batgrbproduct Analysis for Trigger=520928

Analysis Summary

Notes:

======================================================================
                  BAT GRB EVENT DATA PROCESSING REPORT
    Process Script Ver: batgrbproduct v2.46
    Process Start Time (local time): Fri Apr 27 11:04:00 EDT 2012
             Host Name: gcn5
   Current Working Dir: /local/data/raid16/prebascript_archive/trigger520928/GCN5_download_cron
======================================================================

  Trigger: 00520928      Segment: 000

  BAT Trigger Time: 357133104   [s; MET]
      Trigger Stop: 357133168   [s; MET]
               UTC: 2012-04-26T11:38:15.857520    [includes UTCF correction] 
       Where From?: TDRSS position message

  BAT 
    RA: 75.7196373481322   Dec: -26.3145506802809  [deg; J2000]

     Catalogged Source?: NO
     Point Source?:      YES
     GRB Indicated?:     YES    [ by BAT flight software ]
     Image S/N Ratio:    7.05
     Image Trigger?:     YES
     Rate S/N Ratio:     0  [ if not an image trigger ]
     Image S/N Ratio:    7.05

  Flight Position:   [ source = BAT ]
    RA: 75.7196373481322   Dec: -26.3145506802809  [deg; J2000]

  Ground Position:   [ source = BAT pre-slew burst ]
    RA: 75.723367565164   Dec: -26.3572570180807  [deg; J2000]  
        { 05h 02m 53.6s , -26d 21' 26.1" }
         +/- 3.3324740741614 [arcmin] (estimated 90% radius based on SNR)
         +/- 2.13827156987774 [arcmin] (formal 1-sigma fit error)
    SNR: 5.44889821181927
 
  Angular difference between Flight and Ground position is 2.570219 arcmin
 
  Partial Coding Fraction: 0.609375    [ including projection effects ]

  Duration
     T90: 64 +/- 
        Measured from: 0
                   to: 64     [s; relative to TRIGTIME]
     T50: 64 +/- 
        Measured from: 0
                   to: 64     [s; relative to TRIGTIME]

    WARNING: battblocks failed.  Used TDRSS fore/background intervals

  Fluence
     Peak Flux  (peak 64 second)
        Measured from: 0     
                   to: 64     [s; relative to TRIGTIME]
     Total Fluence        
        Measured from: 0     
                   to: 64     [s; relative to TRIGTIME]
     
             Band 1     Band 2     Band 3     Band 4
              15-25      25-50     50-100    100-350     keV
 Total     0.200654   0.212361  -0.029967  -0.023524
           0.053280   0.054499   0.048030   0.041517 [error]
 Peak      0.200654   0.212361  -0.029967  -0.023524
           0.053280   0.054499   0.048030   0.041517 [error]

     [ fluence units of on-axis counts / fully illuminated detector ] 

======================================================================
 
=== Fluence/Peak Flux Summary ===
 
              Model    Band1    Band2    Band3    Band4    Band5    Total      
                       15-25    25-50   50-100  100-350   15-150   15-350   keV
Fluence   Power-law 6.96e-08 6.35e-08 3.97e-08 3.76e-08 1.88e-07 2.14e-07   erg/cm2
              Error 2.56e-08 2.62e-08 2.92e-08 5.64e-08 8.00e-08 1.09e-07   erg/cm2
Peak flux Power-law 3.67e-02 1.89e-02 5.92e-03 2.34e-03 6.28e-02 6.43e-02   ph/cm2/s
              Error 1.38e-02 7.53e-03 4.20e-03 3.27e-03 2.17e-02 2.24e-02   ph/cm2/s
 
Fluence   Cutoff-PL 6.72e-08 9.91e-08 8.89e-09 5.52e-12 1.75e-07 0.00e+00   erg/cm2
              Error 2.97e-08 4.34e-08 2.03e-08 1.27e-09 6.09e-08 0.00e+00   erg/cm2
Peak flux Cutoff-PL 3.38e-02 3.01e-02 1.56e-03 5.20e-07 6.55e-02 6.55e-02   ph/cm2/s
              Error 1.56e-02 1.20e-02 3.27e-03 1.10e-04 2.04e-02 2.04e-02   ph/cm2/s
 
Fluence        Band 0.00e+00 0.00e+00 0.00e+00 0.00e+00 0.00e+00 0.00e+00   erg/cm2
              Error 0.00e+00 0.00e+00 0.00e+00 0.00e+00 0.00e+00 0.00e+00   erg/cm2
Peak flux      Band 3.34e-02 3.03e-02 6.53e-02 0.00e+00 0.00e+00 0.00e+00   ph/cm2/s
              Error 1.51e-02 2.01e-02 0.00e+00 0.00e+00 0.00e+00 0.00e+00   ph/cm2/s
 
=== Time-averaged spectral analysis ===
 
Model Ph_index Ph_90err Epeak  Epeak_90err Norm     Nomr_90err chi2   dof
PL    2.682    0.670    -      -           2.85e-04 1.63e-04   57.670 57
CPL  -4.367    0.354      27.8    7.2      1.86e+01 0.00e+00   50.280 56
 
The chi2 of BB fit is 50.71 which shows a significant improvement in the fit over a PL.
Check the BB fit.
 
=== 1-s peak spectral analysis ===
 
Model Ph_index Ph_90err Epeak  Epeak_90err Norm     Nomr_90err chi2   dof
PL    2.682    0.670    -      -           2.85e-04 1.63e-04   57.670 57
CPL  -4.367    0.354      27.8    7.2      1.86e+01 0.00e+00   50.280 56
 
Model      : spectral model: simple power-law (PL) and cutoff power-law (CPL)
Ph_index   : photon index: E^-{Ph_index} (minus sign is not included in the index)
Ph_90err   : 90% error of the photon index
Epeak      : Epeak in keV
Epeak_90err: 90% error of Epeak
Norm       : normalization at 50 keV in PL model and at 1 keV in CPL model
Nomr_90err : 90% error of the normalization
chi2       : Chi-Squared
dof        : degree of freedom
 
=== T90/T50 calculation in the 50-300 keV band (BATSE band) using 64 ms lc ===
 
T90 in the 50-300 keV band: 0.000000 sec.
T50 in the 50-300 keV band: 0.000000 sec.
 
=== Table of the duration information ==
 
        Value   tstart    tstop
T100   64.000    0.000   64.000
T90    64.000    0.000   64.000
T50    64.000    0.000   64.000
Peak   64.000    0.000   64.000
  • Click here for the BAT GCN circular template

    Image

    Pre-slew 15-350 keV image (Event data; bkg subtracted)

    #   RAcent  DECcent POSerr  Theta    Phi     Peak Cts     SNR  Name
       75.7234 -26.3573 0.0351   39.0  -14.4       0.5560     5.4  TRIG_00520928       
    ------------------------------------------
     
    Foreground time interval of the image:
      0.000  22.470 (delta_t =  22.470 [sec])
     24.000  64.000 (delta_t =  40.000 [sec])
    Background time interval of the image:
    

    Lightcurves

    Notes:

    1 s binning

    From T0-310 s to T0+310 s
    From T100_start - 20 s to T100_end + 30 s
    Full time interval

    64 ms binning

    Full time interval
    From T100_start to T100_end
    From T0-5 sec to T0+5 sec

    16 ms binning

    From T100_start-5 s to T100_start+5 s
    Blue+Cyan dotted lines: Time interval of the scaled map
    From 0.000000 to 64.000000
    

    8 ms binning

    From T100_start-3 s to T100_start+3 s
    Blue+Cyan dotted lines: Time interval of the scaled map
    From 0.000000 to 64.000000
    

    2 ms binning

    From T100_start-1 s to T100_start+1 s
    Blue+Cyan dotted lines: Time interval of the scaled map
    From 0.000000 to 64.000000
    

    SN=5 or 10 sec. binning (whichever binning is satisfied first)

    SN=5 or 10 sec. binning (T < 200 sec)

    The mask-weighted light curves based on cleaned DPHs

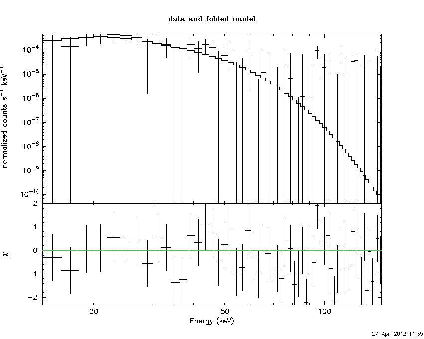
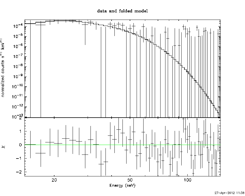
    Spectra

    Notes:

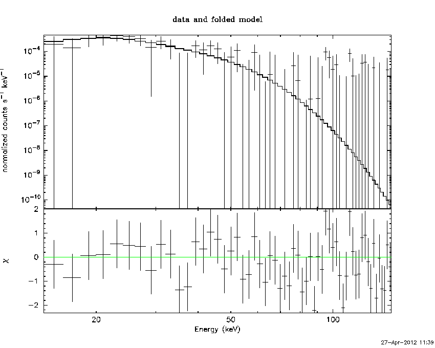
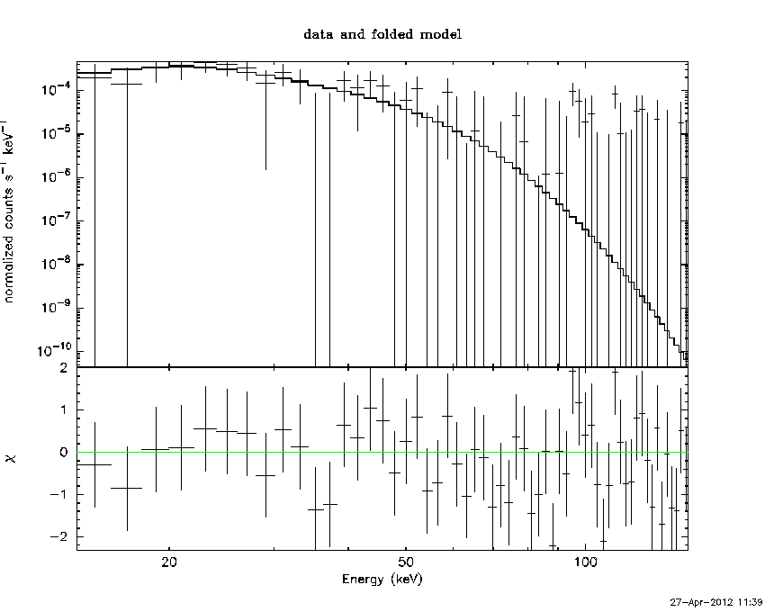
    Time averaged spectrum fit using the pre-slew DRM

    Power-law model
    Multiple GTIs in the spectrum
    tstart tstop
    0.000000 22.470000
    24.000000 64.000000
     
    Spectral model in power-law:
    ------------------------------------------------------------
    Parameters  : value       lower 90%   higher 90%
    Photon index: 2.68234     ( -0.578103   0.761742 )
    Norm@50keV  : 2.84846E-04    ( -0.000154642   0.000171563 )
    ------------------------------------------------------------
    # Chi-Squared =          57.67 using 59 PHA bins.
    # Reduced chi-squared =          1.012 for     57 degrees of freedom 
    # Null hypothesis probability =   4.503662e-01
     
    Photon flux (15-150 keV)    in 62.47 sec: 6.28498E-02 ( -0.0216537  0.0217811 ) ph/cm2/s
    Energy fluence (15-150 keV)             : 1.88258e-07 ( -7.50277e-08  8.49361e-08 ) ergs/cm2
     
    
    Cutoff power-law model
    Multiple GTIs in the spectrum
    tstart tstop
    0.000000 22.470000
    24.000000 64.000000
    Spectral model in the cutoff power-law:
    ------------------------------------------------------------
    Parameters  : value       lower 90%   higher 90%
    Photon index: -4.36660     ( 2.96915   3.67663 )
    Epeak [keV] : 27.8125      ( -7.6139 6.72715 )
    Norm@50keV  : 18.6051    (     )
    ------------------------------------------------------------
    # Chi-Squared =          50.28 using 59 PHA bins.
    # Reduced chi-squared =         0.8978 for     56 degrees of freedom 
    # Null hypothesis probability =   6.903896e-01
     
    Photon flux (15-150 keV)    in 62.47 sec: 6.54778E-02 ( -0.020317  0.0204999 ) ph/cm2/s
    Energy fluence (15-150 keV)             : 1.75195e-07 ( -5.94739e-08  6.23313e-08 ) ergs/cm2
     
    
    Band function
    Multiple GTIs in the spectrum
    tstart tstop
    0.000000 22.470000
    24.000000 64.000000
     
    Spectral model in the Band function:
    ------------------------------------------------------------
    Parameters  : value       lower 90%   higher 90%
    alpha       : 4.09721   ( -8.11564   -7.40699 )
    beta        : -9.99810    ( 1676.85   1686.85 )
    Epeak [keV] : 28.4609      ( -5.32719 6.29296 )
    Norm@50keV   : 10.4695    ( -10.4727   66.2318 )
    ------------------------------------------------------------
    # Chi-Squared =          50.30 using 59 PHA bins.
    # Reduced chi-squared =         0.9146 for     55 degrees of freedom 
    # Null hypothesis probability =   6.543936e-01
     
    Photon flux (15-150 keV)    in 62.47 sec:  (    ) ph/cm2/s
    Energy fluence (15-150 keV)             : 0 ( 0  0 ) ergs/cm2
     
    
    Single BB
     
    Spectral model blackbody:
    ------------------------------------------------------------
    Parameters  : value    Lower 90%  Upper 90%
    kT [keV]    : 6.96793  (-1.62215  1.96015)
    R^2/D10^2   : 0.145002  (-0.145002   0.289494)
    (R is the radius in km and D10 is the distance to the source in units of 10 kpc)
    ------------------------------------------------------------
    # Chi-Squared =          50.71 using 59 PHA bins.
    # Reduced chi-squared =         0.8897 for     57 degrees of freedom 
    # Null hypothesis probability =   7.085026e-01
     
    Energy  Fluence     90% Error
    [keV]   [erg/cm2]   [erg/cm2]
    15- 25  7.032e-08   4.292e-08
    25- 50  9.544e-08   5.882e-08
    50-150  1.556e-08   1.287e-08
    15-150  1.813e-07   1.111e-07
    
    Thermal bremsstrahlung (OTTB)
     
     
    Spectral model: thermal bremsstrahlung
    ------------------------------------------------------------
    Parameters  : value         Lower 90%    Upper 90%
    kT [keV]    : 23.8872       (-11.088      20.4819)
    Norm        : 0.668804       (-0.316548     0.580774)
    ------------------------------------------------------------
    # Chi-Squared =          54.16 using 59 PHA bins.
    # Reduced chi-squared =         0.9501 for     57 degrees of freedom 
    # Null hypothesis probability =   5.824673e-01
     
    Energy  Fluence     90% Error
    [keV]   [erg/cm2]   [erg/cm2]
    15- 25  7.423e-08   4.385e-08
    25- 50  7.385e-08   4.701e-08
    50-150  2.935e-08   2.977e-08
    15-150  1.774e-07   1.196e-07
    
    Double BB
     
     
    Spectral model: bbodyrad<1> + bbodyrad<2>
    ------------------------------------------------------------
    Parameters  : value         Lower 90%    Upper 90%
    kT1 [keV]   : 6.95380        (-6.95914      -6.95914)
    R1^2/D10^2  : 0.103882        (-0.103798      -0.103798)
    kT2 [keV]   : 6.99024        (-6.97231      -6.97231)
    R2^2/D10^2  : 4.14337E-02    (-0.0413157   -0.0413157)
    ------------------------------------------------------------
    # Chi-Squared =          50.71 using 59 PHA bins.
    # Reduced chi-squared =         0.9220 for     55 degrees of freedom 
    # Null hypothesis probability =   6.390577e-01
     
    Energy  Fluence     90% Error
    [keV]   [erg/cm2]   [erg/cm2]
    15- 25  7.035e-08   1.963e+00
    25- 50  9.539e-08   1.361e+01
    50-150  1.552e-08   4.036e+02
    15-150  1.813e-07   3.633e+02
    

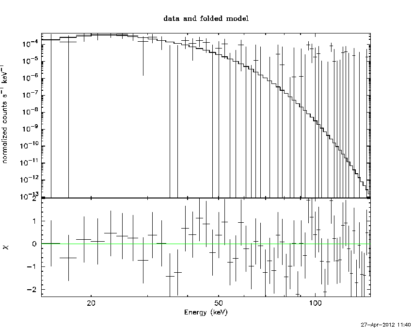
    Peak spectrum fit

    Power-law model
    Time interval is from   24.000 sec. to   64.000 sec.
     
    Spectral model in power-law:
    ------------------------------------------------------------
    Parameters  : value       lower 90%   higher 90%
    Photon index: 2.68234     ( -0.578103   0.761742 )
    Norm@50keV  : 2.84846E-04    ( -0.000154642   0.000171563 )
    ------------------------------------------------------------
    # Chi-Squared =          57.67 using 59 PHA bins.
    # Reduced chi-squared =          1.012 for     57 degrees of freedom 
    # Null hypothesis probability =   4.503662e-01
     
    Photon flux (15-150 keV)    in 62.47 sec: 6.28498E-02 ( -0.0216537  0.0217811 ) ph/cm2/s
    Energy fluence (15-150 keV)             : 1.88258e-07 ( -7.50277e-08  8.49361e-08 ) ergs/cm2
     
    
    Cutoff power-law model
    Time interval is from   24.000 sec. to   64.000 sec.
    Spectral model in the cutoff power-law:
    ------------------------------------------------------------
    Parameters  : value       lower 90%   higher 90%
    Photon index: -4.36660     ( 2.96915   3.67663 )
    Epeak [keV] : 27.8125      ( -7.6139 6.72715 )
    Norm@50keV  : 18.6051    (     )
    ------------------------------------------------------------
    # Chi-Squared =          50.28 using 59 PHA bins.
    # Reduced chi-squared =         0.8978 for     56 degrees of freedom 
    # Null hypothesis probability =   6.903896e-01
     
    Photon flux (15-150 keV)    in 62.47 sec: 6.54778E-02 ( -0.020317  0.0204999 ) ph/cm2/s
    Energy fluence (15-150 keV)             : 1.75195e-07 ( -5.94739e-08  6.23313e-08 ) ergs/cm2
     
    
    Band function
    Time interval is from   24.000 sec. to   64.000 sec.
     
    Spectral model in the Band function:
    ------------------------------------------------------------
    Parameters  : value       lower 90%   higher 90%
    alpha       : 4.09721   ( -17.3273   -7.40699 )
    beta        : -9.99810    ( 1676.85   1686.85 )
    Epeak [keV] : 28.4609      ( -5.32719 6.29296 )
    Norm@50keV   : 10.4695    ( -10.4727   66.2318 )
    ------------------------------------------------------------
    # Chi-Squared =          50.30 using 59 PHA bins.
    # Reduced chi-squared =         0.9146 for     55 degrees of freedom 
    # Null hypothesis probability =   6.543936e-01
     
    Photon flux (15-150 keV)    in 62.47 sec:  (    ) ph/cm2/s
    Energy fluence (15-150 keV)             : 0 ( 0  0 ) ergs/cm2
     
    
    Single BB
     
    Spectral model blackbody:
    ------------------------------------------------------------
    Parameters  : value    Lower 90%  Upper 90%
    kT [keV]    : 6.96793  (-1.62215  1.96015)
    R^2/D10^2   : 0.145002  (-0.145002   0.289494)
    (R is the radius in km and D10 is the distance to the source in units of 10 kpc)
    ------------------------------------------------------------
    # Chi-Squared =          50.71 using 59 PHA bins.
    # Reduced chi-squared =         0.8897 for     57 degrees of freedom 
    # Null hypothesis probability =   7.085026e-01
     
    Energy  Fluence     90% Error
    [keV]   [erg/cm2]   [erg/cm2]
    15- 25  7.032e-08   4.129e-08
    25- 50  9.544e-08   6.028e-08
    50-150  1.556e-08   1.269e-08
    15-150  1.813e-07   1.106e-07
    
    Thermal bremsstrahlung (OTTB)
     
     
    Spectral model: thermal bremsstrahlung
    ------------------------------------------------------------
    Parameters  : value         Lower 90%    Upper 90%
    kT [keV]    : 23.8872       (-11.088      20.4819)
    Norm        : 0.668804       (-0.316548     0.580774)
    ------------------------------------------------------------
    # Chi-Squared =          54.16 using 59 PHA bins.
    # Reduced chi-squared =         0.9501 for     57 degrees of freedom 
    # Null hypothesis probability =   5.824673e-01
     
    Energy  Fluence     90% Error
    [keV]   [erg/cm2]   [erg/cm2]
    15- 25  7.423e-08   4.467e-08
    25- 50  7.385e-08   4.795e-08
    50-150  2.935e-08   2.847e-08
    15-150  1.774e-07   1.178e-07
    
    Double BB
     
     
    Spectral model: bbodyrad<1> + bbodyrad<2>
    ------------------------------------------------------------
    Parameters  : value         Lower 90%    Upper 90%
    kT1 [keV]   : 6.95380        (-6.95914      -6.95914)
    R1^2/D10^2  : 0.103882        (-0.103798      -0.103798)
    kT2 [keV]   : 6.99024        (-6.97231      -6.97231)
    R2^2/D10^2  : 4.14337E-02    (-0.0413157   -0.0413157)
    ------------------------------------------------------------
    # Chi-Squared =          50.71 using 59 PHA bins.
    # Reduced chi-squared =         0.9220 for     55 degrees of freedom 
    # Null hypothesis probability =   6.390577e-01
     
    Energy  Fluence     90% Error
    [keV]   [erg/cm2]   [erg/cm2]
    15- 25  7.035e-08   1.637e+00
    25- 50  9.539e-08   1.507e+01
    50-150  1.552e-08   4.104e+02
    15-150  1.813e-07   3.936e+02
    

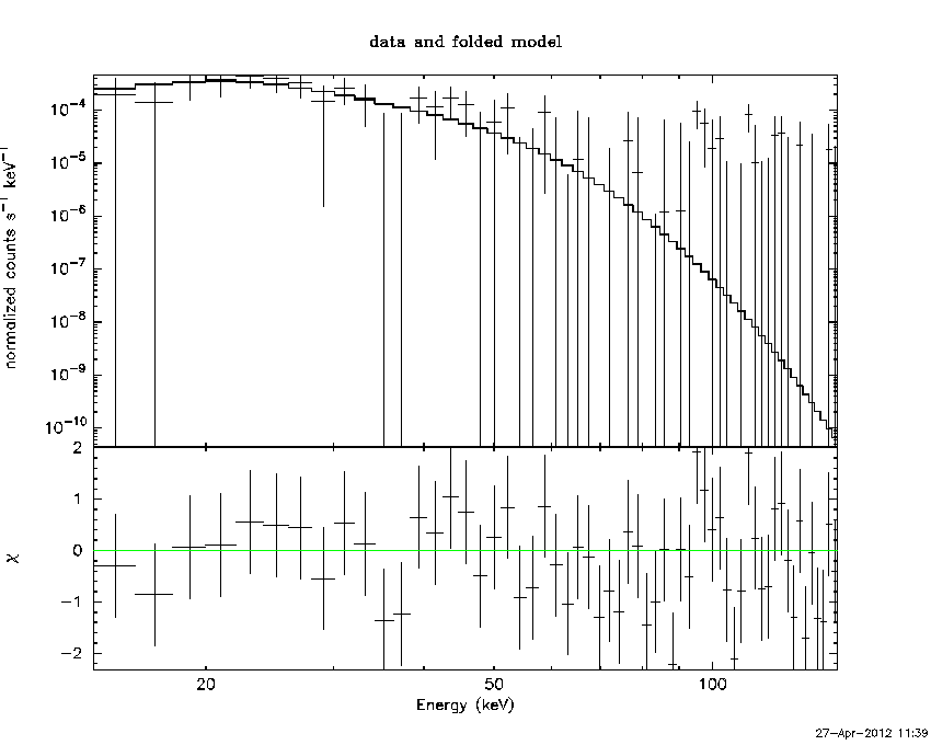
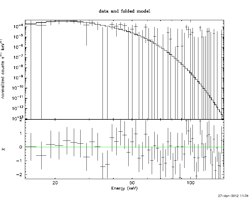
    Pre-slew spectrum (Pre-slew PHA with pre-slew DRM)

    Power-law model
     
    Spectral model in power-law:
    ------------------------------------------------------------
    Parameters  : value       lower 90%   higher 90%
    Photon index: 2.68234     ( -0.578103   0.761742 )
    Norm@50keV  : 2.84846E-04    ( -0.000154642   0.000171563 )
    ------------------------------------------------------------
    # Chi-Squared =          57.67 using 59 PHA bins.
    # Reduced chi-squared =          1.012 for     57 degrees of freedom 
    # Null hypothesis probability =   4.503662e-01
     
    Photon flux (15-150 keV)    in 62.47 sec: 6.28498E-02 ( -0.0216537  0.0217811 ) ph/cm2/s
    Energy fluence (15-150 keV)             : 1.88258e-07 ( -7.50277e-08  8.49361e-08 ) ergs/cm2
     
    
    Cutoff power-law model
    Spectral model in the cutoff power-law:
    ------------------------------------------------------------
    Parameters  : value       lower 90%   higher 90%
    Photon index: -4.36660     ( 2.96915   3.67663 )
    Epeak [keV] : 27.8125      ( -7.6139 6.72715 )
    Norm@50keV  : 18.6051    (     )
    ------------------------------------------------------------
    # Chi-Squared =          50.28 using 59 PHA bins.
    # Reduced chi-squared =         0.8978 for     56 degrees of freedom 
    # Null hypothesis probability =   6.903896e-01
     
    Photon flux (15-150 keV)    in 62.47 sec: 6.54778E-02 ( -0.020317  0.0204999 ) ph/cm2/s
    Energy fluence (15-150 keV)             : 1.75195e-07 ( -5.94739e-08  6.23313e-08 ) ergs/cm2
     
    
    Band function
     
    Spectral model in the Band function:
    ------------------------------------------------------------
    Parameters  : value       lower 90%   higher 90%
    alpha       : 3.76579   ( -5.21681   -3.3179 )
    beta        : -9.99862    ( 2298.38   2308.38 )
    Epeak [keV] : 27.8667      ( -8.09378 6.57224 )
    Norm@50keV   : 6.93896    ( -6.93897   18.2755 )
    ------------------------------------------------------------
    # Chi-Squared =          50.27 using 59 PHA bins.
    # Reduced chi-squared =         0.9139 for     55 degrees of freedom 
    # Null hypothesis probability =   6.557266e-01
     
    Photon flux (15-150 keV)    in 62.47 sec:  (    ) ph/cm2/s
    Energy fluence (15-150 keV)             : 0 ( 0  0 ) ergs/cm2
     
    

    S(25-50 keV) vs. S(50-100 keV) plot

    S(25-50 keV)  = 6.3502e-08
    S(50-100 keV) = 3.97385e-08
    

    T90 vs. Hardness ratio plot

    T90                                   = 64 sec.
    Hardness ratio (energy fluence ratio) = 0.625783
    

    Color vs. Color plot

    Count Ratio  (25-50 keV) / (15-25 keV) = 1.05834
    Count Ratio (50-100 keV) / (15-25 keV) = -0.149347
    

    Mask shadow pattern

    IMX = 7.857559520350882E-01, IMY = 2.012495020605904E-01
    

    TIME vs. PHA plot around the trigger time

    Blue+Cyan dotted lines: Time interval of the scaled map
    From 0.000000 to 64.000000
    

    TIME vs. DetID plot around the trigger time

    Blue+Cyan dotted lines: Time interval of the scaled map
    From 0.000000 to 64.000000
    

    100 us light curve (15-350 keV)

    Blue+Cyan dotted lines: Time interval of the scaled map
    From 0.000000 to 64.000000
    

    Spacecraft aspect plot

    Bright source in the pre-burst/pre-slew/post-slew images

    Pre-burst image of 15-350 keV band

    Time interval of the image:
     
    

    Pre-slew background subtracted image of 15-350 keV band

    Time interval of the image:
    0.000000 22.470000
    24.000000 64.000000
     
    # RAcent  DECcent POSerr Theta    Phi  PeakCts   SNR AngSep     Name
    #  [deg]    [deg]    ['] [deg]  [deg]                   [']
    336.4604 -27.5063    2.4  46.9  156.1   1.0166   4.8 ------	UNKNOWN                       
     96.3989 -32.6959    3.0  53.7    2.5   1.0036   3.9 ------	UNKNOWN                       
     52.1810 -14.6675    2.5  26.9  -55.5   0.4113   4.7 ------	UNKNOWN                       
    358.9160   5.4709    3.4  49.5 -150.1   0.6336   3.4  334.6	UNKNOWN                       
     84.1811 -12.3066    2.5  52.7  -26.6   1.0644   4.5 ------	UNKNOWN                       
    

    Post-slew image of 15-350 keV band

    Time interval of the image:
    143.700600 963.041900
     
    # RAcent  DECcent POSerr Theta    Phi  PeakCts   SNR AngSep     Name
    #  [deg]    [deg]    ['] [deg]  [deg]                   [']
     83.6266  22.0193    0.4  48.9  -29.9  32.4730  32.0    0.5	Crab                          
    114.7160   7.4262    3.0  50.7   14.2   5.1071   3.8 ------	UNKNOWN                       
     45.8149 -59.6484    3.4  39.2  163.8   2.5733   3.4 ------	UNKNOWN                       
     74.3724 -32.5847    2.7   6.4  150.5   1.7874   4.2 ------	UNKNOWN                       
      6.4021 -47.0660    5.6  57.3 -170.4   4.3440   2.1 ------	UNKNOWN                       
     71.5764  24.2935    3.4  50.7  -44.5   7.5157   3.4 ------	UNKNOWN                       
    
    Plot creation:
    Fri Apr 27 11:41:14 EDT 2012