batgrbproduct Analysis for Trigger=524949

Analysis Summary

Notes:

======================================================================
                  BAT GRB EVENT DATA PROCESSING REPORT
    Process Script Ver: batgrbproduct v2.46
    Process Start Time (local time): Sun Jun 24 00:52:27 EDT 2012
             Host Name: gcn5
   Current Working Dir: /local/data/raid16/prebascript_archive/trigger524949/GCN5_download_cron
======================================================================

  Trigger: 00524949      Segment: 000

  BAT Trigger Time: 362124512   [s; MET]
      Trigger Stop: 362125216   [s; MET]
               UTC: 2012-06-23T06:08:23.651820    [includes UTCF correction] 
       Where From?: TDRSS position message

  BAT 
    RA: 186.423840675129   Dec: 16.302560639512  [deg; J2000]

     Catalogged Source?: YES
     Point Source?:      YES
     GRB Indicated?:     NO    [ by BAT flight software ]
     Image S/N Ratio:    5.96
     Image Trigger?:     YES
     Rate S/N Ratio:     0  [ if not an image trigger ]
     Image S/N Ratio:    5.96

  Flight Position:   [ source = BAT ]
    RA: 186.423840675129   Dec: 16.302560639512  [deg; J2000]

  Ground Position:   [ source = BAT pre-slew burst ]
    RA: 186.303858179699   Dec: 16.4547428226165  [deg; J2000]  
        { 12h 25m 12.9s , +16d 27' 17.1" }
         +/- 4.84763090949809 [arcmin] (estimated 90% radius based on SNR)
         +/- 3.22304780808147 [arcmin] (formal 1-sigma fit error)
    SNR: 3.1899983409028
 
  Angular difference between Flight and Ground position is 11.448925 arcmin
 
  Partial Coding Fraction: 1.03125    [ including projection effects ]

  Duration
     T90: 704 +/- 
        Measured from: 0
                   to: 704     [s; relative to TRIGTIME]
     T50: 704 +/- 
        Measured from: 0
                   to: 704     [s; relative to TRIGTIME]

    WARNING: battblocks failed.  Used TDRSS fore/background intervals

  Fluence
     Peak Flux  (peak 704 second)
        Measured from: 0     
                   to: 704     [s; relative to TRIGTIME]
     Total Fluence        
        Measured from: 0     
                   to: 704     [s; relative to TRIGTIME]
     
             Band 1     Band 2     Band 3     Band 4
              15-25      25-50     50-100    100-350     keV
 Total     0.179587   0.218326  -0.039583   0.074496
           0.068322   0.070187   0.061493   0.053443 [error]
 Peak      0.179587   0.218326  -0.039583   0.074496
           0.068322   0.070187   0.061493   0.053443 [error]

     [ fluence units of on-axis counts / fully illuminated detector ] 

======================================================================
 
=== Fluence/Peak Flux Summary ===
 
              Model    Band1    Band2    Band3    Band4    Band5    Total      
                       15-25    25-50   50-100  100-350   15-150   15-350   keV
Fluence   Power-law 5.76e-08 5.69e-08 3.94e-08 4.31e-08 1.71e-07 1.97e-07   erg/cm2
              Error 2.76e-08 3.24e-08 4.44e-08 9.90e-08 1.05e-07 1.65e-07   erg/cm2
Peak flux Power-law 1.04e-02 5.72e-03 1.98e-03 8.95e-04 1.86e-02 1.90e-02   ph/cm2/s
              Error 5.05e-03 3.14e-03 2.18e-03 1.87e-03 8.40e-03 8.81e-03   ph/cm2/s
 
Fluence   Cutoff-PL 5.56e-08 7.69e-08 1.57e-08 1.63e-10 1.48e-07 0.00e+00   erg/cm2
              Error 4.34e-08 4.71e-08 3.82e-08 2.21e-08 1.28e-07 0.00e+00   erg/cm2
Peak flux Cutoff-PL 9.69e-03 7.83e-03 8.95e-04 5.09e-06 1.84e-02 1.84e-02   ph/cm2/s
              Error 7.69e-03 4.63e-03 1.19e-03 9.33e-04 7.92e-03 7.91e-03   ph/cm2/s
 
Fluence        Band 0.00e+00 0.00e+00 0.00e+00 0.00e+00 0.00e+00 0.00e+00   erg/cm2
              Error 0.00e+00 0.00e+00 0.00e+00 0.00e+00 0.00e+00 0.00e+00   erg/cm2
Peak flux      Band 0.00e+00 0.00e+00 0.00e+00 0.00e+00 0.00e+00 0.00e+00   ph/cm2/s
              Error 0.00e+00 0.00e+00 0.00e+00 0.00e+00 0.00e+00 0.00e+00   ph/cm2/s
 
=== Time-averaged spectral analysis ===
 
Model Ph_index Ph_90err Epeak  Epeak_90err Norm     Nomr_90err chi2   dof
PL    2.529    1.081    -      -           9.28e-05 7.31e-05   49.290 57
CPL  -0.371    0.000      26.5    0.0      8.18e-03 0.00e+00   48.050 56
 
 
=== 1-s peak spectral analysis ===
 
Model Ph_index Ph_90err Epeak  Epeak_90err Norm     Nomr_90err chi2   dof
PL    2.529    1.081    -      -           9.28e-05 7.31e-05   49.290 57
CPL  -0.371    0.000      26.5    0.0      8.18e-03 0.00e+00   48.050 56
 
Model      : spectral model: simple power-law (PL) and cutoff power-law (CPL)
Ph_index   : photon index: E^-{Ph_index} (minus sign is not included in the index)
Ph_90err   : 90% error of the photon index
Epeak      : Epeak in keV
Epeak_90err: 90% error of Epeak
Norm       : normalization at 50 keV in PL model and at 1 keV in CPL model
Nomr_90err : 90% error of the normalization
chi2       : Chi-Squared
dof        : degree of freedom
 
=== T90/T50 calculation in the 50-300 keV band (BATSE band) using 64 ms lc ===
 
T90 in the 50-300 keV band: 0.000000 sec.
T50 in the 50-300 keV band: 0.000000 sec.
 
=== Table of the duration information ==
 
        Value   tstart    tstop
T100  704.000    0.000  704.000
T90   704.000    0.000  704.000
T50   704.000    0.000  704.000
Peak  704.000    0.000  704.000
  • Click here for the BAT GCN circular template

    Image

    Pre-slew 15-350 keV image (Event data; bkg subtracted)

    #   RAcent  DECcent POSerr  Theta    Phi     Peak Cts     SNR  Name
      186.3039 +16.4547 0.0605   14.0 -160.2       0.4811     3.2  TRIG_00524949       
    ------------------------------------------
     
    Foreground time interval of the image:
      0.000 183.046 (delta_t = 183.046 [sec])
    Background time interval of the image:
    

    Lightcurves

    Notes:

    1 s binning

    From T0-310 s to T0+310 s
    From T100_start - 20 s to T100_end + 30 s
    Full time interval

    64 ms binning

    Full time interval
    From T100_start to T100_end
    From T0-5 sec to T0+5 sec

    16 ms binning

    From T100_start-5 s to T100_start+5 s

    8 ms binning

    From T100_start-3 s to T100_start+3 s

    2 ms binning

    From T100_start-1 s to T100_start+1 s

    SN=5 or 10 sec. binning (whichever binning is satisfied first)

    SN=5 or 10 sec. binning (T < 200 sec)

    Spectra

    Notes:

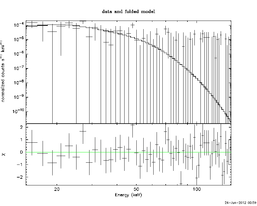
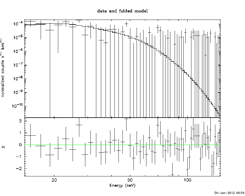
    Time averaged spectrum fit using the pre-slew DRM

    Power-law model
    Time interval is from    0.000 sec. to  183.046 sec.
     
    Spectral model in power-law:
    ------------------------------------------------------------
    Parameters  : value       lower 90%   higher 90%
    Photon index: 2.52943     ( -0.829788   1.332 )
    Norm@50keV  : 9.27612E-05    ( -6.91278e-05   7.70266e-05 )
    ------------------------------------------------------------
    # Chi-Squared =          49.29 using 59 PHA bins.
    # Reduced chi-squared =         0.8648 for     57 degrees of freedom 
    # Null hypothesis probability =   7.561193e-01
     
    Photon flux (15-150 keV)    in 183 sec: 1.85547E-02 ( -0.00834219  0.00845483 ) ph/cm2/s
    Energy fluence (15-150 keV)             : 1.7109e-07 ( -9.3924e-08  1.15316e-07 ) ergs/cm2
     
    
    Cutoff power-law model
    Time interval is from    0.000 sec. to  183.046 sec.
    Spectral model in the cutoff power-law:
    ------------------------------------------------------------
    Parameters  : value       lower 90%   higher 90%
    Photon index: -0.371245     (     )
    Epeak [keV] : 26.5247      (   )
    Norm@50keV  : 8.17564E-03    (     )
    ------------------------------------------------------------
    # Chi-Squared =          48.05 using 59 PHA bins.
    # Reduced chi-squared =         0.8580 for     56 degrees of freedom 
    # Null hypothesis probability =   7.661679e-01
     
    Photon flux (15-150 keV)    in 183 sec: 1.84259E-02 ( -0.0078604  0.0079803 ) ph/cm2/s
    Energy fluence (15-150 keV)             : 1.48356e-07 ( -6.94335e-08  1.87381e-07 ) ergs/cm2
     
    
    Band function
    Time interval is from    0.000 sec. to  183.046 sec.
     
    Spectral model in the Band function:
    ------------------------------------------------------------
    Parameters  : value       lower 90%   higher 90%
    alpha       : 1.54031   ( -0.27929   -0.27929 )
    beta        : -9.37167    ( 6.36883   16.3682 )
    Epeak [keV] : 27.9102      ( -26.3654 65.4953 )
    Norm@50keV   : 4.99100E-02    ( -0.0421209   198209 )
    ------------------------------------------------------------
    # Chi-Squared =          48.01 using 59 PHA bins.
    # Reduced chi-squared =         0.8728 for     55 degrees of freedom 
    # Null hypothesis probability =   7.366730e-01
     
    Photon flux (15-150 keV)    in 183 sec:  (    ) ph/cm2/s
    Energy fluence (15-150 keV)             : 0 ( 0  0 ) ergs/cm2
     
    
    Single BB
     
    Spectral model blackbody:
    ------------------------------------------------------------
    Parameters  : value    Lower 90%  Upper 90%
    kT [keV]    : 7.13382  (-2.5675  3.5309)
    R^2/D10^2   : 3.60243E-02  (-0.0360243   0.186005)
    (R is the radius in km and D10 is the distance to the source in units of 10 kpc)
    ------------------------------------------------------------
    # Chi-Squared =          47.99 using 59 PHA bins.
    # Reduced chi-squared =         0.8420 for     57 degrees of freedom 
    # Null hypothesis probability =   7.964872e-01
     
    Energy  Fluence     90% Error
    [keV]   [erg/cm2]   [erg/cm2]
    15- 25  5.494e-08   3.448e-08
    25- 50  7.804e-08   5.527e-08
    50-150  1.384e-08   1.311e-08
    15-150  1.468e-07   1.000e-07
    
    Thermal bremsstrahlung (OTTB)
     
     
    Spectral model: thermal bremsstrahlung
    ------------------------------------------------------------
    Parameters  : value         Lower 90%    Upper 90%
    kT [keV]    : 28.3766       (-17.2666      68.2258)
    Norm        : 0.162207       (-0.0943555     0.291264)
    ------------------------------------------------------------
    # Chi-Squared =          48.50 using 59 PHA bins.
    # Reduced chi-squared =         0.8509 for     57 degrees of freedom 
    # Null hypothesis probability =   7.810727e-01
     
    Energy  Fluence     90% Error
    [keV]   [erg/cm2]   [erg/cm2]
    15- 25  5.865e-08   3.804e-08
    25- 50  6.494e-08   4.373e-08
    50-150  3.302e-08   3.286e-08
    15-150  1.566e-07   1.056e-07
    
    Double BB
    R1^2/D10^2  : 1719.67        (      )
    kT2 [keV]   : 7.69834        (-2.88156      -7.67739)
    R2^2/D10^2  : 2.48328E-02    (   )
    ------------------------------------------------------------
    # Chi-Squared =          47.96 using 59 PHA bins.
    # Chi-Squared =          47.52 using 59 PHA bins.
    # Chi-Squared =          47.49 using 59 PHA bins.
    # Reduced chi-squared =         0.8721 for     55 degrees of freedom 
    # Reduced chi-squared =         0.8639 for     55 degrees of freedom 
    # Reduced chi-squared =         0.8634 for     55 degrees of freedom 
    # Null hypothesis probability =   7.380870e-01
    # Null hypothesis probability =   7.531607e-01
    # Null hypothesis probability =   7.541078e-01
     
    Energy  Fluence     90% Error
    [keV]   [erg/cm2]   [erg/cm2]
    15- 25  5.475e-08   4.744e-08
    25- 50  7.733e-08   7.938e-08
    50-150  1.601e-08   1.258e-08
    15-150  1.481e-07   1.215e-07
    

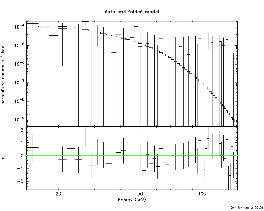
    Peak spectrum fit

    Power-law model
    Time interval is from    0.000 sec. to  183.046 sec.
     
    Spectral model in power-law:
    ------------------------------------------------------------
    Parameters  : value       lower 90%   higher 90%
    Photon index: 2.52943     ( -0.829788   1.332 )
    Norm@50keV  : 9.27612E-05    ( -6.91278e-05   7.70266e-05 )
    ------------------------------------------------------------
    # Chi-Squared =          49.29 using 59 PHA bins.
    # Reduced chi-squared =         0.8648 for     57 degrees of freedom 
    # Null hypothesis probability =   7.561193e-01
     
    Photon flux (15-150 keV)    in 183 sec: 1.85547E-02 ( -0.00834219  0.00845483 ) ph/cm2/s
    Energy fluence (15-150 keV)             : 1.7109e-07 ( -9.3924e-08  1.15316e-07 ) ergs/cm2
     
    
    Cutoff power-law model
    Time interval is from    0.000 sec. to  183.046 sec.
    Spectral model in the cutoff power-law:
    ------------------------------------------------------------
    Parameters  : value       lower 90%   higher 90%
    Photon index: -0.371245     (     )
    Epeak [keV] : 26.5247      (   )
    Norm@50keV  : 8.17564E-03    (     )
    ------------------------------------------------------------
    # Chi-Squared =          48.05 using 59 PHA bins.
    # Reduced chi-squared =         0.8580 for     56 degrees of freedom 
    # Null hypothesis probability =   7.661679e-01
     
    Photon flux (15-150 keV)    in 183 sec: 1.84259E-02 ( -0.0078604  0.0079803 ) ph/cm2/s
    Energy fluence (15-150 keV)             : 1.48356e-07 ( -6.94335e-08  1.87348e-07 ) ergs/cm2
     
    
    Band function
    Time interval is from    0.000 sec. to  183.046 sec.
     
    Spectral model in the Band function:
    ------------------------------------------------------------
    Parameters  : value       lower 90%   higher 90%
    alpha       : 1.54031   ( -0.27929   -0.27929 )
    beta        : -9.37167    ( 6.36883   16.3682 )
    Epeak [keV] : 27.9102      ( -26.3654 65.4953 )
    Norm@50keV   : 4.99100E-02    ( -0.0421209   198209 )
    ------------------------------------------------------------
    # Chi-Squared =          48.01 using 59 PHA bins.
    # Reduced chi-squared =         0.8728 for     55 degrees of freedom 
    # Null hypothesis probability =   7.366730e-01
     
    Photon flux (15-150 keV)    in 183 sec:  (    ) ph/cm2/s
    Energy fluence (15-150 keV)             : 0 ( 0  0 ) ergs/cm2
     
    
    Single BB
     
    Spectral model blackbody:
    ------------------------------------------------------------
    Parameters  : value    Lower 90%  Upper 90%
    kT [keV]    : 7.13382  (-2.5675  3.5309)
    R^2/D10^2   : 3.60243E-02  (-0.0360243   0.186005)
    (R is the radius in km and D10 is the distance to the source in units of 10 kpc)
    ------------------------------------------------------------
    # Chi-Squared =          47.99 using 59 PHA bins.
    # Reduced chi-squared =         0.8420 for     57 degrees of freedom 
    # Null hypothesis probability =   7.964872e-01
     
    Energy  Fluence     90% Error
    [keV]   [erg/cm2]   [erg/cm2]
    15- 25  5.494e-08   3.380e-08
    25- 50  7.804e-08   5.159e-08
    50-150  1.384e-08   1.205e-08
    15-150  1.468e-07   9.278e-08
    
    Thermal bremsstrahlung (OTTB)
     
     
    Spectral model: thermal bremsstrahlung
    ------------------------------------------------------------
    Parameters  : value         Lower 90%    Upper 90%
    kT [keV]    : 28.3766       (-17.2666      68.2258)
    Norm        : 0.162207       (-0.0943555     0.291264)
    ------------------------------------------------------------
    # Chi-Squared =          48.50 using 59 PHA bins.
    # Reduced chi-squared =         0.8509 for     57 degrees of freedom 
    # Null hypothesis probability =   7.810727e-01
     
    Energy  Fluence     90% Error
    [keV]   [erg/cm2]   [erg/cm2]
    15- 25  5.865e-08   3.723e-08
    25- 50  6.494e-08   4.335e-08
    50-150  3.302e-08   2.994e-08
    15-150  1.566e-07   1.060e-07
    
    Double BB
    R1^2/D10^2  : 1719.67        (      )
    kT2 [keV]   : 7.69834        (-2.88156      -7.67739)
    R2^2/D10^2  : 2.48328E-02    (   )
    ------------------------------------------------------------
    # Chi-Squared =          47.96 using 59 PHA bins.
    # Chi-Squared =          47.52 using 59 PHA bins.
    # Chi-Squared =          47.49 using 59 PHA bins.
    # Reduced chi-squared =         0.8721 for     55 degrees of freedom 
    # Reduced chi-squared =         0.8639 for     55 degrees of freedom 
    # Reduced chi-squared =         0.8634 for     55 degrees of freedom 
    # Null hypothesis probability =   7.380870e-01
    # Null hypothesis probability =   7.531607e-01
    # Null hypothesis probability =   7.541078e-01
     
    Energy  Fluence     90% Error
    [keV]   [erg/cm2]   [erg/cm2]
    15- 25  5.475e-08   4.310e-08
    25- 50  7.733e-08   7.244e-08
    50-150  1.601e-08   2.117e-08
    15-150  1.481e-07   1.126e-07
    

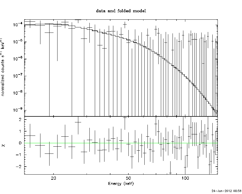
    Pre-slew spectrum (Pre-slew PHA with pre-slew DRM)

    Power-law model
     
    Spectral model in power-law:
    ------------------------------------------------------------
    Parameters  : value       lower 90%   higher 90%
    Photon index: 2.52943     ( -0.829788   1.332 )
    Norm@50keV  : 9.27612E-05    ( -6.91278e-05   7.70266e-05 )
    ------------------------------------------------------------
    # Chi-Squared =          49.29 using 59 PHA bins.
    # Reduced chi-squared =         0.8648 for     57 degrees of freedom 
    # Null hypothesis probability =   7.561193e-01
     
    Photon flux (15-150 keV)    in 183 sec: 1.85547E-02 ( -0.00834219  0.00845483 ) ph/cm2/s
    Energy fluence (15-150 keV)             : 1.7109e-07 ( -9.3924e-08  1.15316e-07 ) ergs/cm2
     
    
    Cutoff power-law model
    Spectral model in the cutoff power-law:
    ------------------------------------------------------------
    Parameters  : value       lower 90%   higher 90%
    Photon index: -0.371245     (     )
    Epeak [keV] : 26.5247      (   )
    Norm@50keV  : 8.17564E-03    (     )
    ------------------------------------------------------------
    # Chi-Squared =          48.05 using 59 PHA bins.
    # Reduced chi-squared =         0.8580 for     56 degrees of freedom 
    # Null hypothesis probability =   7.661679e-01
     
    Photon flux (15-150 keV)    in 183 sec: 1.84259E-02 ( -0.0078604  0.0079803 ) ph/cm2/s
    Energy fluence (15-150 keV)             : 1.48356e-07 ( -6.94335e-08  1.87742e-07 ) ergs/cm2
     
    
    Band function
     
    Spectral model in the Band function:
    ------------------------------------------------------------
    Parameters  : value       lower 90%   higher 90%
    alpha       : 1.54031   ( -0.27929   -0.27929 )
    beta        : -9.37167    ( 6.36883   16.3682 )
    Epeak [keV] : 27.9102      ( -26.3654 65.4953 )
    Norm@50keV   : 4.99100E-02    ( -0.0421209   198209 )
    ------------------------------------------------------------
    # Chi-Squared =          48.01 using 59 PHA bins.
    # Reduced chi-squared =         0.8728 for     55 degrees of freedom 
    # Null hypothesis probability =   7.366730e-01
     
    Photon flux (15-150 keV)    in 183 sec:  (    ) ph/cm2/s
    Energy fluence (15-150 keV)             : 0 ( 0  0 ) ergs/cm2
     
    

    S(25-50 keV) vs. S(50-100 keV) plot

    S(25-50 keV)  = 5.69205e-08
    S(50-100 keV) = 3.94222e-08
    

    T90 vs. Hardness ratio plot

    T90                                   = 704 sec.
    Hardness ratio (energy fluence ratio) = 0.692584
    

    Color vs. Color plot

    Count Ratio  (25-50 keV) / (15-25 keV) = 1.21571
    Count Ratio (50-100 keV) / (15-25 keV) = -0.220411
    

    Mask shadow pattern

    IMX = -2.337513630423514E-01, IMY = 8.406061311494427E-02
    

    TIME vs. PHA plot around the trigger time

    TIME vs. DetID plot around the trigger time

    100 us light curve (15-350 keV)

    Spacecraft aspect plot

    Bright source in the pre-burst/pre-slew/post-slew images

    Pre-burst image of 15-350 keV band

    Time interval of the image:
     
    

    Pre-slew background subtracted image of 15-350 keV band

    Time interval of the image:
    0.000000 183.045500
     
    # RAcent  DECcent POSerr Theta    Phi  PeakCts   SNR AngSep     Name
    #  [deg]    [deg]    ['] [deg]  [deg]                   [']
    223.1432  17.4997    1.9  27.3   85.4   1.4032   6.0 ------	UNKNOWN                       
    170.5477  26.6215    3.5  22.3 -106.5   0.5648   3.3 ------	UNKNOWN                       
    148.3898  31.9672    2.8  40.9  -92.0   2.9936   4.1 ------	UNKNOWN                       
    

    Post-slew image of 15-350 keV band

    Time interval of the image:
     
    
    Plot creation:
    Sun Jun 24 01:00:30 EDT 2012