count Ratio (50-100 keV) / (15-25 keV) = 0.329157
    

    Mask shadow pattern

    IMX = 2.236813827250808E-01, IMY = 1.185793904682898E-01
    

    TIME vs. PHA plot around the trigger time

    Blue+Cyan dotted lines: Time interval of the scaled map
    From 0.000000 to 16.384000
    

    TIME vs. DetID plot around the trigger time

    Blue+Cyan dotted lines: Time interval of the scaled map
    From 0.000000 to 16.384000
    

    100 us light curve (15-350 keV)

    Blue+Cyan dotted lines: Time interval of the scaled map
    From 0.000000 to 16.384000
    

    Spacecraft aspect plot

    Bright source in the pre-burst/pre-slew/post-slew images

    Pre-burst image of 15-350 keV band

    Time interval of the image:
    -239.848000 -21.848000
     
    # RAcent  DECcent POSerr Theta    Phi  PeakCts   SNR AngSep     Name
    #  [deg]    [deg]    ['] [deg]  [deg]                   [']
    244.9809 -15.6351    0.1  21.0  -61.0  20.6812  77.8    0.3	Sco X-1                       
    254.5406  35.2317   20.3  33.5  155.5   0.2277   0.6    7.8	Her X-1                       
    263.2163 -24.7656    7.9  37.3  -83.5   0.9501   1.4   11.4	GX 1+4                        
    268.3419  -1.4466    5.1  29.2 -125.3   0.6882   2.3    1.6	SW J1753.5-0127               
    273.8229 -14.0181    0.0  38.6 -107.3   0.9814   1.4   10.7	GX 17+2                       
    288.7491  10.9662    3.6  48.9 -147.2   2.2788   3.2    3.2	GRS 1915+105                  
    216.2852  38.2317    3.2  39.8  104.0   3.7093   3.6 ------	UNKNOWN                       
    268.0685 -22.3318    1.4  38.7  -91.4   6.6186   8.4 ------	UNKNOWN                       
    247.0805 -41.6590    2.8  46.8  -54.3   4.3800   4.2 ------	UNKNOWN                       
    

    Pre-slew background subtracted image of 15-350 keV band

    Time interval of the image:
    -21.848000 45.152000
     
    # RAcent  DECcent POSerr Theta    Phi  PeakCts   SNR AngSep     Name
    #  [deg]    [deg]    ['] [deg]  [deg]                   [']
    244.9748 -15.6312    0.7  20.9  -61.0   2.0303  16.9    0.6	Sco X-1                       
    254.4049  35.3855   10.7  33.6  155.2   0.1516   1.1    3.7	Her X-1                       
    262.7922 -24.7344    0.0  37.0  -83.0   0.2721   1.1   11.8	GX 1+4                        
    268.2342  -1.3839    8.8  29.1 -125.4  -0.1760  -1.3    9.0	SW J1753.5-0127               
    273.8754 -13.9578    9.3  38.7 -107.4  -0.3550  -1.2    8.9	GX 17+2                       
    288.8443  10.8424    6.2  49.0 -147.1  -0.5274  -1.9    6.8	GRS 1915+105                  
    203.5872   7.9391    2.4  36.1   50.3   0.9907   4.8 ------	UNKNOWN                       
    282.9039  46.3098    2.0  55.9  168.1   3.5267   5.8 ------	UNKNOWN                       
    239.7961   4.4669    2.5   0.2  -65.4   0.4398   4.6 ------	UNKNOWN                       
    217.4685 -22.7935    2.0  35.0   -9.3   0.7333   5.6 ------	UNKNOWN                       
    235.1353  -8.7844    2.2  14.2  -27.9   0.5374   5.2 ------	UNKNOWN                       
    289.6768  14.4792    2.3  50.1 -151.7   1.4011   5.0 ------	UNKNOWN                       
    

    Post-slew image of 15-350 keV band

    Time interval of the image:
    111.952600 470.352600
     
    # RAcent  DECcent POSerr Theta    Phi  PeakCts   SNR AngSep     Name
    #  [deg]    [deg]    ['] [deg]  [deg]                   [']
    244.9832 -15.6359    0.1  11.9  -77.1  30.8273  78.7    0.3	Sco X-1                       
    254.4977  35.4947   11.7  47.9  177.9  -0.8244  -1.0    9.3	Her X-1                       
    255.9865 -37.8441    2.8  34.7  -53.2   2.3724   4.1    0.0	4U 1700-377                   
    256.2523 -36.4762    5.7  33.7  -55.0   1.1642   2.0    9.4	GX 349+2                      
    262.9017 -24.8554   19.3  31.0  -78.8   0.3578   0.6    8.8	GX 1+4                        
    264.8551 -44.3260    4.5  43.9  -54.3   3.1057   2.6    8.9	4U 1735-44                    
    268.3395  -1.4244    8.6  33.9 -124.1   0.7936   1.3    2.4	SW J1753.5-0127               
    270.1903 -24.9401   10.9  37.1  -83.3   1.0144   1.1    9.8	GX 5-1                        
    270.3315 -25.7096    7.3  37.5  -82.1   1.5581   1.6    2.5	GRS 1758-258                  
    274.1236 -14.2002   10.2  38.6 -101.7   1.2644   1.1   12.0	GX 17+2                       
    241.6085  32.3413    2.1  41.6  164.8   4.0906   5.6 ------	UNKNOWN                       
    225.9840 -32.9314    3.2  25.6   -5.6   1.4729   3.6 ------	UNKNOWN                       
    224.4479 -46.6055    2.7  38.9  -11.8   2.2911   4.3 ------	UNKNOWN                       
    268.0332 -22.3366    0.8  34.4  -86.4  10.9870  14.6 ------	UNKNOWN                       
    273.3554 -28.6264    2.4  41.1  -79.3   7.0703   4.7 ------	UNKNOWN                       
    
    Plot creation:
    Mon Feb 15 14:48:07 EST 2010