batgrbproduct Analysis for Trigger=456014

Analysis Summary

Notes:

======================================================================
                  BAT GRB EVENT DATA PROCESSING REPORT
    Process Script Ver: batgrbproduct v2.46
    Process Start Time (local time): Tue Jul  5 10:47:31 EDT 2011
             Host Name: gcn5
   Current Working Dir: /local/data/raid16/prebascript_archive/trigger456014/batgroup_hand_proc
======================================================================

  Trigger: 00456014      Segment: 000

  BAT Trigger Time: 330653174.72   [s; MET]
      Trigger Stop: 330653178.816   [s; MET]
               UTC: 2011-06-25T00:06:07.629580    [includes UTCF correction] 
       Where From?: TDRSS position message

  BAT 
    RA: 282.550970337691   Dec: -0.968196446949389  [deg; J2000]

     Catalogged Source?: NO
     Point Source?:      YES
     GRB Indicated?:     YES    [ by BAT flight software ]
     Image S/N Ratio:    7.53
     Image Trigger?:     NO
     Rate S/N Ratio:     8.54400374531753  [ if not an image trigger ]
     Image S/N Ratio:    7.53

  Flight Position:   [ source = BAT ]
    RA: 282.550970337691   Dec: -0.968196446949389  [deg; J2000]

  Ground Position:   [ source = BAT pre-slew burst ]
    RA: 282.497666117717   Dec: -0.958557538912312  [deg; J2000]  
        { 18h 49m 59.4s , -00d 57' 30.8" }
         +/- 3.65931734736496 [arcmin] (estimated 90% radius based on SNR)
         +/- 2.46499219219371 [arcmin] (formal 1-sigma fit error)
    SNR: 4.76717539322832
 
  Angular difference between Flight and Ground position is 3.249677 arcmin
 
  Partial Coding Fraction: 0.421875    [ including projection effects ]

  Duration
     T90: 13 +/- 3.60555127546399
        Measured from: -0.720000028610229
                   to: 12.2799999713898     [s; relative to TRIGTIME]
     T50: 6 +/- 4.47213595499958
        Measured from: 1.27999997138977
                   to: 7.27999997138977     [s; relative to TRIGTIME]



  Fluence
     Peak Flux  (peak 1 second)
        Measured from: 4.27999997138977     
                   to: 5.27999997138977     [s; relative to TRIGTIME]
     Total Fluence        
        Measured from: -1.72000002861023     
                   to: 13.2799999713898     [s; relative to TRIGTIME]
     
             Band 1     Band 2     Band 3     Band 4
              15-25      25-50     50-100    100-350     keV
 Total     0.368752   0.077975  -0.044919   0.001017
           0.037772   0.034787   0.029691   0.025796 [error]
 Peak      0.043049   0.016472   0.005351  -0.009630
           0.010283   0.009173   0.007349   0.006977 [error]

     [ fluence units of on-axis counts / fully illuminated detector ] 

======================================================================
 
=== Fluence/Peak Flux Summary ===
 
              Model    Band1    Band2    Band3    Band4    Band5    Total      
                       15-25    25-50   50-100  100-350   15-150   15-350   keV
Fluence   Power-law 1.20e-07 3.00e-08 3.92e-09 5.74e-10 1.54e-07 1.55e-07   erg/cm2
              Error 2.20e-08 1.51e-08 5.06e-09 1.34e-09 3.48e-08 3.51e-08   erg/cm2
Peak flux Power-law 5.73e-01 1.29e-01 1.48e-02 1.88e-03 7.18e-01 7.18e-01   ph/cm2/s
              Error 1.74e-01 9.45e-02 2.73e-02 8.36e-03 2.36e-01 2.36e-01   ph/cm2/s
 
Fluence   Cutoff-PL 1.24e-07 2.52e-08 7.05e-10 1.45e-12 1.50e-07 1.51e-07   erg/cm2
              Error 2.40e-08 2.08e-08 4.55e-09 2.36e-10 2.86e-08 3.38e-08   erg/cm2
Peak flux Cutoff-PL 5.72e-01 1.29e-01 1.48e-02 1.86e-03 7.17e-01 7.18e-01   ph/cm2/s
              Error 1.73e-01 9.45e-02 2.73e-02 8.22e-03 1.89e-01 2.36e-01   ph/cm2/s
 
Fluence        Band 0.00e+00 0.00e+00 0.00e+00 0.00e+00 0.00e+00 0.00e+00   erg/cm2
              Error 0.00e+00 0.00e+00 0.00e+00 0.00e+00 0.00e+00 0.00e+00   erg/cm2
Peak flux      Band 0.00e+00 0.00e+00 0.00e+00 0.00e+00 0.00e+00 0.00e+00   ph/cm2/s
              Error 0.00e+00 0.00e+00 0.00e+00 0.00e+00 0.00e+00 0.00e+00   ph/cm2/s
 
=== Time-averaged spectral analysis ===
 
Model Ph_index Ph_90err Epeak  Epeak_90err Norm     Nomr_90err chi2   dof
PL    4.936    0.852    -      -           2.20e-04 1.97e-04   48.460 57
CPL   1.000    0.000      50.0    0.0      3.41e-03 0.00e+00  110.240 56
 
 
=== 1-s peak spectral analysis ===
 
Model Ph_index Ph_90err Epeak  Epeak_90err Norm     Nomr_90err chi2   dof
PL    4.124    1.504    -      -           1.04e-03 1.47e-03   60.830 57
CPL   1.794    0.000       1.9    0.0      8.23e-02 0.00e+00   61.800 56
 
Model      : spectral model: simple power-law (PL) and cutoff power-law (CPL)
Ph_index   : photon index: E^-{Ph_index} (minus sign is not included in the index)
Ph_90err   : 90% error of the photon index
Epeak      : Epeak in keV
Epeak_90err: 90% error of Epeak
Norm       : normalization at 50 keV in PL model and at 1 keV in CPL model
Nomr_90err : 90% error of the normalization
chi2       : Chi-Squared
dof        : degree of freedom
 
=== T90/T50 calculation in the 50-300 keV band (BATSE band) using 64 ms lc ===
 
T90 in the 50-300 keV band: 0.000000 sec.
T50 in the 50-300 keV band: 0.000000 sec.
 
=== Table of the duration information ==
 
        Value   tstart    tstop
T100   15.000   -1.720   13.280
T90    13.000   -0.720   12.280
T50     6.000    1.280    7.280
Peak    1.000    4.280    5.280
  • Click here for the BAT GCN circular template

    Image

    Pre-slew 15.0-350.0 keV image (Event data)

    #   RAcent    DECcent   POSerr    Theta     Phi              Peak Cts       SNR   Name
      282.4977    -0.9586   0.0405    27.2536    86.3896         0.3142498      4.767 TRIG_00456014                 
     
    Foreground time interval of the image:
     -1.720  13.280 (delta_t =  15.000 [sec])
    Background time interval of the image:
    -177.419  -1.720 (delta_t = 175.699 [sec])
    

    Lightcurves

    Notes:

    1 s binning

    From T0-310 s to T0+310 s
    From T100_start - 20 s to T100_end + 30 s
    Full time interval

    64 ms binning

    Full time interval
    From T100_start to T100_end
    From T0-5 sec to T0+5 sec

    16 ms binning

    From T100_start-5 s to T100_start+5 s

    8 ms binning

    From T100_start-3 s to T100_start+3 s

    2 ms binning

    From T100_start-1 s to T100_start+1 s

    SN=5 or 10 sec. binning (whichever binning is satisfied first)

    SN=5 or 10 sec. binning (T < 200 sec)

    Flight mask-tagged light curves

    Caution: Mask-weight map is always using the same on-axis map

    Quad-rate summed light curves (from T0-300 to T0+1000)

    The mask-weighted light curves based on cleaned DPHs

    Spectra

    Notes:

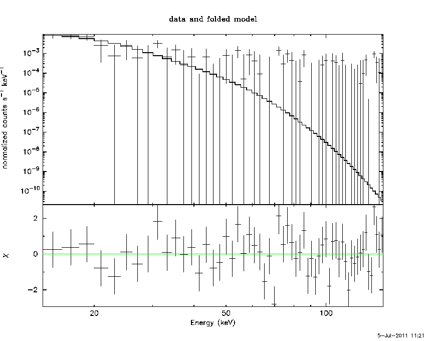
    Time averaged spectrum fit using the pre-slew DRM

    Power-law model
    Time interval is from   -1.720 sec. to   13.280 sec.
     
    Spectral model in power-law:
    ------------------------------------------------------------
    Parameters  : value       lower 90%   higher 90%
    Photon index: 4.93606     ( -0.766186   0.93768 )
    Norm@50keV  : 2.20228E-04    ( -0.000141234   0.000252233 )
    ------------------------------------------------------------
    # Chi-Squared =          48.46 using 59 PHA bins.
    # Reduced chi-squared =         0.8501 for     57 degrees of freedom 
    # Null hypothesis probability =   7.824889e-01
     
    Photon flux (15-150 keV)    in 15 sec: 0.319747 ( -0.0614565  0.0616905 ) ph/cm2/s
    Energy fluence (15-150 keV)             : 1.54353e-07 ( -3.37809e-08  3.58517e-08 ) ergs/cm2
     
    
    Cutoff power-law model
    Time interval is from   -1.720 sec. to   13.280 sec.
    Spectral model in the cutoff power-law:
    ------------------------------------------------------------
    Parameters  : value       lower 90%   higher 90%
    Photon index: 1.00000     (     )
    Epeak [keV] : 50.0000      (   )
    Norm@50keV  : 3.40749E-03    (     )
    ------------------------------------------------------------
    # Chi-Squared =         110.24 using 59 PHA bins.
    # Reduced chi-squared =         1.9686 for     56 degrees of freedom 
    # Null hypothesis probability =   2.085796e-05
     
    Photon flux (15-150 keV)    in 15 sec: 0.320339 ( -0.060245  0.0606 ) ph/cm2/s
    Energy fluence (15-150 keV)             : 1.49984e-07 ( -3.17964e-08  2.54907e-08 ) ergs/cm2
     
    
    Band function
    Time interval is from   -1.720 sec. to   13.280 sec.
     
    Spectral model in the Band function:
    ------------------------------------------------------------
    Parameters  : value       lower 90%   higher 90%
    alpha       : -7.37187   ( 1.64499   4.49434 )
    beta        : -4.93604    ( -0.93682   0.766373 )
    Epeak [keV] : 15.8435      ( -15.8435 -15.8435 )
    Norm@50keV   : 2.99327E-02    ( -0.0191955   0.0342822 )
    ------------------------------------------------------------
    # Chi-Squared =          48.46 using 59 PHA bins.
    # Reduced chi-squared =         0.8810 for     55 degrees of freedom 
    # Null hypothesis probability =   7.211024e-01
     
    Photon flux (15-150 keV)    in 15 sec:  (    ) ph/cm2/s
    Energy fluence (15-150 keV)             : 0 ( 0  0 ) ergs/cm2
     
    
    Single BB
     
    Spectral model blackbody:
    ------------------------------------------------------------
    Parameters  : value    Lower 90%  Upper 90%
    kT [keV]    : 2.77783  (-0.480195  0.612642)
    R^2/D10^2   : 75.2125  (-75.2151   205.969)
    (R is the radius in km and D10 is the distance to the source in units of 10 kpc)
    ------------------------------------------------------------
    # Chi-Squared =          48.51 using 59 PHA bins.
    # Reduced chi-squared =         0.8511 for     57 degrees of freedom 
    # Null hypothesis probability =   7.807325e-01
     
    Energy  Fluence     90% Error
    [keV]   [erg/cm2]   [erg/cm2]
    15- 25  1.287e-07   7.117e-08
    25- 50  1.422e-08   9.270e-09
    50-150  1.196e-11   1.334e-11
    15-150  1.429e-07   7.905e-08
    
    Thermal bremsstrahlung (OTTB)
     
     
    Spectral model: thermal bremsstrahlung
    ------------------------------------------------------------
    Parameters  : value         Lower 90%    Upper 90%
    kT [keV]    : 5.73963       (-1.53969      2.37737)
    Norm        : 46.2534       (-28.6265     90.4383)
    ------------------------------------------------------------
    # Chi-Squared =          47.95 using 59 PHA bins.
    # Reduced chi-squared =         0.8413 for     57 degrees of freedom 
    # Null hypothesis probability =   7.977216e-01
     
    Energy  Fluence     90% Error
    [keV]   [erg/cm2]   [erg/cm2]
    15- 25  1.260e-07   6.995e-08
    25- 50  2.143e-08   1.329e-08
    50-150  2.132e-10   2.415e-10
    15-150  1.476e-07   7.445e-08
    
    Double BB
    ------------------------------------------------------------
    Parameters  : value         Lower 90%    Upper 90%
    kT1 [keV]   : 5.50062        (-3.03408      -3.03408)
    R1^2/D10^2  : 0.497294        (      )
    kT2 [keV]   : 2.33663        (-2.31306      0.880302)
    R2^2/D10^2  : 194.792    (-212.272   22620.8)
    ------------------------------------------------------------
    # Chi-Squared =          48.40 using 59 PHA bins.
    # Chi-Squared =          47.19 using 59 PHA bins.
    # Reduced chi-squared =         0.8800 for     55 degrees of freedom 
    # Reduced chi-squared =         0.8579 for     55 degrees of freedom 
    # Null hypothesis probability =   7.230602e-01
    # Null hypothesis probability =   7.639973e-01
     
    Energy  Fluence     90% Error
    [keV]   [erg/cm2]   [erg/cm2]
    15- 25  1.283e-07   4.766e-03
    25- 50  1.539e-08   4.416e-02
    50-150  2.099e-11   6.332e-01
    15-150  1.437e-07   4.801e-01
    

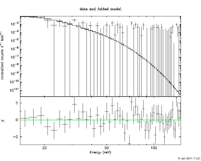
    Peak spectrum fit

    Power-law model
    Time interval is from    4.280 sec. to    5.280 sec.
     
    Spectral model in power-law:
    ------------------------------------------------------------
    Parameters  : value       lower 90%   higher 90%
    Photon index: 4.12353     ( -1.14939   1.85901 )
    Norm@50keV  : 1.04406E-03    ( -0.00104407   0.00189486 )
    ------------------------------------------------------------
    # Chi-Squared =          60.83 using 59 PHA bins.
    # Reduced chi-squared =          1.067 for     57 degrees of freedom 
    # Null hypothesis probability =   3.396295e-01
     
    Photon flux (15-150 keV)    in 1 sec: 0.717726 ( -0.236353  0.234922 ) ph/cm2/s
    Energy fluence (15-150 keV)             : 2.51973e-08 ( -1.01601e-08  1.21931e-08 ) ergs/cm2
     
    
    Cutoff power-law model
    Time interval is from    4.280 sec. to    5.280 sec.
    Spectral model in the cutoff power-law:
    ------------------------------------------------------------
    Parameters  : value       lower 90%   higher 90%
    Photon index: 1.79450     (     )
    Epeak [keV] : 1.88491      (   )
    Norm@50keV  : 8.23416E-02    (     )
    ------------------------------------------------------------
    # Chi-Squared =          61.80 using 59 PHA bins.
    # Reduced chi-squared =          1.104 for     56 degrees of freedom 
    # Null hypothesis probability =   2.767190e-01
     
    Photon flux (15-150 keV)    in 1 sec: 0.717218 ( -0.118523  0.25955 ) ph/cm2/s
    Energy fluence (15-150 keV)             : 2.51779e-08 ( -1.01465e-08  1.22071e-08 ) ergs/cm2
     
    
    Band function
    Time interval is from    4.280 sec. to    5.280 sec.
     
    Spectral model in the Band function:
    ------------------------------------------------------------
    Parameters  : value       lower 90%   higher 90%
    alpha       : -7.85373   ( 0.745342   4.91324 )
    beta        : -4.12354    ( -1.86248   1.14975 )
    Epeak [keV] : 32.4689      ( -32.4689 -32.4689 )
    Norm@50keV   : 0.141901    ( -0.141901   0.25754 )
    ------------------------------------------------------------
    # Chi-Squared =          60.83 using 59 PHA bins.
    # Reduced chi-squared =          1.106 for     55 degrees of freedom 
    # Null hypothesis probability =   2.739931e-01
     
    Photon flux (15-150 keV)    in 1 sec:  (    ) ph/cm2/s
    Energy fluence (15-150 keV)             : 0 ( 0  0 ) ergs/cm2
     
    
    Single BB
     
    Spectral model blackbody:
    ------------------------------------------------------------
    Parameters  : value    Lower 90%  Upper 90%
    kT [keV]    : 2.99598  (-1.01147  1.71349)
    R^2/D10^2   : 94.4997  (-94.9859   1519.14)
    (R is the radius in km and D10 is the distance to the source in units of 10 kpc)
    ------------------------------------------------------------
    # Chi-Squared =          62.90 using 59 PHA bins.
    # Reduced chi-squared =          1.103 for     57 degrees of freedom 
    # Null hypothesis probability =   2.754588e-01
     
    Energy  Fluence     90% Error
    [keV]   [erg/cm2]   [erg/cm2]
    15- 25  1.752e-08   9.920e-09
    25- 50  2.541e-09   1.657e-09
    50-150  4.050e-12   5.755e-12
    15-150  2.007e-08   1.200e-08
    
    Thermal bremsstrahlung (OTTB)
     
     
    Spectral model: thermal bremsstrahlung
    ------------------------------------------------------------
    Parameters  : value         Lower 90%    Upper 90%
    kT [keV]    : 7.46594       (-3.82994      10.2364)
    Norm        : 46.8827       (-46.6043     413.611)
    ------------------------------------------------------------
    # Chi-Squared =          61.95 using 59 PHA bins.
    # Reduced chi-squared =          1.087 for     57 degrees of freedom 
    # Null hypothesis probability =   3.040044e-01
     
    Energy  Fluence     90% Error
    [keV]   [erg/cm2]   [erg/cm2]
    15- 25  1.733e-08   1.019e-08
    25- 50  4.806e-09   3.133e-09
    50-150  1.341e-10   1.623e-10
    15-150  2.227e-08   1.315e-08
    
    Double BB
     
     
    Spectral model: bbodyrad<1> + bbodyrad<2>
    ------------------------------------------------------------
    Parameters  : value         Lower 90%    Upper 90%
    kT1 [keV]   : 2.26243        (-2.20943      1.57129)
    R1^2/D10^2  : 496.554        (-312.874      1.37386e+07)
    kT2 [keV]   : 9.13557        (-8.15271      -8.72378)
    R2^2/D10^2  : 0.201984    (-0.253825   92.6399)
    ------------------------------------------------------------
    # Chi-Squared =          60.15 using 59 PHA bins.
    # Reduced chi-squared =          1.094 for     55 degrees of freedom 
    # Null hypothesis probability =   2.948181e-01
     
    Energy  Fluence     90% Error
    [keV]   [erg/cm2]   [erg/cm2]
    15- 25  1.608e-08   8.570e-09
    25- 50  7.810e-09   4.423e-09
    50-150  2.872e-09   3.037e-09
    15-150  2.676e-08   1.342e-08
    

    Pre-slew spectrum (Pre-slew PHA with pre-slew DRM)

    Power-law model
     
    Spectral model in power-law:
    ------------------------------------------------------------
    Parameters  : value       lower 90%   higher 90%
    Photon index: 4.93606     ( -0.766186   0.93768 )
    Norm@50keV  : 2.20228E-04    ( -0.000141234   0.000252233 )
    ------------------------------------------------------------
    # Chi-Squared =          48.46 using 59 PHA bins.
    # Reduced chi-squared =         0.8501 for     57 degrees of freedom 
    # Null hypothesis probability =   7.824889e-01
     
    Photon flux (15-150 keV)    in 15 sec: 0.319747 ( -0.0614565  0.0616905 ) ph/cm2/s
    Energy fluence (15-150 keV)             : 1.54353e-07 ( -3.37809e-08  3.58517e-08 ) ergs/cm2
     
    
    Cutoff power-law model
    Spectral model in the cutoff power-law:
    ------------------------------------------------------------
    Parameters  : value       lower 90%   higher 90%
    Photon index: 1.00000     (     )
    Epeak [keV] : 50.0000      (   )
    Norm@50keV  : 3.40749E-03    (     )
    ------------------------------------------------------------
    # Chi-Squared =         110.24 using 59 PHA bins.
    # Reduced chi-squared =         1.9686 for     56 degrees of freedom 
    # Null hypothesis probability =   2.085796e-05
     
    Photon flux (15-150 keV)    in 15 sec: 0.320339 ( -0.060245  0.0606 ) ph/cm2/s
    Energy fluence (15-150 keV)             : 1.49984e-07 ( -3.17964e-08  2.54907e-08 ) ergs/cm2
     
    
    Band function
     
    Spectral model in the Band function:
    ------------------------------------------------------------
    Parameters  : value       lower 90%   higher 90%
    alpha       : -7.37187   ( 1.64499   4.49434 )
    beta        : -4.93604    ( -0.93682   0.766373 )
    Epeak [keV] : 15.8435      ( -15.8435 -15.8435 )
    Norm@50keV   : 2.99327E-02    ( -0.0191955   0.0342822 )
    ------------------------------------------------------------
    # Chi-Squared =          48.46 using 59 PHA bins.
    # Reduced chi-squared =         0.8810 for     55 degrees of freedom 
    # Null hypothesis probability =   7.211024e-01
     
    Photon flux (15-150 keV)    in 15 sec:  (    ) ph/cm2/s
    Energy fluence (15-150 keV)             : 0 ( 0  0 ) ergs/cm2
     
    

    S(25-50 keV) vs. S(50-100 keV) plot

    S(25-50 keV)  = 2.99787e-08
    S(50-100 keV) = 3.91698e-09
    

    T90 vs. Hardness ratio plot

    T90                                   = 13 sec.
    Hardness ratio (energy fluence ratio) = 0.130659
    

    Color vs. Color plot

    Count Ratio  (25-50 keV) / (15-25 keV) = 0.211456
    Count Ratio (50-100 keV) / (15-25 keV) = -0.121814
    

    Mask shadow pattern

    IMX = 3.243737027197651E-02, IMY = -5.140903830086476E-01
    

    TIME vs. PHA plot around the trigger time

    TIME vs. DetID plot around the trigger time

    100 us light curve (15-350 keV)

    Spacecraft aspect plot

    Bright source in the pre-burst/pre-slew/post-slew images

    Pre-burst image of 15-350 keV band

    Time interval of the image:
    -177.419410 -1.720000
     
    # RAcent  DECcent POSerr Theta    Phi  PeakCts   SNR AngSep     Name
    #  [deg]    [deg]    ['] [deg]  [deg]                   [']
    254.4643  35.3576    2.6  36.4  177.6   1.0028   4.5    1.0	Her X-1                       
    268.5102  -1.4321    8.9  35.6  108.2   0.5606   1.3    8.6	SW J1753.5-0127               
    288.7893  10.9189    0.7  13.9   83.3   2.9902  16.5    1.7	GRS 1915+105                  
    299.5997  35.1956    0.5  12.3 -100.3   4.4316  24.0    0.6	Cyg X-1                       
    308.1456  40.9735    2.4  20.7  -90.1   0.9732   4.9    2.0	Cyg X-3                       
    326.0183  38.2367    6.1  30.5  -66.3  -0.4805  -1.9    8.8	Cyg X-2                       
    255.3011  19.2508    3.0  36.6  150.3   1.2483   3.9 ------	UNKNOWN                       
    235.8082  26.9268    2.2  52.6  166.2   3.6625   5.2 ------	UNKNOWN                       
    237.1932  65.7672    3.6  55.2 -145.3   3.6741   3.2 ------	UNKNOWN                       
    

    Pre-slew background subtracted image of 15-350 keV band

    Time interval of the image:
    -1.720000 13.280000
     
    # RAcent  DECcent POSerr Theta    Phi  PeakCts   SNR AngSep     Name
    #  [deg]    [deg]    ['] [deg]  [deg]                   [']
    254.5309  35.3521   72.0  36.3  177.6  -0.0093  -0.2    3.6	Her X-1                       
    268.4196  -1.6484    5.0  35.8  108.1   0.2514   2.3   12.1	SW J1753.5-0127               
    288.9714  10.9517   18.1  13.8   82.7   0.0298   0.6   10.2	GRS 1915+105                  
    299.6550  35.0148   12.2  12.2  -99.8  -0.0404  -1.0   11.6	Cyg X-1                       
    308.2824  41.0415   10.8  20.9  -90.0  -0.0548  -1.1    9.4	Cyg X-3                       
    326.3582  38.3753   10.3  30.8  -66.4  -0.0702  -1.1    9.3	Cyg X-2                       
    282.4895  -0.9570    2.1  27.3   86.4   0.3579   5.4 ------	UNKNOWN                       
    283.8197  63.2492    2.3  40.2 -127.8   0.4172   5.1 ------	UNKNOWN                       
    

    Post-slew image of 15-350 keV band

    Time interval of the image:
    84.180600 962.290000
     
    # RAcent  DECcent POSerr Theta    Phi  PeakCts   SNR AngSep     Name
    #  [deg]    [deg]    ['] [deg]  [deg]                   [']
    244.9904 -15.6508    0.8  39.9  135.6  22.8754  13.8    0.9	Sco X-1                       
    254.5170  35.3916    2.8  44.8 -143.7   4.9348   4.1    4.1	Her X-1                       
    263.0421 -24.7283    1.4  30.4  106.2   9.3179   8.5    2.1	GX 1+4                        
    268.4280  -1.4335    3.8  14.1  157.2   1.8201   3.0    3.8	SW J1753.5-0127               
    270.2842 -25.0791    5.0  26.9   94.5   2.1445   2.3    0.0	GX 5-1                        
    270.3012 -25.7438   90.1  27.5   93.8   0.1252   0.1    0.1	GRS 1758-258                  
    273.9225 -13.9812    3.4  15.6  102.2   1.7600   3.4    5.9	GX 17+2                       
    275.9800 -30.2251    8.8  29.9   80.7   1.3789   1.3    9.0	H1820-303                     
    285.0417 -24.8192    2.9  24.0   63.8   2.8612   4.0    6.1	HT1900.1-2455                 
    288.7979  10.9423    0.6  13.4  -83.4  13.0289  19.3    0.2	GRS 1915+105                  
    299.5788  35.1836    1.9  39.5  -88.6  21.7025   6.0    1.2	Cyg X-1                       
    307.7222 -39.3416    3.3  44.7   41.4   6.3245   3.6 ------	UNKNOWN                       
    312.9914  11.3254    3.3  32.6  -43.7   2.3838   3.5 ------	UNKNOWN                       
    293.2551  25.5568    3.3  28.4  -90.2   2.7326   3.5 ------	UNKNOWN                       
    243.8525  41.8626    5.2  55.2 -145.3  10.1032   2.3 ------	UNKNOWN                       
    324.4687  22.7150    2.6  47.1  -53.5  13.3033   4.4 ------	UNKNOWN                       
    
    Plot creation:
    Tue Jul  5 11:23:50 EDT 2011