batgrbproduct Analysis for Trigger=525554

Analysis Summary

Notes:

======================================================================
                  BAT GRB EVENT DATA PROCESSING REPORT
    Process Script Ver: batgrbproduct v2.46
    Process Start Time (local time): Tue Jul  3 07:16:12 EDT 2012
             Host Name: gcn5
   Current Working Dir: /local/data/raid16/prebascript_archive/trigger525554/batgroup_hand_proc
======================================================================

  Trigger: 00525554      Segment: 000

  BAT Trigger Time: 362891856   [s; MET]
      Trigger Stop: 362891920   [s; MET]
               UTC: 2012-07-02T03:17:26.619920    [includes UTCF correction] 
       Where From?: TDRSS position message

  BAT 
    RA: 144.681475994238   Dec: -15.9916006691616  [deg; J2000]

     Catalogged Source?: NO
     Point Source?:      YES
     GRB Indicated?:     YES    [ by BAT flight software ]
     Image S/N Ratio:    7.11
     Image Trigger?:     YES
     Rate S/N Ratio:     0  [ if not an image trigger ]
     Image S/N Ratio:    7.11

  Flight Position:   [ source = BAT ]
    RA: 144.681475994238   Dec: -15.9916006691616  [deg; J2000]

  Ground Position:   [ source = BAT pre-slew burst ]
    RA: 144.645429119595   Dec: -15.976122358326  [deg; J2000]  
        { 09h 38m 34.9s , -15d 58' 34.0" }
         +/- 4.03416926236405 [arcmin] (estimated 90% radius based on SNR)
         +/- 2.26481126995388 [arcmin] (formal 1-sigma fit error)
    SNR: 4.14720360228972
 
  Angular difference between Flight and Ground position is 2.277178 arcmin
 
  Partial Coding Fraction: 0.96875    [ including projection effects ]

  Duration
     T90: 64 +/- 
        Measured from: 0
                   to: 64     [s; relative to TRIGTIME]
     T50: 64 +/- 
        Measured from: 0
                   to: 64     [s; relative to TRIGTIME]

    WARNING: battblocks failed.  Used TDRSS fore/background intervals

  Fluence
     Peak Flux  (peak 64 second)
        Measured from: 0     
                   to: 64     [s; relative to TRIGTIME]
     Total Fluence        
        Measured from: 0     
                   to: 64     [s; relative to TRIGTIME]
     
             Band 1     Band 2     Band 3     Band 4
              15-25      25-50     50-100    100-350     keV
 Total     0.103564   0.199981  -0.009173  -0.029572
           0.042488   0.041903   0.036602   0.031582 [error]
 Peak      0.103564   0.199981  -0.009173  -0.029572
           0.042488   0.041903   0.036602   0.031582 [error]

     [ fluence units of on-axis counts / fully illuminated detector ] 

======================================================================
 
=== Fluence/Peak Flux Summary ===
 
              Model    Band1    Band2    Band3    Band4    Band5    Total      
                       15-25    25-50   50-100  100-350   15-150   15-350   keV
Fluence   Power-law 3.75e-08 4.70e-08 4.28e-08 6.79e-08 1.51e-07 1.96e-07   erg/cm2
              Error 1.63e-08 1.81e-08 2.77e-08 9.45e-08 6.83e-08 1.26e-07   erg/cm2
Peak flux Power-law 1.92e-02 1.33e-02 6.05e-03 3.84e-03 4.04e-02 4.24e-02   ph/cm2/s
              Error 8.27e-03 5.01e-03 3.81e-03 4.99e-03 1.46e-02 1.58e-02   ph/cm2/s
 
Fluence   Cutoff-PL 3.01e-08 7.60e-08 1.28e-08 1.97e-11 1.19e-07 0.00e+00   erg/cm2
              Error 1.96e-08 2.93e-08 2.38e-08 4.03e-09 4.51e-08 0.00e+00   erg/cm2
Peak flux Cutoff-PL 1.45e-02 2.17e-02 2.15e-03 1.81e-06 3.84e-02 3.84e-02   ph/cm2/s
              Error 1.00e-02 8.07e-03 3.60e-03 3.22e-04 1.38e-02 1.38e-02   ph/cm2/s
 
Fluence        Band 0.00e+00 0.00e+00 0.00e+00 0.00e+00 0.00e+00 0.00e+00   erg/cm2
              Error 0.00e+00 0.00e+00 0.00e+00 0.00e+00 0.00e+00 0.00e+00   erg/cm2
Peak flux      Band 0.00e+00 0.00e+00 0.00e+00 0.00e+00 0.00e+00 0.00e+00   ph/cm2/s
              Error 0.00e+00 0.00e+00 0.00e+00 0.00e+00 0.00e+00 0.00e+00   ph/cm2/s
 
=== Time-averaged spectral analysis ===
 
Model Ph_index Ph_90err Epeak  Epeak_90err Norm     Nomr_90err chi2   dof
PL    2.140    0.646    -      -           2.51e-04 1.25e-04   45.670 57
CPL  -5.219    0.000      33.0    7.5      1.37e+01 0.00e+00   40.120 56
 
 
=== 1-s peak spectral analysis ===
 
Model Ph_index Ph_90err Epeak  Epeak_90err Norm     Nomr_90err chi2   dof
PL    2.140    0.646    -      -           2.51e-04 1.25e-04   45.670 57
CPL  -5.219    0.000      33.0    7.5      1.37e+01 0.00e+00   40.120 56
 
Model      : spectral model: simple power-law (PL) and cutoff power-law (CPL)
Ph_index   : photon index: E^-{Ph_index} (minus sign is not included in the index)
Ph_90err   : 90% error of the photon index
Epeak      : Epeak in keV
Epeak_90err: 90% error of Epeak
Norm       : normalization at 50 keV in PL model and at 1 keV in CPL model
Nomr_90err : 90% error of the normalization
chi2       : Chi-Squared
dof        : degree of freedom
 
=== T90/T50 calculation in the 50-300 keV band (BATSE band) using 64 ms lc ===
 
T90 in the 50-300 keV band: 0.000000 sec.
T50 in the 50-300 keV band: 0.000000 sec.
 
=== Table of the duration information ==
 
        Value   tstart    tstop
T100   64.000    0.000   64.000
T90    64.000    0.000   64.000
T50    64.000    0.000   64.000
Peak   64.000    0.000   64.000
  • Click here for the BAT GCN circular template

    Image

    Pre-slew 15.0-350.0 keV image (Event data)

    #   RAcent    DECcent   POSerr    Theta     Phi              Peak Cts       SNR   Name
      144.6454   -15.9761   0.0461    12.2962   140.3911         0.3385059      4.147 TRIG_00525554                 
     
    Foreground time interval of the image:
      0.000  64.000 (delta_t =  64.000 [sec])
    Background time interval of the image:
    

    Lightcurves

    Notes:

    1 s binning

    From T0-310 s to T0+310 s
    From T100_start - 20 s to T100_end + 30 s
    Full time interval

    64 ms binning

    Full time interval
    From T100_start to T100_end
    From T0-5 sec to T0+5 sec

    16 ms binning

    From T100_start-5 s to T100_start+5 s
    Blue+Cyan dotted lines: Time interval of the scaled map
    From 0.000000 to 64.000000
    

    8 ms binning

    From T100_start-3 s to T100_start+3 s
    Blue+Cyan dotted lines: Time interval of the scaled map
    From 0.000000 to 64.000000
    

    2 ms binning

    From T100_start-1 s to T100_start+1 s
    Blue+Cyan dotted lines: Time interval of the scaled map
    From 0.000000 to 64.000000
    

    SN=5 or 10 sec. binning (whichever binning is satisfied first)

    SN=5 or 10 sec. binning (T < 200 sec)

    Flight mask-tagged light curves

    Caution: Mask-weight map is always using the same on-axis map

    Quad-rate summed light curves (from T0-300 to T0+1000)

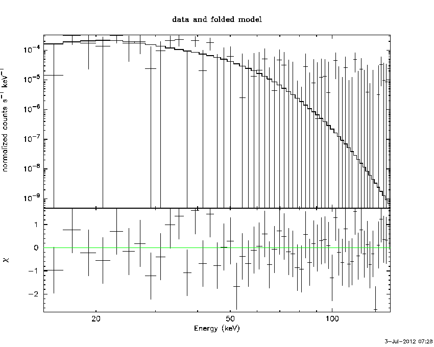
    Spectra

    Notes:

    Time averaged spectrum fit using the pre-slew DRM

    Power-law model
    Time interval is from    0.000 sec. to   64.000 sec.
     
    Spectral model in power-law:
    ------------------------------------------------------------
    Parameters  : value       lower 90%   higher 90%
    Photon index: 2.13959     ( -0.577352   0.715194 )
    Norm@50keV  : 2.51475E-04    ( -0.000124111   0.000126154 )
    ------------------------------------------------------------
    # Chi-Squared =          45.67 using 59 PHA bins.
    # Reduced chi-squared =         0.8013 for     57 degrees of freedom 
    # Null hypothesis probability =   8.592233e-01
     
    Photon flux (15-150 keV)    in 64 sec: 4.03686E-02 ( -0.0145283  0.0146274 ) ph/cm2/s
    Energy fluence (15-150 keV)             : 1.50519e-07 ( -6.4311e-08  7.2233e-08 ) ergs/cm2
     
    
    Cutoff power-law model
    Time interval is from    0.000 sec. to   64.000 sec.
    Spectral model in the cutoff power-law:
    ------------------------------------------------------------
    Parameters  : value       lower 90%   higher 90%
    Photon index: -5.21894     (     )
    Epeak [keV] : 33.0413      ( -7.17549 7.75204 )
    Norm@50keV  : 13.7256    (     )
    ------------------------------------------------------------
    # Chi-Squared =          40.12 using 59 PHA bins.
    # Reduced chi-squared =         0.7164 for     56 degrees of freedom 
    # Null hypothesis probability =   9.459714e-01
     
    Photon flux (15-150 keV)    in 64 sec: 3.83786E-02 ( -0.0137009  0.013818 ) ph/cm2/s
    Energy fluence (15-150 keV)             : 1.18922e-07 ( -4.15091e-08  4.8688e-08 ) ergs/cm2
     
    
    Band function
    Time interval is from    0.000 sec. to   64.000 sec.
     
    Spectral model in the Band function:
    ------------------------------------------------------------
    Parameters  : value       lower 90%   higher 90%
    alpha       : 4.13949   ( -12.9574   -4.06721 )
    beta        : -9.37165    ( 9.99997   19.9965 )
    Epeak [keV] : 33.1981      ( -6.99266 8.8134 )
    Norm@50keV   : 2.78447    ( -2.77682   2.64485 )
    ------------------------------------------------------------
    # Chi-Squared =          40.12 using 59 PHA bins.
    # Reduced chi-squared =         0.7295 for     55 degrees of freedom 
    # Null hypothesis probability =   9.340333e-01
     
    Photon flux (15-150 keV)    in 64 sec:  (    ) ph/cm2/s
    Energy fluence (15-150 keV)             : 0 ( 0  0 ) ergs/cm2
     
    
    Single BB
     
    Spectral model blackbody:
    ------------------------------------------------------------
    Parameters  : value    Lower 90%  Upper 90%
    kT [keV]    : 8.47849  (-2.08021  2.76374)
    R^2/D10^2   : 4.10762E-02  (-0.0410828   0.0810557)
    (R is the radius in km and D10 is the distance to the source in units of 10 kpc)
    ------------------------------------------------------------
    # Chi-Squared =          40.74 using 59 PHA bins.
    # Reduced chi-squared =         0.7147 for     57 degrees of freedom 
    # Null hypothesis probability =   9.488436e-01
     
    Energy  Fluence     90% Error
    [keV]   [erg/cm2]   [erg/cm2]
    15- 25  3.556e-08   2.106e-08
    25- 50  6.867e-08   4.134e-08
    50-150  2.175e-08   1.681e-08
    15-150  1.260e-07   7.853e-08
    
    Thermal bremsstrahlung (OTTB)
     
     
    Spectral model: thermal bremsstrahlung
    ------------------------------------------------------------
    Parameters  : value         Lower 90%    Upper 90%
    kT [keV]    : 42.1414       (-22.182      81.8739)
    Norm        : 0.263167       (-0.118483     0.213805)
    ------------------------------------------------------------
    # Chi-Squared =          43.82 using 59 PHA bins.
    # Reduced chi-squared =         0.7687 for     57 degrees of freedom 
    # Null hypothesis probability =   8.999493e-01
     
    Energy  Fluence     90% Error
    [keV]   [erg/cm2]   [erg/cm2]
    15- 25  3.933e-08   2.436e-08
    25- 50  5.290e-08   3.245e-08
    50-150  4.329e-08   3.549e-08
    15-150  1.355e-07   9.283e-08
    
    Double BB
    ------------------------------------------------------------
    Parameters  : value         Lower 90%    Upper 90%
    kT1 [keV]   : 1.00049E-04        (      )
    R1^2/D10^2  : 5.51391E-04        (-0.000551391      -0.000551391)
    kT2 [keV]   : 8.47845        (-2.08051      2.76344)
    R2^2/D10^2  : 4.10773E-02    (-0.0410773   0.0810615)
    ------------------------------------------------------------
    # Chi-Squared =          40.88 using 59 PHA bins.
    # Chi-Squared =          40.74 using 59 PHA bins.
    # Reduced chi-squared =         0.7434 for     55 degrees of freedom 
    # Reduced chi-squared =         0.7407 for     55 degrees of freedom 
    # Null hypothesis probability =   9.217580e-01
    # Null hypothesis probability =   9.241782e-01
     
    Energy  Fluence     90% Error
    [keV]   [erg/cm2]   [erg/cm2]
    15- 25  3.296e-08   1.388e-04
    25- 50  7.030e-08   1.125e-03
    50-150  2.707e-08   3.199e-02
    15-150  1.303e-07   3.392e-02
    

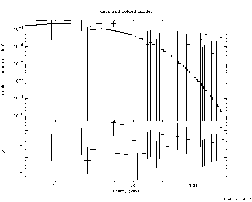
    Peak spectrum fit

    Power-law model
    Time interval is from    0.000 sec. to   64.000 sec.
     
    Spectral model in power-law:
    ------------------------------------------------------------
    Parameters  : value       lower 90%   higher 90%
    Photon index: 2.13959     ( -0.577352   0.715194 )
    Norm@50keV  : 2.51475E-04    ( -0.000124111   0.000126154 )
    ------------------------------------------------------------
    # Chi-Squared =          45.67 using 59 PHA bins.
    # Reduced chi-squared =         0.8013 for     57 degrees of freedom 
    # Null hypothesis probability =   8.592233e-01
     
    Photon flux (15-150 keV)    in 64 sec: 4.03686E-02 ( -0.0145283  0.0146274 ) ph/cm2/s
    Energy fluence (15-150 keV)             : 1.50519e-07 ( -6.4311e-08  7.2233e-08 ) ergs/cm2
     
    
    Cutoff power-law model
    Time interval is from    0.000 sec. to   64.000 sec.
    Spectral model in the cutoff power-law:
    ------------------------------------------------------------
    Parameters  : value       lower 90%   higher 90%
    Photon index: -5.21894     (     )
    Epeak [keV] : 33.0413      ( -7.17549 7.75204 )
    Norm@50keV  : 13.7256    (     )
    ------------------------------------------------------------
    # Chi-Squared =          40.12 using 59 PHA bins.
    # Reduced chi-squared =         0.7164 for     56 degrees of freedom 
    # Null hypothesis probability =   9.459714e-01
     
    Photon flux (15-150 keV)    in 64 sec: 3.83786E-02 ( -0.0137009  0.013818 ) ph/cm2/s
    Energy fluence (15-150 keV)             : 1.18922e-07 ( -4.15091e-08  4.8688e-08 ) ergs/cm2
     
    
    Band function
    Time interval is from    0.000 sec. to   64.000 sec.
     
    Spectral model in the Band function:
    ------------------------------------------------------------
    Parameters  : value       lower 90%   higher 90%
    alpha       : 4.13949   ( -12.6138   -4.06721 )
    beta        : -9.37165    ( 9.99997   19.9965 )
    Epeak [keV] : 33.1981      ( -6.99262 8.80876 )
    Norm@50keV   : 2.78447    ( -2.77682   2.64485 )
    ------------------------------------------------------------
    # Chi-Squared =          40.12 using 59 PHA bins.
    # Reduced chi-squared =         0.7295 for     55 degrees of freedom 
    # Null hypothesis probability =   9.340333e-01
     
    Photon flux (15-150 keV)    in 64 sec:  (    ) ph/cm2/s
    Energy fluence (15-150 keV)             : 0 ( 0  0 ) ergs/cm2
     
    
    Single BB
     
    Spectral model blackbody:
    ------------------------------------------------------------
    Parameters  : value    Lower 90%  Upper 90%
    kT [keV]    : 8.47849  (-2.08021  2.76374)
    R^2/D10^2   : 4.10762E-02  (-0.0410828   0.0810557)
    (R is the radius in km and D10 is the distance to the source in units of 10 kpc)
    ------------------------------------------------------------
    # Chi-Squared =          40.74 using 59 PHA bins.
    # Reduced chi-squared =         0.7147 for     57 degrees of freedom 
    # Null hypothesis probability =   9.488436e-01
     
    Energy  Fluence     90% Error
    [keV]   [erg/cm2]   [erg/cm2]
    15- 25  3.556e-08   2.152e-08
    25- 50  6.867e-08   4.163e-08
    50-150  2.175e-08   1.750e-08
    15-150  1.260e-07   8.227e-08
    
    Thermal bremsstrahlung (OTTB)
     
     
    Spectral model: thermal bremsstrahlung
    ------------------------------------------------------------
    Parameters  : value         Lower 90%    Upper 90%
    kT [keV]    : 42.1414       (-22.182      81.8739)
    Norm        : 0.263167       (-0.118483     0.213805)
    ------------------------------------------------------------
    # Chi-Squared =          43.82 using 59 PHA bins.
    # Reduced chi-squared =         0.7687 for     57 degrees of freedom 
    # Null hypothesis probability =   8.999493e-01
     
    Energy  Fluence     90% Error
    [keV]   [erg/cm2]   [erg/cm2]
    15- 25  3.933e-08   2.442e-08
    25- 50  5.290e-08   3.206e-08
    50-150  4.329e-08   3.626e-08
    15-150  1.355e-07   9.040e-08
    
    Double BB
    ------------------------------------------------------------
    Parameters  : value         Lower 90%    Upper 90%
    kT1 [keV]   : 1.00049E-04        (      )
    R1^2/D10^2  : 5.51391E-04        (-0.000551391      -0.000551391)
    kT2 [keV]   : 8.47845        (-2.08051      2.76344)
    R2^2/D10^2  : 4.10773E-02    (-0.0410773   0.0810615)
    ------------------------------------------------------------
    # Chi-Squared =          40.88 using 59 PHA bins.
    # Chi-Squared =          40.74 using 59 PHA bins.
    # Reduced chi-squared =         0.7434 for     55 degrees of freedom 
    # Reduced chi-squared =         0.7407 for     55 degrees of freedom 
    # Null hypothesis probability =   9.217580e-01
    # Null hypothesis probability =   9.241782e-01
     
    Energy  Fluence     90% Error
    [keV]   [erg/cm2]   [erg/cm2]
    15- 25  3.296e-08   1.343e-04
    25- 50  7.030e-08   1.272e-03
    50-150  2.707e-08   2.939e-02
    15-150  1.303e-07   3.100e-02
    

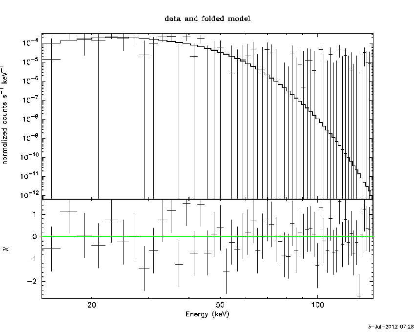
    Pre-slew spectrum (Pre-slew PHA with pre-slew DRM)

    Power-law model
     
    Spectral model in power-law:
    ------------------------------------------------------------
    Parameters  : value       lower 90%   higher 90%
    Photon index: 2.13959     ( -0.577352   0.715194 )
    Norm@50keV  : 2.51475E-04    ( -0.000124111   0.000126154 )
    ------------------------------------------------------------
    # Chi-Squared =          45.67 using 59 PHA bins.
    # Reduced chi-squared =         0.8013 for     57 degrees of freedom 
    # Null hypothesis probability =   8.592233e-01
     
    Photon flux (15-150 keV)    in 64 sec: 4.03686E-02 ( -0.0145283  0.0146274 ) ph/cm2/s
    Energy fluence (15-150 keV)             : 1.50519e-07 ( -6.4311e-08  7.2233e-08 ) ergs/cm2
     
    
    Cutoff power-law model
    Spectral model in the cutoff power-law:
    ------------------------------------------------------------
    Parameters  : value       lower 90%   higher 90%
    Photon index: -5.21894     (     )
    Epeak [keV] : 33.0413      ( -7.17549 7.75204 )
    Norm@50keV  : 13.7256    (     )
    ------------------------------------------------------------
    # Chi-Squared =          40.12 using 59 PHA bins.
    # Reduced chi-squared =         0.7164 for     56 degrees of freedom 
    # Null hypothesis probability =   9.459714e-01
     
    Photon flux (15-150 keV)    in 64 sec: 3.83786E-02 ( -0.0137009  0.013818 ) ph/cm2/s
    Energy fluence (15-150 keV)             : 1.18922e-07 ( -4.15091e-08  4.8688e-08 ) ergs/cm2
     
    
    Band function
     
    Spectral model in the Band function:
    ------------------------------------------------------------
    Parameters  : value       lower 90%   higher 90%
    alpha       : 4.13949   ( -4.7124   -4.06721 )
    beta        : -9.37165    ( 9.99997   19.9965 )
    Epeak [keV] : 33.1981      ( -6.99259 8.81317 )
    Norm@50keV   : 2.78447    ( -2.77682   2.64485 )
    ------------------------------------------------------------
    # Chi-Squared =          40.12 using 59 PHA bins.
    # Reduced chi-squared =         0.7295 for     55 degrees of freedom 
    # Null hypothesis probability =   9.340333e-01
     
    Photon flux (15-150 keV)    in 64 sec:  (    ) ph/cm2/s
    Energy fluence (15-150 keV)             : 0 ( 0  0 ) ergs/cm2
     
    

    S(25-50 keV) vs. S(50-100 keV) plot

    S(25-50 keV)  = 4.69649e-08
    S(50-100 keV) = 4.27887e-08
    

    T90 vs. Hardness ratio plot

    T90                                   = 64 sec.
    Hardness ratio (energy fluence ratio) = 0.911078
    

    Color vs. Color plot

    Count Ratio  (25-50 keV) / (15-25 keV) = 1.93099
    Count Ratio (50-100 keV) / (15-25 keV) = -0.0885732
    

    Mask shadow pattern

    IMX = -1.679237124409030E-01, IMY = -1.389623857182535E-01
    

    TIME vs. PHA plot around the trigger time

    Blue+Cyan dotted lines: Time interval of the scaled map
    From 0.000000 to 64.000000
    

    TIME vs. DetID plot around the trigger time

    Blue+Cyan dotted lines: Time interval of the scaled map
    From 0.000000 to 64.000000
    

    100 us light curve (15-350 keV)

    Blue+Cyan dotted lines: Time interval of the scaled map
    From 0.000000 to 64.000000
    

    Spacecraft aspect plot

    Bright source in the pre-burst/pre-slew/post-slew images

    Pre-burst image of 15-350 keV band

    Time interval of the image:
     
    

    Pre-slew background subtracted image of 15-350 keV band

    Time interval of the image:
    0.000000 64.000000
     
    # RAcent  DECcent POSerr Theta    Phi  PeakCts   SNR AngSep     Name
    #  [deg]    [deg]    ['] [deg]  [deg]                   [']
    135.4668 -40.5724    3.2  38.0  148.6   0.5648   3.6    3.0	Vela X-1                      
    129.2772 -41.6626    2.6  40.7  154.8   0.7112   4.4 ------	UNKNOWN                       
    163.3494  50.4727    3.1  56.3  -30.5   1.8002   3.8 ------	UNKNOWN                       
    110.2437  15.8241    3.0  40.1 -103.9   1.1710   3.9 ------	UNKNOWN                       
    110.7119  19.2764    2.7  41.3  -98.9   1.5811   4.2 ------	UNKNOWN                       
    110.3706  18.7724    2.4  41.3  -99.8   1.7382   4.8 ------	UNKNOWN                       
    

    Post-slew image of 15-350 keV band

    Time interval of the image:
    105.900600 114.500500
    129.000000 243.049700
     
    # RAcent  DECcent POSerr Theta    Phi  PeakCts   SNR AngSep     Name
    #  [deg]    [deg]    ['] [deg]  [deg]                   [']
    135.5272 -40.5753    3.1  25.9  154.6   0.5255   3.8    1.2	Vela X-1                      
    128.9377 -43.1898    1.6  30.4  161.5   1.1419   7.2 ------	UNKNOWN                       
    102.8822  -1.3507    2.5  43.7 -116.2   2.4503   4.7 ------	UNKNOWN                       
    
    Plot creation:
    Tue Jul  3 07:30:14 EDT 2012