batgrbproduct Analysis for Trigger=506070

Analysis Summary

Notes:

======================================================================
                  BAT GRB EVENT DATA PROCESSING REPORT
    Process Script Ver: batgrbproduct v2.46
    Process Start Time (local time): Mon Jan 13 19:26:22 EST 2014
             Host Name: batevent1
   Current Working Dir: /local/data/batevent/batevent_reproc/trigger506070
======================================================================

  Trigger: 00506070      Segment: 000

  BAT Trigger Time: 340992432.448   [s; MET]
      Trigger Stop: 340992433.472   [s; MET]
               UTC: 2011-10-22T16:07:04.954100    [includes UTCF correction] 
       Where From?: TDRSS position message

  BAT 
    RA: 275.871554015748   Dec: -23.667890214955  [deg; J2000]

     Catalogged Source?: NO
     Point Source?:      YES
     GRB Indicated?:     YES    [ by BAT flight software ]
     Image S/N Ratio:    12.41
     Image Trigger?:     NO
     Rate S/N Ratio:     18.6279360101972  [ if not an image trigger ]
     Image S/N Ratio:    12.41

  Flight Position:   [ source = BAT ]
    RA: 275.871554015748   Dec: -23.667890214955  [deg; J2000]

  Ground Position:   [ source = BAT pre-slew burst ]
    RA: 275.87151383965   Dec: -23.667052180839  [deg; J2000]  
        { 18h 23m 29.2s , -23d 40' 01.4" }
         +/- 0.923147456026262 [arcmin] (estimated 90% radius based on SNR)
         +/- 0.351109484324111 [arcmin] (formal 1-sigma fit error)
    SNR: 34.0981743313111
 
  Angular difference between Flight and Ground position is 0.050330 arcmin
 
  Partial Coding Fraction: 0.6640625    [ including projection effects ]

  Duration
     T90: 22.8199999928474 +/- 4.28261648505658
        Measured from: -14.2200000286102
                   to: 8.59999996423721     [s; relative to TRIGTIME]
     T50: 8.17599999904633 +/- 0.984893847997244
        Measured from: -4.66800004243851
                   to: 3.50799995660782     [s; relative to TRIGTIME]



  Fluence
     Peak Flux  (peak 1 second)
        Measured from: -1.46399998664856     
                   to: -0.46399998664856     [s; relative to TRIGTIME]
     Total Fluence        
        Measured from: -17.6920000314713     
                   to: 17.5920000076294     [s; relative to TRIGTIME]
     
             Band 1     Band 2     Band 3     Band 4
              15-25      25-50     50-100    100-350     keV
 Total     1.002979   1.414873   0.824569   0.199698
           0.048580   0.047392   0.041762   0.039635 [error]
 Peak      0.076016   0.119071   0.071882   0.008056
           0.008818   0.008976   0.007803   0.006799 [error]

     [ fluence units of on-axis counts / fully illuminated detector ] 

======================================================================
 
=== Fluence/Peak Flux Summary ===
 
              Model    Band1    Band2    Band3    Band4    Band5    Total      
                       15-25    25-50   50-100  100-350   15-150   15-350   keV
Fluence   Power-law 3.53e-07 5.65e-07 6.83e-07 1.62e-06 2.07e-06 3.22e-06   erg/cm2
              Error 2.60e-08 2.51e-08 4.25e-08 2.14e-07 9.95e-08 2.48e-07   erg/cm2
Peak flux Power-law 9.14e-01 8.14e-01 4.99e-01 4.64e-01 2.42e+00 2.69e+00   ph/cm2/s
              Error 1.31e-01 7.57e-02 6.52e-02 1.19e-01 2.24e-01 2.49e-01   ph/cm2/s
 
Fluence   Cutoff-PL 3.10e-07 6.06e-07 6.91e-07 5.46e-07 1.92e-06 2.15e-06   erg/cm2
              Error 3.15e-08 3.18e-08 4.72e-08 2.53e-07 1.18e-07 2.78e-07   erg/cm2
Peak flux Cutoff-PL 8.20e-01 8.85e-01 5.11e-01 1.85e-01 2.34e+00 2.40e+00   ph/cm2/s
              Error 1.52e-01 9.83e-02 7.36e-02 1.55e-01 2.33e-01 2.77e-01   ph/cm2/s
 
Fluence        Band 2.97e-07 6.18e-07 6.63e-07 1.03e-06 1.94e-06 2.62e-06   erg/cm2
              Error -------- 3.79e-08 5.61e-08 -------- -------- --------   erg/cm2
Peak flux      Band 8.27e-01 8.77e-01 5.14e-01 2.08e-01 2.36e+00 2.43e+00   ph/cm2/s
              Error -------- -------- -------- -------- -------- --------   ph/cm2/s
 
=== Time-averaged spectral analysis ===
 
Model Ph_index Ph_90err Epeak  Epeak_90err Norm     Nomr_90err chi2   dof
PL    1.725    0.080    -      -           6.33e-03 2.92e-04   71.870 57
CPL   0.933    0.384      63.7   12.2      1.63e-02 7.80e-03   56.810 56
 
 
=== 1-s peak spectral analysis ===
 
Model Ph_index Ph_90err Epeak  Epeak_90err Norm     Nomr_90err chi2   dof
PL    1.706    0.161    -      -           1.82e-02 1.84e-03   65.020 57
CPL   0.905    0.731      62.1   45.2      4.96e-02 5.57e-02   60.680 56
 
Model      : spectral model: simple power-law (PL) and cutoff power-law (CPL)
Ph_index   : photon index: E^-{Ph_index} (minus sign is not included in the index)
Ph_90err   : 90% error of the photon index
Epeak      : Epeak in keV
Epeak_90err: 90% error of Epeak
Norm       : normalization at 50 keV in PL model and at 1 keV in CPL model
Nomr_90err : 90% error of the normalization
chi2       : Chi-Squared
dof        : degree of freedom
 
=== T90/T50 calculation in the 50-300 keV band (BATSE band) using 64 ms lc ===
 
T90 in the 50-300 keV band: 20.736000 sec.
T50 in the 50-300 keV band: 8.768000 sec.
 
=== Table of the duration information ==
 
        Value   tstart    tstop
T100   35.284  -17.692   17.592
T90    22.820  -14.220    8.600
T50     8.176   -4.668    3.508
Peak    1.000   -1.464   -0.464
  • Click here for the BAT GCN circular template
  • Special notes of this burst

    Image

    Pre-slew 15.0-350.0 keV image (Event data)

    #   RAcent    DECcent   POSerr    Theta     Phi              Peak Cts       SNR   Name
      275.8715   -23.6671   0.0056    26.7661   145.9096         3.5045242     34.098 TRIG_00506070                 
     
    Foreground time interval of the image:
    -17.692  12.853 (delta_t =  30.545 [sec])
    Background time interval of the image:
    -90.947 -17.692 (delta_t =  73.255 [sec])
    

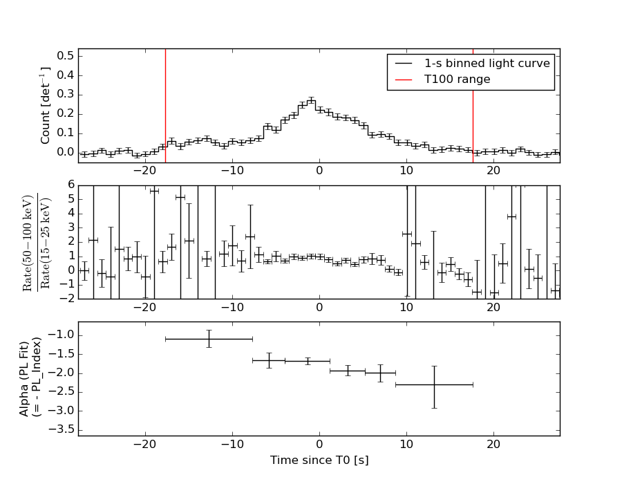
    Lightcurves

    Notes:

    1 s binning

    From T0-310 s to T0+310 s
    From T100_start - 20 s to T100_end + 30 s
    Full time interval

    64 ms binning

    Full time interval
    From T100_start to T100_end
    From T0-5 sec to T0+5 sec

    16 ms binning

    From T100_start-5 s to T100_start+5 s

    8 ms binning

    From T100_start-3 s to T100_start+3 s

    2 ms binning

    From T100_start-1 s to T100_start+1 s

    SN=5 or 10 sec. binning (whichever binning is satisfied first)

    SN=5 or 10 sec. binning (T < 200 sec)

    Quad-rate summed light curves (from T0-300s to T0+1000s)

    The mask-weighted light curves based on cleaned DPHs

    Spectral Evolution

    Spectra

    Notes:

    Time averaged spectrum fit using the average DRM

    Power-law model
    Time interval is from  -17.692 sec. to   17.592 sec.
     
    Spectral model in power-law:
    ------------------------------------------------------------
    Parameters  : value       lower 90%   higher 90%
    Photon index: 1.72544     ( -0.0800795   0.0808684 )
    Norm@50keV  : 6.33391E-03    ( -0.000292197   0.000290962 )
    ------------------------------------------------------------
    #Fit statistic : Chi-Squared =          71.87 using 59 PHA bins.
    # Reduced chi-squared =          1.261 for     57 degrees of freedom 
    # Null hypothesis probability =   8.877223e-02
     
    Photon flux (15-150 keV)    in 35.28 sec: 0.848829 ( -0.0381793  0.0382542 ) ph/cm2/s
    Energy fluence (15-150 keV)             : 2.06512e-06 ( -9.92479e-08  9.98114e-08 ) ergs/cm2
     
    
    Cutoff power-law model
    Time interval is from  -17.692 sec. to   17.592 sec.
    Spectral model in the cutoff power-law:
    ------------------------------------------------------------
    Parameters  : value       lower 90%   higher 90%
    Photon index: 0.932667     ( -0.401157   0.366054 )
    Epeak [keV] : 63.7034      ( -8.09739 16.3854 )
    Norm@50keV  : 1.63147E-02    ( -0.00568675   0.0099153 )
    ------------------------------------------------------------
    #Fit statistic : Chi-Squared =          56.81 using 59 PHA bins.
    # Reduced chi-squared =          1.014 for     56 degrees of freedom 
    # Null hypothesis probability =   4.447187e-01
     
    Photon flux (15-150 keV)    in 35.28 sec: 0.808199 ( -0.041863  0.041992 ) ph/cm2/s
    Energy fluence (15-150 keV)             : 1.91786e-06 ( -1.17006e-07  1.18308e-07 ) ergs/cm2
     
    
    Band function
    Time interval is from  -17.692 sec. to   17.592 sec.
     
    Spectral model in the Band function:
    ------------------------------------------------------------
    Parameters  : value       lower 90%   higher 90%
    alpha       : -0.932596   ( -0.309516   0.3854 )
    beta        : -10.0000    ( 10   3.55271e-15 )
    Epeak [keV] : 63.6908      ( -7.08962 16.3813 )
    Norm@50keV   : 1.63151E-02    ( -0.00569578   0.00992825 )
    ------------------------------------------------------------
    #Fit statistic : Chi-Squared =          56.81 using 59 PHA bins.
    # Reduced chi-squared =          1.033 for     55 degrees of freedom 
    # Null hypothesis probability =   4.074876e-01
     
    Photon flux (15-150 keV)    in 35.28 sec: 0.810592 (    ) ph/cm2/s
    Energy fluence (15-150 keV)             : 1.93994e-06 ( 0  0 ) ergs/cm2
     
    
    Single BB
     
    Spectral model blackbody:
    ------------------------------------------------------------
    Parameters  : value    Lower 90%  Upper 90%
    kT [keV]    : 12.7709  (  )
    R^2/D10^2   : 0.161165  (   )
    (R is the radius in km and D10 is the distance to the source in units of 10 kpc)
    ------------------------------------------------------------
    #Fit statistic : Chi-Squared =         122.28 using 59 PHA bins.
    # Reduced chi-squared =         2.1453 for     57 degrees of freedom 
    # Null hypothesis probability =   1.153999e-06
     
    Energy  Fluence     90% Error
    [keV]   [erg/cm2]   [erg/cm2]
    15- 25  1.967e-07   1.568e-08
    25- 50  6.644e-07   3.528e-08
    50-150  6.779e-07   6.562e-08
    15-150  1.539e-06   7.903e-08
    
    Thermal bremsstrahlung (OTTB)
     
     
    Spectral model: thermal bremsstrahlung
    ------------------------------------------------------------
    Parameters  : value         Lower 90%    Upper 90%
    kT [keV]    : 114.058       (-17.6902      31.5213)
    Norm        : 3.66753       (-0.233288     0.200174)
    ------------------------------------------------------------
    #Fit statistic : Chi-Squared =          59.44 using 59 PHA bins.
    # Reduced chi-squared =          1.043 for     57 degrees of freedom 
    # Null hypothesis probability =   3.869293e-01
     
    Energy  Fluence     90% Error
    [keV]   [erg/cm2]   [erg/cm2]
    15- 25  3.376e-07   2.729e-08
    25- 50  5.986e-07   3.510e-08
    50-150  1.041e-06   2.829e-07
    15-150  1.978e-06   3.006e-07
    
    Double BB
     
     
    Spectral model: bbodyrad<1> + bbodyrad<2>
    ------------------------------------------------------------
    Parameters  : value         Lower 90%    Upper 90%
    kT1 [keV]   : 7.86550        (-1.3464      1.29582)
    R1^2/D10^2  : 0.619306        (-0.220745      0.466227)
    kT2 [keV]   : 23.7322        (-4.5261      7.90262)
    R2^2/D10^2  : 1.10796E-02    (-0.00738326   0.0109911)
    ------------------------------------------------------------
    #Fit statistic : Chi-Squared =          57.20 using 59 PHA bins.
    # Reduced chi-squared =          1.040 for     55 degrees of freedom 
    # Null hypothesis probability =   3.935382e-01
     
    Energy  Fluence     90% Error
    [keV]   [erg/cm2]   [erg/cm2]
    15- 25  2.806e-07   4.359e-08
    25- 50  6.269e-07   1.118e-07
    50-150  1.013e-06   3.369e-07
    15-150  1.920e-06   4.556e-07
    

    Peak spectrum fit

    Power-law model
    Time interval is from   -1.464 sec. to   -0.464 sec.
     
    Spectral model in power-law:
    ------------------------------------------------------------
    Parameters  : value       lower 90%   higher 90%
    Photon index: 1.70637     ( -0.158409   0.162656 )
    Norm@50keV  : 1.82041E-02    ( -0.00184915   0.00182709 )
    ------------------------------------------------------------
    #Fit statistic : Chi-Squared =          65.02 using 59 PHA bins.
    # Reduced chi-squared =          1.141 for     57 degrees of freedom 
    # Null hypothesis probability =   2.175120e-01
     
    Photon flux (15-150 keV)    in 1 sec: 2.42310 ( -0.223874  0.224034 ) ph/cm2/s
    Energy fluence (15-150 keV)             : 1.68465e-07 ( -1.78342e-08  1.80743e-08 ) ergs/cm2
     
    
    Cutoff power-law model
    Time interval is from   -1.464 sec. to   -0.464 sec.
    Spectral model in the cutoff power-law:
    ------------------------------------------------------------
    Parameters  : value       lower 90%   higher 90%
    Photon index: 0.904608     ( -0.795597   0.666636 )
    Epeak [keV] : 62.1412      ( -13.4945 76.8419 )
    Norm@50keV  : 4.95835E-02    ( -0.0276122   0.083864 )
    ------------------------------------------------------------
    #Fit statistic : Chi-Squared =          60.68 using 59 PHA bins.
    # Reduced chi-squared =          1.084 for     56 degrees of freedom 
    # Null hypothesis probability =   3.110134e-01
     
    Photon flux (15-150 keV)    in 1 sec: 2.34457 ( -0.23275  0.23283 ) ph/cm2/s
    Energy fluence (15-150 keV)             : 1.56799e-07 ( -1.9784e-08  2.0357e-08 ) ergs/cm2
     
    
    Band function
    Time interval is from   -1.464 sec. to   -0.464 sec.
     
    Spectral model in the Band function:
    ------------------------------------------------------------
    Parameters  : value       lower 90%   higher 90%
    alpha       : -0.904554   ( -0.531782   0.929643 )
    beta        : -10.0000    ( 10   3.55271e-15 )
    Epeak [keV] : 62.1287      ( -12.8193 76.8386 )
    Norm@50keV   : 4.95845E-02    ( -0.0276109   0.0837895 )
    ------------------------------------------------------------
    #Fit statistic : Chi-Squared =          60.68 using 59 PHA bins.
    # Reduced chi-squared =          1.103 for     55 degrees of freedom 
    # Null hypothesis probability =   2.786198e-01
     
    Photon flux (15-150 keV)    in 1 sec: 2.35719 (    ) ph/cm2/s
    Energy fluence (15-150 keV)             : 1.618e-07 ( -1.61793e-07  -1.9185e-08 ) ergs/cm2
     
    
    Single BB
     
    Spectral model blackbody:
    ------------------------------------------------------------
    Parameters  : value    Lower 90%  Upper 90%
    kT [keV]    : 12.2338  (-1.28715  1.46553)
    R^2/D10^2   : 0.555491  (-0.188943   0.2805)
    (R is the radius in km and D10 is the distance to the source in units of 10 kpc)
    ------------------------------------------------------------
    #Fit statistic : Chi-Squared =          78.35 using 59 PHA bins.
    # Reduced chi-squared =          1.375 for     57 degrees of freedom 
    # Null hypothesis probability =   3.185513e-02
     
    Energy  Fluence     90% Error
    [keV]   [erg/cm2]   [erg/cm2]
    15- 25  1.761e-08   2.880e-09
    25- 50  5.668e-08   6.135e-09
    50-150  5.166e-08   1.074e-08
    15-150  1.259e-07   1.435e-08
    
    Thermal bremsstrahlung (OTTB)
     
     
    Spectral model: thermal bremsstrahlung
    ------------------------------------------------------------
    Parameters  : value         Lower 90%    Upper 90%
    kT [keV]    : 122.995       (-38.3446      67.9797)
    Norm        : 10.2632       (-1.13054     1.4235)
    ------------------------------------------------------------
    #Fit statistic : Chi-Squared =          61.51 using 59 PHA bins.
    # Reduced chi-squared =          1.079 for     57 degrees of freedom 
    # Null hypothesis probability =   3.178736e-01
     
    Energy  Fluence     90% Error
    [keV]   [erg/cm2]   [erg/cm2]
    15- 25  2.670e-08   3.225e-09
    25- 50  4.798e-08   6.360e-09
    50-150  8.666e-08   3.764e-08
    15-150  1.613e-07   4.285e-08
    
    Double BB
     
     
    Spectral model: bbodyrad<1> + bbodyrad<2>
    ------------------------------------------------------------
    Parameters  : value         Lower 90%    Upper 90%
    kT1 [keV]   : 6.92033        (-2.20587      2.44035)
    R1^2/D10^2  : 2.73209        (-1.61663      6.97349)
    kT2 [keV]   : 21.3417        (-5.70103      15.3193)
    R2^2/D10^2  : 5.11658E-02    (-0.0445341   0.136343)
    ------------------------------------------------------------
    #Fit statistic : Chi-Squared =          60.20 using 59 PHA bins.
    # Reduced chi-squared =          1.095 for     55 degrees of freedom 
    # Null hypothesis probability =   2.930264e-01
     
    Energy  Fluence     90% Error
    [keV]   [erg/cm2]   [erg/cm2]
    15- 25  2.514e-08   1.166e-08
    25- 50  5.051e-08   1.879e-08
    50-150  8.157e-08   4.433e-08
    15-150  1.572e-07   7.006e-08
    

    Pre-slew spectrum (Pre-slew PHA with pre-slew DRM)

    Power-law model
     
    Spectral model in power-law:
    ------------------------------------------------------------
    Parameters  : value       lower 90%   higher 90%
    Photon index: 1.70396     ( -0.0766365   0.0773607 )
    Norm@50keV  : 7.17286E-03    ( -0.00031702   0.000315779 )
    ------------------------------------------------------------
    #Fit statistic : Chi-Squared =          71.42 using 59 PHA bins.
    # Reduced chi-squared =          1.253 for     57 degrees of freedom 
    # Null hypothesis probability =   9.476280e-02
     
    Photon flux (15-150 keV)    in 30.54 sec: 0.953963 ( -0.0415057  0.0415852 ) ph/cm2/s
    Energy fluence (15-150 keV)             : 2.02758e-06 ( -9.37941e-08  9.4281e-08 ) ergs/cm2
     
    
    Cutoff power-law model
    Spectral model in the cutoff power-law:
    ------------------------------------------------------------
    Parameters  : value       lower 90%   higher 90%
    Photon index: 0.876144     ( -0.380085   0.349111 )
    Epeak [keV] : 64.7391      ( -7.76794 14.6116 )
    Norm@50keV  : 1.91541E-02    ( -0.00639297   0.0107735 )
    ------------------------------------------------------------
    #Fit statistic : Chi-Squared =          53.16 using 59 PHA bins.
    # Reduced chi-squared =         0.9493 for     56 degrees of freedom 
    # Null hypothesis probability =   5.829798e-01
     
    Photon flux (15-150 keV)    in 30.54 sec: 0.906814 ( -0.045225  0.045368 ) ph/cm2/s
    Energy fluence (15-150 keV)             : 1.88067e-06 ( -1.09196e-07  1.10381e-07 ) ergs/cm2
     
    
    Band function
     
    Spectral model in the Band function:
    ------------------------------------------------------------
    Parameters  : value       lower 90%   higher 90%
    alpha       : -0.876068   ( -0.259759   0.475211 )
    beta        : -10.0000    ( 10   3.55271e-15 )
    Epeak [keV] : 64.7259      ( -7.76701 14.6102 )
    Norm@50keV   : 1.91550E-02    ( -0.00640147   0.0107852 )
    ------------------------------------------------------------
    #Fit statistic : Chi-Squared =          53.16 using 59 PHA bins.
    # Reduced chi-squared =         0.9666 for     55 degrees of freedom 
    # Null hypothesis probability =   5.451714e-01
     
    Photon flux (15-150 keV)    in 30.54 sec: 0.911852 (    ) ph/cm2/s
    Energy fluence (15-150 keV)             : 1.90252e-06 ( 0  0 ) ergs/cm2
     
    

    S(25-50 keV) vs. S(50-100 keV) plot

    S(25-50 keV)  = 5.65e-07
    S(50-100 keV) = 6.83e-07
    

    T90 vs. Hardness ratio plot

    T90                                   = 22.8199999928474 sec.
    Hardness ratio (energy fluence ratio) = 1.20885
    

    Color vs. Color plot

    Count Ratio  (25-50 keV) / (15-25 keV) = 1.41067
    Count Ratio (50-100 keV) / (15-25 keV) = 0.82212
    

    Mask shadow pattern

    IMX = -4.177162113801573E-01, IMY = -2.827130661494183E-01
    

    TIME vs. PHA plot around the trigger time

    TIME vs. DetID plot around the trigger time

    100 us light curve (15-350 keV)

    Spacecraft aspect plot

    Bright source in the pre-burst/pre-slew/post-slew images

    Pre-burst image of 15-350 keV band

    Time interval of the image:
    -90.947410 -17.692000
     
    # RAcent  DECcent POSerr Theta    Phi  PeakCts   SNR AngSep     Name
    #  [deg]    [deg]    ['] [deg]  [deg]                   [']
    244.9799 -15.6363    0.5  15.2 -125.8   2.6745  22.2    0.2	Sco X-1                       
    254.2928  35.4181    7.1  40.4    7.5  -0.3167  -1.6    9.3	Her X-1                       
    256.1081 -37.6793    0.0  32.7 -170.5   0.0521   0.3   11.4	4U 1700-377                   
    256.2660 -36.3971    8.0  31.4 -170.8   0.2146   1.4    8.3	GX 349+2                      
    263.1290 -24.5691    0.0  20.8  171.1  -0.1462  -1.1   12.4	GX 1+4                        
    264.9482 -44.5689    0.0  40.4  179.8   0.1322   0.6   11.3	4U 1735-44                    
    268.4496  -1.5226    6.2  12.9   84.6   0.2461   1.8    6.5	SW J1753.5-0127               
    270.1277 -25.0788   10.1  24.3  157.1  -0.1597  -1.1    8.5	GX 5-1                        
    270.4532 -25.7328   10.8  25.0  157.4   0.1552   1.1    8.2	GRS 1758-258                  
    273.8852 -14.2038    5.9  19.9  128.6  -0.2729  -2.0   12.3	GX 17+2                       
    276.0905 -30.4031   22.5  31.7  155.3   0.0918   0.5    8.8	H1820-303                     
    284.9022 -25.0045   12.8  34.2  138.5  -0.2063  -0.9    8.9	HT1900.1-2455                 
    288.8648  10.9537    9.1  36.4   73.6  -0.4469  -1.3    3.9	GRS 1915+105                  
    262.9233 -33.8455    5.0  29.6  177.9   0.3325   2.3    3.3	GX 354-0                      
    276.0843  31.8441    3.4  41.5   35.8   0.8993   3.4 ------	UNKNOWN                       
    232.6684  38.9634    2.1  48.9  -14.4   1.3782   5.4 ------	UNKNOWN                       
    213.1725  19.6776    3.3  48.8  -48.6   2.3275   3.5 ------	UNKNOWN                       
    

    Pre-slew background subtracted image of 15-350 keV band

    Time interval of the image:
    -17.692000 12.852580
     
    # RAcent  DECcent POSerr Theta    Phi  PeakCts   SNR AngSep     Name
    #  [deg]    [deg]    ['] [deg]  [deg]                   [']
    245.0054 -15.4897   14.5  15.1 -125.4  -0.0676  -0.8    9.2	Sco X-1                       
    254.6371  35.2126    0.0  40.2    7.9  -0.0449  -0.3   11.7	Her X-1                       
    256.1365 -37.9782    5.6  33.0 -170.5   0.2000   2.1   10.7	4U 1700-377                   
    256.4991 -36.3826    9.9  31.4 -171.1   0.1114   1.2    3.9	GX 349+2                      
    263.1914 -24.8634    0.0  21.1  171.2   0.1735   2.0   12.2	GX 1+4                        
    264.6835 -44.5028   25.2  40.3 -179.9  -0.0577  -0.5    4.1	4U 1735-44                    
    268.5229  -1.4651    5.8  13.0   84.4  -0.1750  -2.0    9.3	SW J1753.5-0127               
    270.4196 -24.9855   15.7  24.3  156.4   0.0658   0.7    9.3	GX 5-1                        
    270.2947 -25.7354    4.6  24.9  157.7   0.2256   2.5    0.6	GRS 1758-258                  
    273.8875 -14.2151    0.0  19.9  128.6   0.1415   1.5   12.7	GX 17+2                       
    275.9301 -30.3766 1399.6  31.6  155.5  -0.0010  -0.0    0.6	H1820-303                     
    285.0577 -24.8391   21.1  34.2  138.1   0.0772   0.5    5.0	HT1900.1-2455                 
    288.9256  11.0783    0.0  36.5   73.4  -0.1503  -0.7   10.9	GRS 1915+105                  
    263.1705 -33.9525  273.4  29.7  177.6  -0.0039  -0.0   11.5	GX 354-0                      
    275.8715 -23.6671    0.3  26.8  145.9   3.5056  34.1 ------	UNKNOWN                       
    265.0294 -55.7953    2.4  51.3 -176.8   1.0029   4.8 ------	UNKNOWN                       
    214.0132   7.5224    2.6  43.7  -64.0   1.5668   4.4 ------	UNKNOWN                       
    

    Post-slew image of 15-350 keV band

    Time interval of the image:
    62.452580 962.582000
     
    # RAcent  DECcent POSerr Theta    Phi  PeakCts   SNR AngSep     Name
    #  [deg]    [deg]    ['] [deg]  [deg]                   [']
    244.9815 -15.6409    0.4  30.1  -77.9  30.7569  32.0    0.1	Sco X-1                       
    255.8236 -37.6748    0.0  22.1 -131.6   0.3615   0.6   12.8	4U 1700-377                   
    256.3770 -36.4866    2.7  21.1 -129.5   2.6723   4.2    4.7	GX 349+2                      
    262.8520 -24.5934   17.7  11.9  -94.8   0.4280   0.7   12.5	GX 1+4                        
    264.8711 -44.3649    2.8  22.6 -156.8   2.5701   4.1    7.5	4U 1735-44                    
    268.3597  -1.4376    2.8  23.4  -16.8   2.4635   4.2    1.0	SW J1753.5-0127               
    270.4089 -25.0826    4.2   5.2 -104.8   1.6880   2.8    6.8	GX 5-1                        
    270.3364 -25.7461    3.5   5.4 -111.4   2.0629   3.4    1.8	GRS 1758-258                  
    274.0711 -14.0471    3.5   9.8   -7.9   2.1445   3.3    3.9	GX 17+2                       
    275.9640 -30.3358    2.5   6.7 -178.3   2.6939   4.6    2.8	H1820-303                     
    285.0340 -24.9199   39.4   8.4  102.9  -0.1846  -0.3    0.1	HT1900.1-2455                 
    288.8039  11.0215    4.5  36.9   23.9   2.5668   2.5    4.6	GRS 1915+105                  
    262.9250 -33.8098    2.2  15.2 -132.4   2.9800   5.3    3.5	GX 354-0                      
    327.4935 -52.5729    3.7  48.4  142.8   9.7641   3.1 ------	UNKNOWN                       
    271.8947   8.6343    4.4  32.5   -4.9   2.0476   2.6 ------	UNKNOWN                       
    265.8207 -80.5282    3.8  57.0 -175.6  10.2972   3.0 ------	UNKNOWN                       
    255.2399 -41.6542    1.2  24.9 -138.9   6.1754   9.6 ------	UNKNOWN                       
    
    Plot creation:
    Sat May 30 21:20:39 EDT 2015